点击上方“中间件兴趣圈”,选择“设为星标”
做积极的人,越努力越幸运!
本篇将重点关注 Sentienl 实时数据收集,即 Sentienl 具体是如何收集调用信息,以此来判断是否需要触发限流或熔断。
Sentienl 实时数据收集的入口类为 StatisticSlot。
我们先简单来看一下 StatisticSlot 该类的注释,来看一下该类的整体定位。
StatisticSlot,专用于实时统计的 slot。在进入一个资源时,在执行 Sentienl 的处理链条中会进入到该 slot 中,需要完成如下计算任务:
-
集群维度计算资源的总统计信息,用于集群限流,后续文章将详细探讨。
-
来自不同调用方/来源的群集节点的统计信息。
-
特定调用上下文环境的统计信息。
-
统计所有入口的统计信息。
接下来用源码分析的手段来详细分析 StatisticSlot 的实现原理。
1、源码分析 StatisticSlot
1.1 StatisticSlot entry 详解
StatisticSlot#entry
public void entry(Context context, ResourceWrapper resourceWrapper, DefaultNode node, int count,boolean prioritized, Object... args) throws Throwable { try { // Do some checking. fireEntry(context, resourceWrapper, node, count, prioritized, args); // @1 // Request passed, add thread count and pass count. node.increaseThreadNum(); // @2 node.addPassRequest(count); if (context.getCurEntry().getOriginNode() != null) { // @3 // Add count for origin node. context.getCurEntry().getOriginNode().increaseThreadNum(); context.getCurEntry().getOriginNode().addPassRequest(count); } if (resourceWrapper.getEntryType() == EntryType.IN) { // @4 // Add count for global inbound entry node for global statistics. Constants.ENTRY_NODE.increaseThreadNum(); Constants.ENTRY_NODE.addPassRequest(count); } // Handle pass event with registered entry callback handlers. for (ProcessorSlotEntryCallback<DefaultNode> handler : StatisticSlotCallbackRegistry.getEntryCallbacks()) { // @5 handler.onPass(context, resourceWrapper, node, count, args); } } catch (PriorityWaitException ex) { // @6 node.increaseThreadNum(); if (context.getCurEntry().getOriginNode() != null) { // Add count for origin node. context.getCurEntry().getOriginNode().increaseThreadNum(); } if (resourceWrapper.getEntryType() == EntryType.IN) { // Add count for global inbound entry node for global statistics. Constants.ENTRY_NODE.increaseThreadNum(); } // Handle pass event with registered entry callback handlers. for (ProcessorSlotEntryCallback<DefaultNode> handler : StatisticSlotCallbackRegistry.getEntryCallbacks()) { handler.onPass(context, resourceWrapper, node, count, args); } } catch (BlockException e) { // @7 // Blocked, set block exception to current entry. context.getCurEntry().setError(e); // Add block count. node.increaseBlockQps(count); if (context.getCurEntry().getOriginNode() != null) { context.getCurEntry().getOriginNode().increaseBlockQps(count); } if (resourceWrapper.getEntryType() == EntryType.IN) { // Add count for global inbound entry node for global statistics. Constants.ENTRY_NODE.increaseBlockQps(count); } // Handle block event with registered entry callback handlers. for (ProcessorSlotEntryCallback<DefaultNode> handler : StatisticSlotCallbackRegistry.getEntryCallbacks()) { handler.onBlocked(e, context, resourceWrapper, node, count, args); } throw e; } catch (Throwable e) { // @8 // Unexpected error, set error to current entry. context.getCurEntry().setError(e); // This should not happen. node.increaseExceptionQps(count); if (context.getCurEntry().getOriginNode() != null) { context.getCurEntry().getOriginNode().increaseExceptionQps(count); } if (resourceWrapper.getEntryType() == EntryType.IN) { Constants.ENTRY_NODE.increaseExceptionQps(count); } throw e; }}
代码@1:首先调用 fireEntry,先调用 Sentinel Slot Chain 中其他的处理器,执行完其他处理器的逻辑,例如 FlowSlot、DegradeSlot,因为 StatisticSlot 的职责是收集统计信息。
代码@2:如果后续处理器成功执行,则将正在执行线程数统计指标加一,并将通过的请求数量指标增加对应的值。下文会对 Sentinel Node 体系进行详细的介绍,在 Sentinel 中使用 Node 来表示调用链中的某一个节点,每个节点关联一个资源,资源的实时统计信息就存储在 Node 中,故该部分也是调用 DefaultNode 的相关方法来改变线程数等,将在下文会向详细介绍。
代码@3:如果上下文环境中保存了调用的源头(调用方)的节点信息不为空,则更新该节点的统计数据:线程数与通过数量。
代码@4:如果资源的进入类型为 EntryType.IN,表示入站流量,更新入站全局统计数据(集群范围 ClusterNode)。
代码@5:执行注册的进入Handler,可以通过 StatisticSlotCallbackRegistry 的 addEntryCallback 注册相关监听器。
代码@6:如果捕获到 PriorityWaitException ,则认为是等待过一定时间,但最终还是算通过,只需增加线程的个数,但无需增加节点通过的数量,具体原因我们在详细分析限流部分时会重点讨论,也会再次阐述 PriorityWaitException 的含义。
代码@7:如果捕获到 BlockException,则主要增加阻塞的数量。
代码@8:如果是系统异常,则增加异常数量。
我想上面的代码应该不难理解,但涉及到统计指标数据的变化,都是调用 DefaultNode node 相关的方法,从这里也可以看出,Node 将是实时统计数据的直接持有者,那毋容置疑接下来将重点来学习 Node,为了知识体系的完备性,我们先来看一下 StatisticSlot 的 exit 方法。
