34-深度优先搜索(Depth First Search)

361 阅读6分钟

深度优先搜索(Depth First Search)

与广度优先搜索一样,在二叉树搜索部分,也有用到过类似于深度优先搜索的这种算法,二叉树前序遍历就是一种深度优先搜索

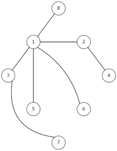
现以图为例,假设现在有如下无序图

如果以1为起点,进行深度优先搜索的话,其搜索的流程是如下

  1. 选择一条路径(如选择3-7路径)进行依次遍历,知道遍历到最底部7后,不能再往下进行搜索
  2. 回退一个顶点到3,判断顶点3是否有其他子路径,如果有,则继续遍历其他子路径,没有则继续往上回退一个顶点
  3. 回退一个顶点到1,发现顶点1还有其他未遍历的路径,则选择一条未遍历的路径,依次遍历到最底部,直到不能再往下继续搜索位置。
  4. 这样一直重复,直到把所有的路径,所有的节点都搜索一遍位置。

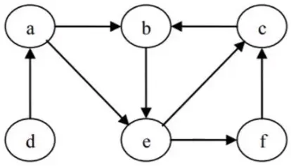
如果现在是如下的有向图

假设现在以顶点a为起点,进行深度优先搜索。

由于现在是有向图,所以可以发现,顶点d是无法访问的,因为从a出发,无论怎么搜索,最终都无法搜索到顶点d

所以,如果以a为起点进行深度优先搜索的话,可能会有以下情况

  1. a→e→f→c→d,通过这种方式搜索,可以发现,一条线就价格所有的顶点搜索完了,这是一种情况
  2. a→e→c→b,这个时候发现该路径的所有节点都访问完了,就会回退到上一个节点到c,发现该节点仍然访问完了,则继续往回退到e,到e后,发现还有一条路径可以搜索,则往顶点f的方向进行搜索,将所有能访问的顶点搜索完后,结束搜索。所以最终的搜索顺序为a→e→c→b→f
  3. 依次类推,按照前面的搜索逻辑,还有其他结果。

所以可以发现,即使是以相同的起点进行搜索,最终的结果,可能都不是唯一的。

根据上面的分析逻辑,最终可以得到搜索的实现如下

递归方式
public void depthFirstSearch(V begin) {
    Vertex beginVertex = vertices.get(begin);
    if (beginVertex == null) return;
    depthFirstSearch(beginVertex,new HashSet<>());
}

private void depthFirstSearch(Vertex<V, E> vertex,Set<Vertex<V,E>> visitedVertices) {
    System.out.println(vertex.value);
    visitedVertices.add(vertex);
    for (Edge<V, E> edge: vertex.outEdges ) {
        if (visitedVertices.contains(edge.to)) continue;
        depthFirstSearch(edge.to,visitedVertices);
    }
}
非递归实现

前面的递归调用,在每一次递归调用函数时,都会在开辟一段栈空间,用来存放该次函数调用的地址,直到递归调用结束,最后调用的函数调用结束,该函数的栈空间被回收,然后依次回收该前面申请的栈空间。其实可以发现,递归调用的函数空间申请和释放,与栈这种数据结构很相似,栈的特点是先进后出。所以上面这种递归调用可以调整为使用栈来实现。

同样假设有如下图

然后利用栈来实现并且以1为起点,进行深度优先搜索的过程如下

  1. 将1进行入栈

  2. 访问该顶点1,将1加入到已访问的集合中,并将1从栈中弹出,然后拿出1中outEdges的其中一条边(假设现在选择1-3这条边)

  3. 将选择边的from,to按顺序进行入栈

  4. 访问选择边的to,并将to加入到已访问顶点的集合中

  5. 停止遍历from(1)中的边,将选择的边(1-3)继续往下进行搜索访问

  6. 将3弹出

    重复2-5步骤。

  7. 将边(3-7)进行入栈,访问该顶点,并且将该顶点加入到已访问的集合中。

  8. 弹出7,然后选择一条边。由于7只有一条边,并且边的to已经访问过,所以不会往栈中添加边,最终7弹出后结果如下

  9. 继续弹出栈中的3,同样的,由于顶点3只有一条边,并且边的to已经访问过,所以不会往栈中添加边,那么最终栈中的结果如下

  10. 继续弹出1

    发现顶点1的outEdges中还有边没有访问,那么就会选择一条没有访问过的边。(假设此选择的是1-5),停止边的遍历,然后将新的边加入到栈中

  11. 访问顶点5,然后将5加入到已访问的集合中

  12. 弹出栈顶顶点5

    然后从5的outEdges中选择一条边,由于所有边已经访问过了,所以只弹出,不加入任何顶点

  13. 弹出栈顶顶点1

  14. 继续从1的outEdges中还有边没有访问,那么就会选择一条没有访问过的边。(假设此选择的是1-6),停止边的遍历,然后将新的边加入到栈中

  15. 访问顶点6,然后将6加入到已访问的集合中,然后将6从栈顶弹出

    然后从6的outEdges中选择一条边,由于所有边已经访问过了,所以只弹出,不加入任何顶点

  16. 弹出栈顶顶点1

  17. 继续从1的outEdges中还有边没有访问,那么就会选择一条没有访问过的边。(假设此选择的是1-2),停止边的遍历,然后将新的边加入到栈中

  18. 访问顶点2,然后将2加入到已访问的集合中,然后将2从栈顶弹出

    然后从2的outEdges中选择一条边,由于有一条从未访问过的边,所以将未访问过的边(2-4)加入到栈中

  19. 访问顶点4,然后将4加入到已访问的集合中,然后将4从栈顶弹出

    然后从4的outEdges中选择一条边,由于所有边已经访问过了,所以只弹出,不加入任何顶点

  20. 继续弹出栈顶元素2

    然后从2的outEdges中选择一条边,由于所有边已经访问过了,所以只弹出,不加入任何顶点

  21. 继续弹出栈顶元素1

  22. 继续从1的outEdges中还有边没有访问,那么就会选择一条没有访问过的边。(假设此选择的是1-0),停止边的遍历,然后将新的边加入到栈中

  23. 访问顶点0,然后将0加入到已访问的集合中,然后将0从栈顶弹出

    然后从0的outEdges中选择一条边,由于所有边已经访问过了,所以只弹出,不加入任何顶点

  24. 弹出栈顶顶点1

    现在,发现所有的outEdges都已经访问过了,所以访问结束。整个搜索过程就结束了

所以根据这个思路,实现的代码如下

public void depthFirstSearch(V begin) {
    Vertex beginVertex = vertices.get(begin);
    if (beginVertex == null) return;
    Set<Vertex<V,E>> visitedVertices = new HashSet<>();
    Stack<Vertex<V,E>> stack = new Stack<>();
    //先访问起点
    stack.push(beginVertex);
    visitedVertices.add(beginVertex);
    System.out.println(beginVertex.value);
    while (!stack.isEmpty()) {
        Vertex<V,E> vertex = stack.pop();
        for (Edge<V,E> edge: vertex.outEdges ) {
            if (visitedVertices.contains(edge.to)) continue;
            stack.push(edge.from);
            stack.push(edge.to);
            visitedVertices.add(edge.to);
            System.out.println(edge.to.value);
            break;
        }
    }
}

demo下载地址

完!