NeurIPS 2019 | 基于Co-Attention和Co-Excitation的少样本目标检测

1,050 阅读9分钟

论文提出CoAE少样本目标检测算法,该算法使用non-local block来提取目标图片与查询图片间的对应特征,使得RPN网络能够准确的获取对应类别对象的位置,另外使用类似SE block的squeeze and co-excitation模块来根据查询图片加强对应的特征纬度,最后结合margin based ranking loss达到了state-of-the-art,论文创新点满满,值得一读

论文:One-Shot Object Detection with Co-Attention and Co-Excitation

Introduction


  论文认为,人类能够在图片中找出模版对应的物体,是因为人类具备将像素分组,提取独特特征比对以及专注定位的能力。因此,论文希望提出一个具备人类视觉功能的网络来解决one-shot目标检测的问题,给予网络一张未见过的查询模版(query image),然后在目标图片(taget image)中找出其位置。论文提出的one-shot目标检测算法的特征主要来自两种上下文信息:

  • 目标图片能够提供空间上下文,对比其它前景物体和背景来找出特殊对象的位置
  • 目标图片和查询图片能够提供类别上下文,而确切的类别层次则是由模版和目标对象的相同属性(颜色,纹理,形状等)决定的

  度量学习(Metric learning)是one-shot分类问题的关键,但不能直接简单地将学习到的度量方法应用到one-shot目标检测中,因为检测器需要先知道哪块区域最有可能包含目标才能进行比较。另外,目标追踪可以认为是少样本目标检测的一个特殊案例,区别在于,少样本目标检测的目标图片中不一定包含查询图片,并且允许图片之间存在明显的外观差异,只要他们有公共的特征进行归类即可。论文推出新的机制squeeze and co-excitation(CoAE)来同时强化新类别对象在查询图片和目标图片上的特征,实验证明,CoAE框架能更好地发掘空间和类别上下文信息,带来很好的性能提醒

Our method


  定义数据集的类别标签集合为C,进一步将其分为C=C_0 \cup C_1,分别用于训练和测试。少样本目标检测的流程定义为,给予查询图片p,为C_1集合的一个类别对象,测试就是查找目标图片I所有对应的对象,假设每张可用的图片包含至少一个查询对象

  论文的主要架构如1,主要包含4个部分,分别是前面的基础特征提取,然后是Non-local feature的提取,用于提取共同特征,接着是论文提出的squeeze and co-excitation(CoAE)模块,用于强化目标channel,最后是metric模块,用于最好的分类

Non-local object proposals

  定义训练集为D,包含C_0类别的bbox,论文采用Faster R-CNN架构进行检测,这会带来一个基础问题,即RPN能否检测出未训练过的类别(C_1)的bbox。由于C_1类别与C_0类别可能存在十分明显的区别,因此,RPN不一定能检测出C_1的bbox。为了解决这个问题,论文引入non-local operation来优化卷积特征,non-local operation是一种类似attention的操作,能够根据参考输入来强化目标输入上的特征分布,具体可以看 Non-local neural networks
  让I为目标图片,p为查询图片,目标图片的主干网络输出为\phi(I) \in \mathbb{R}^{N \times W_I \times H_I},查询图片的输出为\phi(p)\in \mathbb{R}^{N\times W_p\times H_p}。将\phi(p)作为参考输入,\phi(I)的non-local block输出为\varphi(I;p)\in \mathbb{R}^{N\times W_I\times H_I},同样的,以\phi(I)作为参考输入,可以得到\phi(p)\varphi(p;I)\in \mathbb{R}^{N\times W_p\times H_p}Ip之间的相互non-local operations可以认为进行co-attention机制

  两个扩展的特征图可以表示为公式1和公式2,\bigoplus是element-wise sum。由于F(I)不仅包含了目标图片的特征,还包含了Ip加权特征,所以将RPN接在这层特征上能够发现更多关于查询图片p的信息,从而获取更高质量的bbox,即non-local region proposals更适合少样本目标检测

Squeeze and co-excitation

  除了关联region proposals和查询图片外,co-attention机制产生了channel数一样的两组特征F(I) F(p),而这两组特征可以通过论文提出的squeeze-and-co-excitation(SCE)来根据查询图片p对N个channel进行自适应重新加权。具体地,squeeze步骤通过GAP(global average pooling)概括了每一个特征图,而co-excitation则同时对F(I)F(p)进行channel纬度的特征加强,重点加强对最后相似度度量有用的特征。在squeeze层和co-excitation层之间,放置了两个fc/MLP层,跟SE block设计一样

  SCE operation如公式3,\tilde{F}(p)\tilde{F}(I)为重新加强后的特征图,w\in \mathbb{R}^N是co-excitation向量,而\bigodot表示element-wise product

  通过公式3,查询图片p可以表示为公式4,同样RPN提取的区域特征r可以同样得出,例如对\tilde{F}(I)的裁剪区域进行channel-wise的GAP

Proposal ranking

  论文设计了一个两层MLP网络M,以二分类softmax结尾,RPN根据查询图片p选出K个bbox,K一般为128。在训练阶段,K个bbox会根据IoU是否大于0.5分成前景(label 1)和背景(label 0),接着使用margin-based ranking loss来指导度量学习,使得最相关的bbox出现在bbox列表的前面。因此,论文将每个bbox的特征向量r分别和查询图片特征r进行concatenate,标记为x=[r^T; q^T]\in \mathbb{R}^{2N},网络M的层输出分布2N\rightarrow 8\rightarrow 2

