
声明:这篇文章的目的并不是让你停止使用 clone 关键字,而是让你作进一步理解它的用法,因为这部分的文档介绍不够清楚。众所周知,PHP 的 clone 关键字用于克隆对象的所有属性。其背后的原理在于默认创建一个与原有对象的属性值完全一样的新对象,此外,也可以通过类的 __clone() 方法来实现自定义行为。
虽然该描述与我们的期望相符,但是,如果克隆的对象里面包含了对象类型的属性,可能会出现奇怪的结果。让我们看看具体的示例:
final class Car {
public $model; // 为了减少代码量,将其声明为公共方法
public function __construct(CarModel $model) {
$this->model = $model;
}
}
final class CarModel {
public $name;
public $year;
public function __construct($name, $year) {
$this->name = $name;
$this->year = $year;
}
}这里有两个类: 汽车类 Car 以及它的模型类 CarModel。我们来看下创建并克隆 Car 类之后,改变其中的一个 CarModel 实例会发生什么:
$bmwX1 = new Car(new CarModel('X1', 2015));
$bmwX5 = clone $bmwX1;
// 不同的对象,所以 id 不同
var_dump(spl_object_hash($bmwX1)); // "0000000037e353af0000558c268309ea"
var_dump(spl_object_hash($bmwX5)); // "0000000037e353ac0000558c268309ea"
// model 属性指向了同一个实例,这就意味着无论改变哪个另一个都会受到影响
var_dump(spl_object_hash($bmwX1->model)); // "0000000037e353ad0000558c268309ea"
var_dump(spl_object_hash($bmwX5->model)); // "0000000037e353ad0000558c268309ea"
$bmwX5->model->name = 'X5';
var_dump($bmwX1->model);
// object(CarModel)#2 (2) {
// ["name"]=> "X5"
// ["year"]=> int(2015)
// }
var_dump($bmwX5->model);
// object(CarModel)#2 (2) {
// ["name"]=> "X5"
// ["year"]=> int(2015)
// }这应该不是你所期望的结果吧?我们来看看究竟发生了什么。当克隆对象的属性值为对象时,PHP 并不会去遍历并为其重新分配内存地址。幸运的是,我们可以通过 DeepCopy 扩展包来解决该问题。
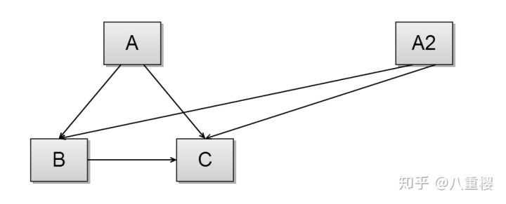
DeepCopy 扩展包通过递归的遍历并克隆对象属性来确保克隆的对象中所包含的全部实例都是新的。因此,每个实例都将拥有一个新的对象标识。工作原理如下:
CloneDeepCopy


让我们来看看改正原来的代码:
use function DeepCopy\deep_copy;
$bmwX1 = new Car(new CarModel('X1', 2015));
$bmwX5 = deep_copy($bmwX1);
var_dump(spl_object_hash($bmwX1->model)); // "000000006042b54c000000001a8ebc46"
var_dump(spl_object_hash($bmwX5->model)); // "000000006042b543000000001a8ebc46"
// 现在,bmwX1 和 bmwX5 对象的 model 属性将拥有不同的标识
$bmwX5->model->name = 'X5';
var_dump($bmwX1->model);
// object(CarModel)#2 (2) {
// ["name"]=> string(2) "X1"
// ["year"]=> int(2015)
// }
var_dump($bmwX5->model);
// object(CarModel)#13 (2) {
// ["name"]=> string(2) "X5"
// ["year"]=> int(2015)
// }问题成功解决。希望通过这篇文章让你对 clone 关键字有更进一步的理解。
以上内容希望帮助到大家,很多PHPer在进阶的时候总会遇到一些问题和瓶颈,业务代码写多了没有方向感,不知道该从那里入手去提升,对此我整理了一些资料,包括但不限于:分布式架构、高可扩展、高性能、高并发、服务器性能调优、TP6,laravel,YII2,Redis,Swoole、Swoft、Kafka、Mysql优化、shell脚本、Docker、微服务、Nginx等多个知识点高级进阶干货需要的可以免费分享给大家,需要的可以加入我的官方群点击此处。