1.2 StatisticSlot exit 详解
StatisticSlot#exit
public void exit(Context context, ResourceWrapper resourceWrapper, int count, Object... args) { DefaultNode node = (DefaultNode)context.getCurNode(); if (context.getCurEntry().getError() == null) { // @1 // Calculate response time (max RT is TIME_DROP_VALVE). long rt = TimeUtil.currentTimeMillis() - context.getCurEntry().getCreateTime(); if (rt > Constants.TIME_DROP_VALVE) { rt = Constants.TIME_DROP_VALVE; } // Record response time and success count. node.addRtAndSuccess(rt, count); if (context.getCurEntry().getOriginNode() != null) { context.getCurEntry().getOriginNode().addRtAndSuccess(rt, count); } node.decreaseThreadNum(); if (context.getCurEntry().getOriginNode() != null) { context.getCurEntry().getOriginNode().decreaseThreadNum(); } if (resourceWrapper.getEntryType() == EntryType.IN) { Constants.ENTRY_NODE.addRtAndSuccess(rt, count); Constants.ENTRY_NODE.decreaseThreadNum(); } } else { // Error may happen. } // Handle exit event with registered exit callback handlers. Collection<ProcessorSlotExitCallback> exitCallbacks = StatisticSlotCallbackRegistry.getExitCallbacks(); for (ProcessorSlotExitCallback handler : exitCallbacks) { // @2 handler.onExit(context, resourceWrapper, count, args); } fireExit(context, resourceWrapper, count); // @3}
代码@1:成功执行,则重点关注响应时间,其实现亮点如下:计算本次响应时间,将本次响应时间收集到 Node 中。将当前活跃线程数减一。
代码@2:执行退出时的 callback。可以通过 StatisticSlotCallbackRegistry 的 addExitCallback 方法添加退出回调函数。
代码@3:传播 exit 事件。
接下来我们将重点介绍 DefaultNode,即 Sentinel 的 Node 体系,持有资源的实时调用信息。
2、Sentienl Node 体系
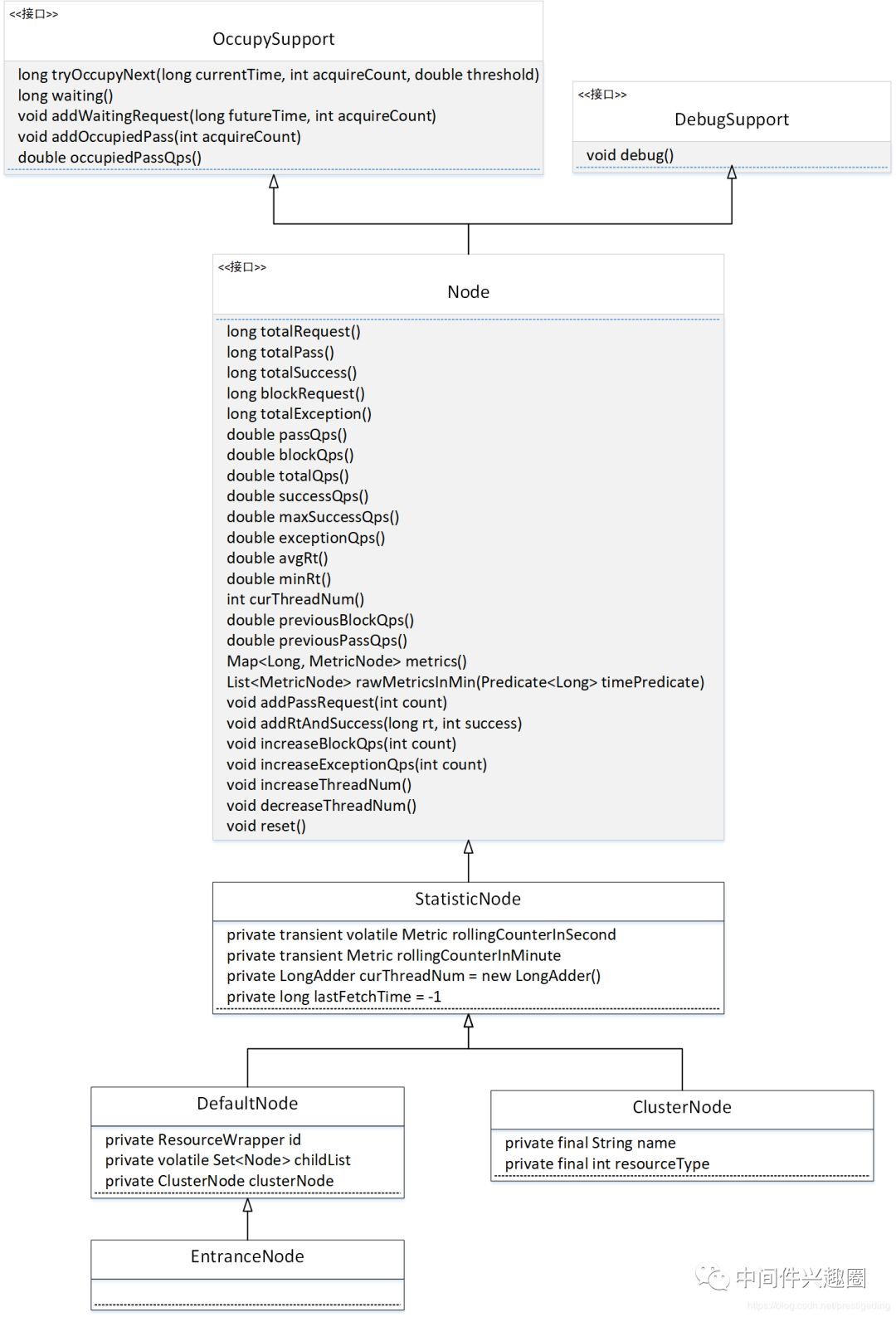
2.1 Node 类体系图
-
OccupySupport 支持抢占未来的时间窗口,有点类似借用“未来”的令牌。其核心方法如下:
-
long tryOccupyNext(long currentTime, int acquireCount, double threshold)尝试抢占未来的令牌,返回值为调用该方法的线程应该 sleep 的时间。1、long currentTime 当前时间。2、int acquireCount本次需要申请的令牌个数。 3、double threshold 设置的阔值。
-
long waiting()获取当前已申请的未来的令牌的个数。
-
void addWaitingRequest(long futureTime, int acquireCount)申请未来时间窗口中的令牌。