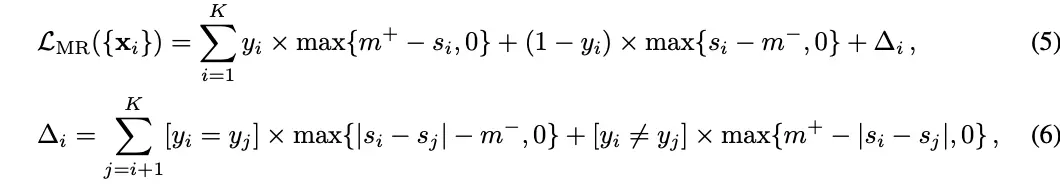
  论文定义margin-based ranking loss为公式5,s=M(x)为前景的预测的置信度,[ \cdot ]为Iverson bracket,括号内为true则输出1,否则输出0,m^+为前景的下限,m^-为背景的上线,在实际中,一般分别设为0.7和0.3
  margin-based loss分为两部分,前部分为限制前景和背景的置信度,前景必须大于0.7,背景必须小于0.3,否则产生loss。而另一部分\Delta则是ranking的loss,初始的顺序是根据RPN的置信度输出。这里可以看出,论文没有设定真正意义的先后顺序,而是限制了正负样本间的置信度差,同类别样本间置信度差要小于0.3,而不同类别样本间置信度差则要大于0.7

  最后的总loss如公式7,前两个loss为交叉熵和Faster R-CNN的回归loss

Experiments


Datasets and hyperparameters

  Table1展示了VOC上的seen和unseen类别,而在COCO上,则对80个类进行4等分,然后随机选取3个作为seen类别,剩下一个为unseen类别,如图2所示。训练使用SGD优化器,momentum为0.9,训练10个周期,batch size为128,使用8块v100,学习率为0.01,每4个周期下降10倍,margin-based ranking loss的\lambda=3

Generating target and query pairs

  对于VOC,直接裁剪gt bbox作为查询图片,而对于COCO,由于目标太小且对于人也太难辨认,不能直接裁剪,因此,使用预训练的Mask R-CNN去掉过小和过难的目标。另外,实验仅使用Mask R-CNN检测出来的GT。在训练时,对于目标图片,随机获取图片上的seen类别作为查询图片。而在测试时,先使用图片ID作为种子,随机打乱查询图片的顺序,然后选取前五个查询图片,最后计算mAP。打乱顺序能保证获取的5个查询图片上随机的,从而保证验证结果上准确的

ImageNet pre-training

  为了保证实验的严格性,使用缩减后的ImageNet对ResNet-50进行重新训练,将COCO-related ImageNet类别去掉,大约933052张图片,剩下725类,精度top-1 75.8%,完整的ImageNet包含1284168张图片,共1000类

Overall performance

  对于VOC,Table1中可以看到,使用缩减的数据集训练的模型依然优于baseline模型,而使用完整的数据集训练的模型则是性能有很明显地提升。unseen类别性能比seen类别好,这是由于部分类别的对象差异较大,比如plant, bottle, chair

  对于COCO,Table2中可以看出,论文的模型在seen类别和unseen类别上优于Siamese Mask-RCNN

Ablation studies


  • Co-attention, co-excitation, and margin-based ranking loss

  论文研究了不同的策略的共享,如Table3。首先,不使用Co-attention和Co-excitation的模型表现最差,而分别单独加入non-local RPN和SCE在VOC和COCO上能分别能带来6.3/4.4mAP和9.8/8.2AP(%)提升,同时加入则分别进一步带来0.9/1.8mAP(%)和0.3/1.9AP(%)提升,这意味着co-attention和co-exciation对性能表现都很关键,而margin-based ranking loss也是很重要的

  • Visualizing the distribution of non-local object proposals

  为了分析non-local bbox的性能,将bbox分布以heatmap方式可视化, 如Figure3,co-attention模块让RPN更专注于查询图片的相似区域

  • Visualizing the characteristics of co-excitation

  为了分析co-excitation机制是否学习到了不同类别的权重分布,论文收集了测试时不同类别的查询图片的co-excitation权重,最后对其求平均得到类别的单一向量,再用欧式距离计算类别单一向量间的距离。从图4的结果可以看出,co-excitation模块学习到了有意义的权重分布,相似的物体的向量距离比较近,而person类别则远离其它所有类别,表明person类别的权重与其它类别基本不同

  • Analyzing the co-excitation mechanism

  论文进行了两个相反的实验,首先对同一张目标图片使用不同的查询图片,从图5的结果可以看出,p1和p2的颜色与目标相似,而p3和p4则截然不同,从结果来看,结论是前两张图片更注重颜色,而后两张则更注重形状特征。另外一个则是对不同的目标图片使用同一张查询图片,从图6结果可以看出,I1和I2更注重纹理而I3和I4更注重形状特征

Conclusion


  论文提出CoAE少样本目标检测算法能够根据查询图片提取对应的特征,不依赖于训练数据的标注信息,在COCO和VOC上达到state-of-the-art,未来的工作是将网络推广到k-shot(k$\ge$0)目标检测中

参考内容

写作不易,未经允许不得转载~ 更多内容请关注个人微信公众号【晓飞的算法工程笔记】

work-life balance.