计算机网络1 | 概述

347 阅读8分钟

计算机网络的最本质活动是分布在不同地理位置的主机之间的进程通信

计算机网络在信息时代中的作用

21世纪的一些重要特征就是数字化、网络化和信息化。

网络是指“三网”,即电信网络、有线电视网络和计算机网络。

计算机网络向用户提供的最重要的功能有两个,即:

  • 连通性;
  • 共享

因特网概述

网络的网路

网络由若干结点和连接这些结点的链路组成。

因特网发展的三个阶段

第一阶段是从单个网络 ARPANET 向互联网发展的过程。Internet指当前全球最大的、开放的、由众多网络相互连接而成的特定计算机网络,它采用TCP/IP协议族作为通信的规则,且前身是美国的ARPANET。

第二阶段的特点是建成了三级结构的因特网。它是一个三级网络,分为主干网、地区网和校园网。

第三阶段的特点是逐渐形成了多层次ISP结构的因特网。ISP也分成为不同的层次:主干ISP、地区ISP和本地ISP。

因特网的组成

因特网的拓扑结构非常复杂,从工作方式上分为两部分

边缘部分 由所有连接在因特网上的主机组成。这部分是用户直接使用的,用来进行通信和资源共享。

核心部分 由大量网络和连接这些网络的路由器组成。这部分是边缘部分提供服务的(提供连通性和交换)。

因特网的边缘部分

客户-服务器方式

客户是服务请求方,服务器是服务提供方。

对等连接方式

对等连接(P2P)是指两个主机在通信时并不区分哪一个是服务器请求方还是服务提供方。

因特网的核心部分

在网络核心部分起特殊作用的是路由器,他是一种专用计算机(但不是主机)。路由器是实现分组交换的关键构件,其任务是转发收到的分组。

电路交换的主要特点

分组交换的主要特点

分组交换则采用存储转发技术。把一个报文划分为几个分组后再进行传送。通常我们把要发送的整块数据成为一个报文。

主机是为用户进行信息处理的,并且可以和其他主机通过网络交换信息。路由器则是用来转发分组的,即进行分组交换的。

路由器收到一个分组,先暂时存储一下,检查其首部,查找转发表,按照首部中的目的地址,找到合适的接口转发出去,把分组交给下一个路由器。

分组交换的优点

  • 高效:在分组传输的过程中动态分配传输带宽,对通信链路是逐段占用
  • 灵活:为每一个分组独立地选择最合适的转发路由
  • 迅速:以分组作为传送单位,可以不先建立连接就能向其他主机发送分组
  • 可靠:保证可靠性的网路协议:分布式多路由的分组交换网,使网络有很好的生存性

三种报文

电路交换——整个报文的比特流连续地从源点直达终点。

报文交换——整个报文先传送到相邻结点,全部存储下来后查找转发表,转发到下一个结点

分组交换——单个分组(这只是整个报文的一部分)传送到相邻结点,存储下来后查找转发表,转发到下一个结点。

计算机网络的类别

计算机网络的定义

一些互相相连的、自治的计算机的集合。

计算机网络的性能

计算机网络的性能指标

速率

bit是计算机中数据量的单位

带宽

“带宽有一下两种不同的意义”

  • 带宽本来指某个信号具有的频带宽度

  • 计算机中,带宽用来表示网络的通信线路传送数据的能力,因此网络带宽表示在单位时间内从网络中的某一点到另一点所能通过的“最高数据率”。

    单位:比特每秒

吞吐量

吞吐量表示在单位时间内通过某个网络的数据量。

时延

指数据从网络的一端到另一端所需的时间。

  • 发送时延:主机或路由器发送数据帧所用的时间

  • 传播时延:电磁波在信道中传播一定距离需要花费的时间

  • 处理时延:分析分组的首部,从分组提取数据部分等所花费的时间

  • 排队时延:经过路由器时,要先在输入队列中排队等待处理

总时延=发送时延+传播时延+处理时延+排队时延

时延带宽积

时延带宽积 = 传播时延 * 带宽

例如:设某段链路的传播时延是20ms,带宽为10Mb/s,算出:

时延带宽积 = 20 * 10^(-3)1010^(-6)=2*10^5 bit

往返时间RTT

表示发送方发送数据开始,到发送方收到来自接收方的确认

往返时间与所发送的分组长度有关

利用率

利用率有信道利用率和网络利用率两种

信道利用率指出某信道有百分之几的时间是被利用的。

网络利用率则是全网络的信道利用率的加权平均值。

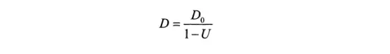
当某信道的利用率增大时,该信道引起的时延也就迅速增加。

D0表示网络空闲时的时延,D表示网络当前的时延,U是网络的利用率,数值在0到1之间。

计算机网络的非性能指标

  • 费用
  • 质量等

计算机网络体系结构

计算机网络体系结构的形成

OSI失败原因:

  • OSI专家缺乏实际经验
  • OSI协议实现起来过分复杂
  • OSI标准周期长
  • OSI层次划分不合理

协议与划分层次

网络协议的主要由下面三个要素组成:

  • 语法 数据与控制的结构信息
  • 语义 发出何种控制信息,收到如何回应
  • 同步 对事件实现顺序的详细说明

分层的好处:

  • 各层之间是独立的
  • 灵活性好
  • 结构上可分隔开
  • 易于实现和维护
  • 能促进标准化工作

通常各层要完成的功能:

  • 差错控制
  • 流量控制
  • 分段和复用
  • 建立连接和释放

计算机网络的各层及其协议的集合就是网络的体系结构。

具有五层协议的体系结构

OSI七层协议结构,TCP/IP是一个四层协议结构

应用层

通过应用进程的交互来完成特定网络应用。

应用层交互的数据单元成为数据报文

运输层

两台主机进程之间的通信提供通用的数据传输服务。

一台主机有很多个进程,所以运输层有复用和分用的概念。

复用(多到一)多个应用进程可同时使用下面运输层的服务

运输层主要使用的两种协议:

TCP/IP:传输控制协议——提供面向连接的,可靠的数据传输服务,其数据传输的单位是报文段。

UDP:用户数据报协议——提供无连接的,尽最大努力的数据传输服务,其数据传输的单位是用户数据报。

网络层

为分组交换网上的不同主机提供服务。

在发送数据时,网络层把运输层产生的报文段或用户封装成分组或包进行传送

数据链路层

在两个相邻结点之间传送数据时,数据链路层将网络层交下来的IP数据报组装成帧,在两个相邻结点传送帧。

物理层

物理层传输的单位时bit

实体、协议、服务和服务访问点

协议时控制两个对等实体(或多个实体)进行通信的规则的集合。

在协议的控制下,两个对等实体之间的通信使得本层能够向上一层提供服务。要实现本层协议,还需要使用下面一层所提供的服务。

协议时水平的,即协议控制对等实体之间的通信规则。

服务时垂直的,即服务由下层到上层通过层间接口提供。

TCP/IP体系结构

TCP/IP协议簇表明:TCP/IP协议可以为各式各样的应用提供服务。

同时TCP/IP协议也允许IP协议在各式各样的网络构成的互联网上运行。