-
void addOccupiedPass(int acquireCount)增加申请未来令牌通过的个数。
-
double occupiedPassQps()当前抢占未来令牌的QPS。
-
Node持有实时统计信息的节点。定义了收集统计信息与获取统计信息的接口,上面方法根据方法名称即可得知其含义,故这里就不一一罗列了。
-
StatisticNode实现统计信息的默认实现类。
-
DefaultNode用于在特定上下文环境中保存某一个资源的实时统计信息。
-
ClusterNode实现基于集群限流模式的节点,将在集群限流模式部分详细介绍。
-
EntranceNode用来表示调用链入口的节点信息。
本文将详细介绍 DefaultNode 与 StatisticNode,重点阐述调用树与实时统计信息。DefaultNode 是 StatisticNode 的子类,我们先从 StatisticNode 开始 Node 体系的探究。
3、StatisticNode 详解
3.1 核心类图
-
Metric rollingCounterInSecond = new ArrayMetric(SampleCountProperty.SAMPLE_COUNT, IntervalProperty.INTERVAL)每秒的实时统计信息,使用 ArrayMetric 实现,即基于滑动窗口实现,正是上篇文章详细介绍的,默认1s 采样 2次。即一个统计周期中包含两个滑动窗口。
-
Metric rollingCounterInMinute = new ArrayMetric(60, 60 * 1000, false)每分钟实时统计信息,同样使用 ArrayMetric 实现,即基于滑动窗口实现。每1分钟,抽样60次,即包含60个滑动窗口,每一个窗口的时间间隔为 1s 。
-
LongAdder curThreadNum = new LongAdder()当前线程计数器。
-
long lastFetchTime = -1上一次获取资源的有效统计数据的时间,即调用 Node 的 metrics() 方法的时间。
关于 ArrayMetric 滑动窗口设计与实现原理,请参考笔者的另一篇博文:Alibaba Seninel 滑动窗口实现原理(文末附原理图)
接下来我们挑选几个具有代表性的方法进行探究。
3.2 addPassRequest
public void addPassRequest(int count) { rollingCounterInSecond.addPass(count); rollingCounterInMinute.addPass(count);}
增加通过请求数量。即将实时调用信息向滑动窗口中进行统计。addPassRequest 即报告成功的通过数量。就是分别调用 秒级、分钟即对应的滑动窗口中添加数量,然后限流规则、熔断规则将基于滑动窗口中的值进行计算。
3.3 totalRequest
public long totalRequest() { return rollingCounterInMinute.pass() + rollingCounterInMinute.block();}
获取当前时间戳的总请求数,获取分钟级时间窗口中的统计信息。
3.4 successQps
public double successQps() { return rollingCounterInSecond.success() / rollingCounterInSecond.getWindowIntervalInSec();}
成功TPS,用秒级统计滑动窗口中统计的个数 除以 窗口的间隔得出其 tps,即抽样个数越大,其统计越精确。
温馨提示:上面的方法在学习了上文的滑动窗口设计原理后将显得非常简单,大家在学习的过程中,可以总结出一个规律,什么时候时候使用秒级滑动窗口,什么时候使用分钟级滑动窗口。
3.5 metrics
由于 Sentienl 基于滑动窗口来实时收集统计信息,并存储在内存中,并随着时间的推移,旧的滑动窗口将失效,故需要提供一个方法,及时将所有的统计信息进行汇总输出,供监控客户端定时拉取,转储都其他客户端,例如数据库,方便监控数据的可视化,这也通常是中间件用于监控指标的监控与采集的通用设计方法。
public Map<Long, MetricNode> metrics() { long currentTime = TimeUtil.currentTimeMillis(); currentTime = currentTime - currentTime % 1000; // @1 Map<Long, MetricNode> metrics = new ConcurrentHashMap<>(); List<MetricNode> nodesOfEverySecond = rollingCounterInMinute.details(); // @2 long newLastFetchTime = lastFetchTime; // Iterate metrics of all resources, filter valid metrics (not-empty and up-to-date). for (MetricNode node : nodesOfEverySecond) { if (isNodeInTime(node, currentTime) && isValidMetricNode(node)) { // @3 metrics.put(node.getTimestamp(), node); newLastFetchTime = Math.max(newLastFetchTime, node.getTimestamp()); } } lastFetchTime = newLastFetchTime; return metrics;}
代码@1:获取当前时间对应的滑动窗口的开始时间,可以对比上文计算滑动窗口的算法。
代码@2:获取一分钟内的所有滑动窗口中的统计数据,使用 MetricNode 表示。
代码@3:遍历所有节点,刷选出不是当前滑动窗口外的所有数据。这里的重点是方法:isNodeInTime。
private boolean isNodeInTime(MetricNode node, long currentTime) { return node.getTimestamp() > lastFetchTime && node.getTimestamp() < currentTime;}
这里只刷选出不是当前窗口的数据,即 metrics 方法返回的是“过去”的统计数据。
接下来我们再来看看 DefaultNode 相关的几个特性方法。
4、DefaultNode 详解
4.1 类图
-
private ResourceWrapper id资源id,即 DefaultNode 才真正与资源挂钩,可以将 DefaultNode 看出是调用链中的一个节点,并且与资源关联。
-
private volatile Set< Node > childList子节点结合。以此来维持其调用链。
-
private ClusterNode clusterNode集群节点,同样为 StatisticNode 的子类,表示与资源集群相关的环境。
接下来我们将来看一下 DefaultNode 的核心方法。
4.2 increaseBlockQps
public void increaseBlockQps(int count) { super.increaseBlockQps(count); this.clusterNode.increaseBlockQps(count);}
DefaultNode 的此类方法,通常是先调用 StatisticNode 的方法,然后再调用 clusterNode 的相关方法,最终就是使用在对应的滑动窗口中增加或减少计量值。
其他方法也比较简单,就不再细看了,我们可以通过 DefaultNode 的 printDefaultNode 方法来打印该节点的调用链。
本文就介绍到这里了,本文详细介绍了 Sentinel 实时数据收集的统一入口 StatisticSlot,并且介绍了 Seninel Node 体系,即调用链中的每一个节点,每一个节点对一个资源的实时统计信息。
如果您喜欢这篇文章,点【在看】与转发是一种美德,期待您的认可与鼓励,越努力越幸运。
欢迎加入我的知识星球,一起交流源码,探讨架构,打造高质量的技术交流圈,长按如下二维码

中间件兴趣圈 知识星球 正在对如下话题展开如火如荼的讨论:
1、【让天下没有难学的Netty-网络通道篇】
1、Netty4 Channel概述(已发表) 2、Netty4 ChannelHandler概述(已发表) 3、Netty4事件处理传播机制(已发表) 4、Netty4服务端启动流程(已发表) 5、Netty4 NIO 客户端启动流程 6、Netty4 NIO线程模型分析 7、Netty4编码器、解码器实现原理 8、Netty4 读事件处理流程 9、Netty4 写事件处理流程 10、Netty4 NIO Channel其他方法详解2、Java 并发框架(JUC) 探讨【面试神器】3、源码分析Alibaba Sentienl 专栏背后的写作与学习技巧。
