1
1.1 简介
zookeeper为服务注册中心
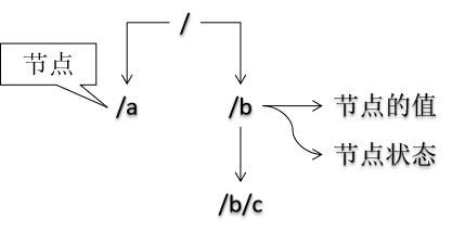
1.2 树形目录结构

ZooKeeper使用树形结构管理数据。而且以“/”作为树形结构的根节点。树形结构中的每一个节点都称为“znode”。文件系统中的 目录可以存放其他目录和文件,znode中可以存放其他znode,也可以对应一个具体的值。znode和它对应的值之间是键值对的关系。 每一个znode上同时还有一套状态信息,称为:stat。
1.3 异步通知机制

在分布式项目中随着业务功能越来越多,具体的功能模块也会越来越多,一个大型的电商项目能达到几十个模块甚至更多。这么多业务模块的工程有可能需要共享一些信息,这些信息一旦发生变化,在各个相关模块工程中手动逐一修改会非常麻烦,甚至可能发生遗漏,严重的可能导致系统崩溃,造成经济损失。 使用ZooKeeper的通知机制后,各个模块工程在特定znode上设置Watcher(观察者)来监控当前节点上值的变化。一旦Watcher检测到了数据变化就会立即通知模块工程,从而自动实现“一处修改,处处生效”的效果。
1.4 leader-follower集群
