相似性度量算法

556 阅读1分钟

相似性度量算法

基础

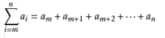
求和号是数学中常用的符号,主要用于求多项数的和,用∑表示。这个符号是源于希腊文σογμαρω(增加)的字头,Σ正是σ的大写。

P(A)

排列,一般地,从n个不同元素中取出m(m≤n)个元素,按照一定的顺序排成一列,叫做从n个元素中取出m个元素的一个排列(permutation/Arrangement)。特别地,当m=n时,这个排列被称作全排列(all permutation)。

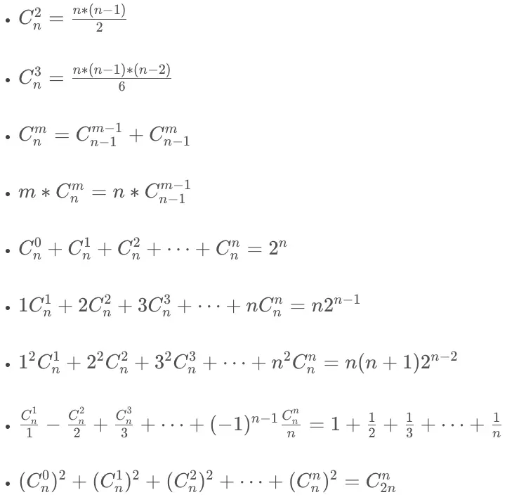
C

组合(combination)是一个数学名词。一般地,从n个不同的元素中,任取m(m≤n)个元素为一组,叫作从n个不同元素中取出m个元素的一个组合。我们把有关求组合的个数的问题叫作组合问题。

!

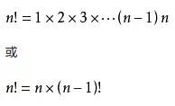
一个正整数的阶乘(factorial)是所有小于及等于该数的正整数的积,并且0的阶乘为1。自然数n的阶乘写作n!。1808年,基斯顿·卡曼引进这个表示法。

算法归类