原码、反码、补码的由来
数字在自然界中抽象出来的时候,一棵树,两只猪,是没有正数和负数的概念的
计算机保存最原始的数字,也是没有正和负的数字,叫没符号数字
如果我们在内存分配4位(bit)去存放无符号数字,是下面这样子的

正如上帝一挥手,从混沌中划分了“白天”与“黑夜”
为了表示正与负,人们发明了"原码",把生活应该有的正负概念,原原本本的表示出来
把左边第一位腾出位置,存放符号,正用0来表示,负用1来表示

但使用“原码”储存的方式,方便了看的人类,却苦了计算机

我们希望 (+1)和(-1)相加是0,但计算机只能算出0001+1001=1010 (-2)
这不是我们想要的结果 (╯' - ')╯︵ ┻━┻
另外一个问题,这里有一个(+0)和(-0)
为了解决“正负相加等于0”的问题,在“原码”的基础上,人们发明了“反码”
“反码”表示方式是用来处理负数的,符号位置不变,其余位置相反
当“原码”变成“反码”时,完美的解决了“正负相加等于0”的问题
过去的(+1)和(-1)相加,变成了0001+1101=1111,刚好反码表示方式中,1111象征-0
人们总是进益求精,历史遗留下来的问题—— 有两个零存在,+0 和 -0
我们希望只有一个0,所以发明了"补码",同样是针对"负数"做处理的
"补码"的意思是,从原来"反码"的基础上,补充一个新的代码,(+1)
我们的目标是,没有蛀牙(-0)

我们要处理"反码"中的"-0",当1111再补上一个1之后,变成了10000,丢掉最高位就是0000,刚好和左边正数的0,完美融合掉了
这样就解决了+0和-0同时存在的问题
另外"正负数相加等于0"的问题,同样得到满足
举例,3和(-3)相加,0011 + 1101 =10000,丢掉最高位,就是0000(0)
同样有失必有得,我们失去了(-0) , 收获了(-8)
以上就是"补码"的存在方式
位运算的应用
>> 右移运算符
规则 a >> b 将数值 a 的二进制数值从 0 位算起到第 b - 1 位,整体向右方向移动 b 位,符号位不变,高位空出来的位补数值 0。
5 >> 1 ===> 1000 0000 0000 0101 >> 1 = 1000 0000 0000 0010 = 2
7 >> 2 ===> 1000 0000 0000 0111 >> 2 = 1000 0000 0000 0001 = 1
9 >> 3 ===> 1000 0000 0000 1001 >> 3 = 1000 0000 0000 0001 = 1
11 >> 2 ===> 1000 0000 0000 1011 >> 2 = 1000 0000 0000 0010 = 2
a >> b = a / ( 2 ^ b ) ,所以 5 >> 1= 5 / 2 = 2,11 >> 2 = 11 / 4 = 2
<< 左移运算符
规则 a << b 将数值 a 的二进制数值从 0 位算起到第 b - 1 位,整体向左方向移动 b 位,符号位不变,低位空出来的位补数值 0。
5 << 1 ===> 1000 0000 0000 0101 << 1 = 1000 0000 0000 1010 = 10
7 << 2 ===> 1000 0000 0000 0111 << 2 = 1000 0000 0001 1100 = 28
9 << 3 ===> 1000 0000 0000 1001 << 3 = 1000 0000 0100 1000 = 72
11 << 2 ===> 1000 0000 0000 1011 << 2 = 1000 0000 0010 1100 = 44
很明显就可以看出 a << b = a * (2 ^ b)
综合上面两个可以看到,如果某个数值右移 n 位,就相当于拿这个数值去除以 2 的 n 次幂。如果某个数值左移 n 位,就相当于这个数值乘以 2 ^ n。
异或运算
相异为真,相同为假
特性
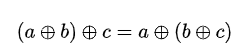
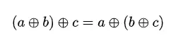
- 满足交换率

- 满足结合律

- 一个数 异或 0 为自身
- 一个数 自己 异或自己为 0
x ^ y ^ y = x ^ (y ^ y) = x ^ 0 = x
参考资料: