非算法方向的你
面了多少次试?
最后,因为不懂算法,
死在了半路上?
这些痛,
作为技术创新型公司的小编——个推君
怎么会不懂?
为此,个推君特请了我司经验丰富的面试官
为你奉上一份热乎的面试宝典。
宝典可不是面试题哦
仅送给想认真钻研的童鞋
帮大家梳理知识点
让大家举一反三,
offer拿到手软!
注:此处建议大家使用 C 语言来学习数据结构与算法。
一、数据结构
数据结构是算法的基础。大家需要对数据结构有个清晰的概念,因为大部分的算法题均需要带入数据结构的概念来处理。科班出身的程序员或多或少学习过数据结构。我们推荐大家可以重温下这本书,温故而知新。

时间复杂度与空间复杂度
在说算法之前和大家科普两个重要的理论知识:算法的时间复杂度与空间复杂度。
时间复杂度
算法的时间复杂度,用来度量算法的运行时间,记作: T(n) = O(f(n))。它表示随着 输入大小n 的增大,算法执行需要的时间的增长速度可以用 f(n) 来描述,并且会忽略常量部分。
举个例子
int aFunc(void) { printf("Hello, World!\n"); // 需要执行 1 次 return 0; // 需要执行 1 次}调用此方法,printf("Hello, World!\n"); 执行了一次,那么我们记作 T(n) = O(1)
int aFunc(int n) {
for(int i = 0; i<n; i++) {
// 需要执行 (n + 1) 次
printf("Hello, World!\n");
// 需要执行 n 次
}
return 0;// 需要执行 1 次}此处输出语句被执行了 n 次,那么我们记作 T(n) = O(n)
再看一个
int aFunc(int n) {
for(int i = 0; i<3*n; i++) {
for(int j = 0; j<2*n; i++) {// 需要执行 (n) 次
printf("Hello, World!\n"); // 需要执行 n 次
}
return 0;
}此处输出语句被执行了 (3n)(2*n) 次,f(n)=6n^2,由于我们是忽略常量的,所以 T(n)=O(n^2)
空间复杂度
是对一个算法在运行过程中临时占用存储空间大小的量度,记做S(n)=O(f(n))。
int i = 1;
int j = 2;
++i;
j++;
int m = i + j代码中的 i、j、m 所分配的空间都不随着处理数据量变化,因此它的空间复杂度 S(n) = O(1)。
int[] m = new int[n];
for(i=1; i<=n; ++i){
j = i;
j++;
}这段代码中,第一行new了一个数组出来,这个数据占用的大小为n,这段代码的2-6行,虽然有循环,但没有再分配新的空间。因此,这段代码的空间复杂度主要看第一行即可,即 S(n) = O(n)。
字符串
字符串或串(String)是由数字、字母、下划线组成的一串字符。一般记为 s=“a1a2···an”(n>=0)。它是编程语言中表示文本的数据类型。在程序设计中,字符串(string)为符号或数值的一个连续序列,如符号串(一串字符)或二进制数字串(一串二进制数字)。
这个不多说了,敲代码的都懂:一切皆可字符串。
数组
所谓数组,是有序的元素序列。若将有限个类型相同的变量的集合命名,那么这个名称为数组名。组成数组的各个变量称为数组的分量,也称为数组的元素,有时也称为下标变量。用于区分数组的各个元素的数字编号称为下标。
在 C 语言中,数组可分为一维数组、二维数组、多维数组等。而涉及到怎么创建数组这边就不细讲了,因为各个语言的的申明方法以及使用方法都不太相同。
二维数组结构图

举例
1、int a[10]; 说明整型数组a,有10个元素。若要表示第10个元素,则使用a[9]。第一个则是a[0]。
2、float b[10],c[20]; 说明实型数组b,有10个元素,实型数组c,有20个元素。
3、char ch[20]; 说明字符数组ch,有20个元素。
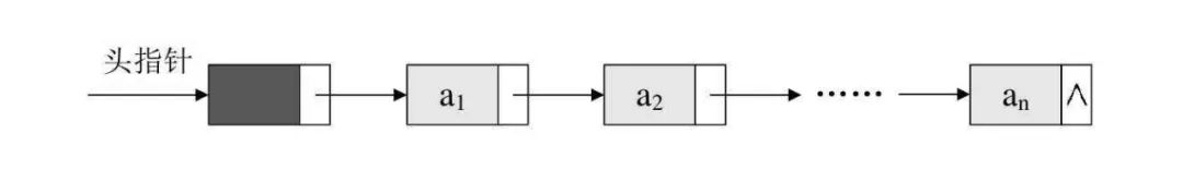
链表(Node)
链表是一种物理存储单元上非连续、非顺序的存储结构,数据元素的逻辑顺序是通过链表中的指针链接次序实现的。链表由一系列结点(链表中每一个元素称为结点)组成,结点可以在运行时动态生成。每个结点包括两个部分:一个是存储数据元素的数据域,另一个是存储下一个结点地址的指针域。
链表是我们比较常用的数据结构,如果在编程的过程中,需要进行频繁 增&删 操作的,优先使用链式存储结构。链表分为我们常见的单链表,还有双链表以及循环链表。
单链表结构体
typedef struct LNode{
int data; //data中存放结点数据域(默认是int型)
struct LNode *next; //指向后继结点的指针}LNode;单链表结构图


栈(Stack)
栈作为一种数据结构,是一种只能在一端进行插入和删除操作的特殊线性表。它按照先进后出的原则存储数据,先进入的数据被压入栈底,最后的数据在栈顶,需要读数据的时候从栈顶开始弹出数据(最后一个数据被第一个读出来)。
栈具有记忆作用,对栈的插入与删除操作中,不需要改变栈底指针。栈是一种先进后出的的数据结构,有入栈和入栈两种常见操作。
结构体
typedef struct Stack{ // 栈
PNODE pTop;
PNODE pBottom;
}STACK,*PSTACK;结构图

队列(Queue)
队列是一种特殊的线性表,特殊之处在于它只允许在表的前端(front)进行删除操作,而在表的后端(rear)进行插入操作,和栈一样,队列是一种操作受限制的线性表。进行插入操作的端称为队尾,进行删除操作的端称为队头。队列中没有元素时,称为空队列。
队列是一种先进先出的的数据结构,有入队和出队两种常见操作,一般有顺序队列,双向队列,循环队列。
结构体
typedef struct{
ELemType data[MaxSize];
int front, rear;
}SqQueue;结构图

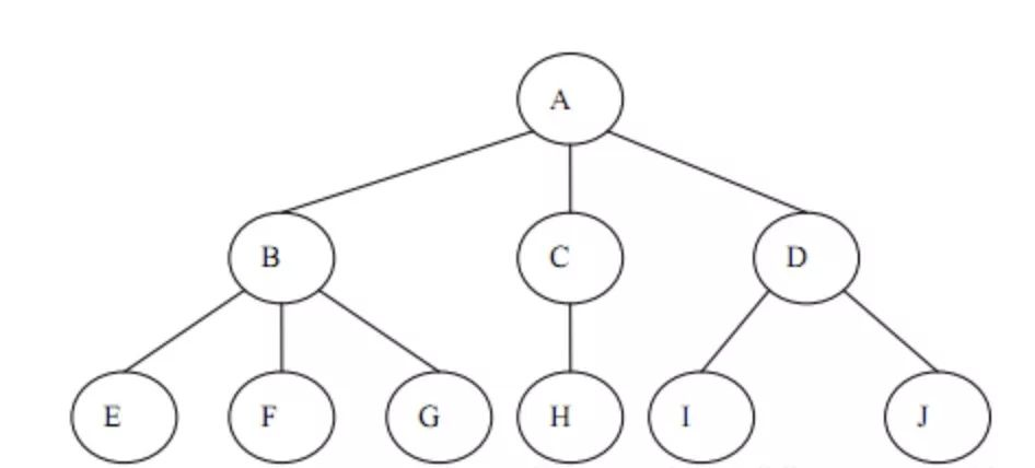
树
它是由n(n>=1)个有限结点组成一个具有层次关系的集合。把它叫做“树”是因为它看起来像一棵倒挂的树,也就是说它是根朝上,而叶朝下的。
树是一个大类,树下面又分 二叉树,平衡二叉树,AVL 树,字典树,哈夫曼树,红黑树,b 树等,考到最多的是二叉树与红黑树。
结构体
下图是二叉树的结构体定义。
typedef struct TNode{
TElemType data;
struct TNode *lchild,*rchild;
}TNode,*Tree;二叉树结构图

图(Graph)
图是由顶点的有穷非空集合和顶点之间边的集合组成, 通常表示为: G(V,E), 其中,G表示一个图,V是图G中顶点的集合,E是图G中边的集合。
一个图就是一些顶点的集合,这些顶点通过一系列边结对(连接)。顶点用圆圈表示,边就是这些圆圈之间的连线。顶点之间通过边连接。顶点有时也称为节点或者交点,边有时也称为链接。
结构图

二、算法和数据操作
粗略地讲了下数据结构的理论,终于要进入正餐了。算法题大致分为以下几大类。还有一些小类,比如位运算、回溯算法等就不一一举例了。
查找
查找也可以叫做搜索,这是算法分类里面最最最普通的一个模块,查找分为 线性查找、数表查找、哈希查找。

掌握程度:查找类型的题目较为丰富,每一种数据结构都有自己的查找类型的经典算法,比如 数组对应的最小值/最大值查找、字符串对应的关键字查找、链表对应的回环判断等、树对应的深度/广度优先,二叉树对应的 前/中/后 遍历,最 小/大 堆查找 。这些本质是都是和查找算法相关的。
排序
说到排序,大家应该都非常熟悉了。排序分为内排序和外排序,因为外排序的出现频率较低,这边只进行内排序的分析。我们常见的选择、冒泡、快排均属于内排序。

具体的算法可以搜索百度。掌握程度:除了基数排序和希尔排序,其他几个排序算法均需要可以默写算法的程度,接着要进行实战操作,刷完下面的这些题目,对排序算法会有个清晰的理解。
推荐范例:
https://leetcode.com/tag/sort/
递归
讲到递归的时候,我们在使用的过程中,特别要对递归终止的条件有个清晰的把握,不然很容易陷入死循环当中
掌握程度:链接里面的就 14 道题目,我们建议全部刷一遍。值得注意的是,递归的题目一般来说会有多种解法。
推荐范例:
https://leetcode-cn.com/tag/recursion/
动态规划
动态规划,又名DP算法(取自其Dynamic Programming的缩写)。它最初是运筹学的一个分支,用来求解决策过程最优化的数学方法。
动态规划常常适用于有重叠子问题和最优子结构性质的问题。该方法所耗时间往往远少于朴素解法。
动态规划背后的基本思想非常简单。大致上,若要解一个给定问题,我们需要解其不同部分的问题(即子问题),再根据子问题的解来得出原问题的解。动态规划往往用于优化递归问题,例如斐波那契数列。如果我们运用递归的方式来求解会重复计算很多相同的子问题,而用动态规划的思想则可以减少很多计算量。比如我们常见的爬楼梯的问题(https://blog.csdn.net/xiaoyyidiaodiao/article/details/73621545),但需要注意这个问题一般有多种解法。
掌握程度: 这类问题的相似度非常高,希望大家可以达到触类旁通的境界
推荐范例:
买卖股票的最佳时机
https://leetcode-cn.com/problems/best-time-to-buy-and-sell-stock/
爬楼梯
https://leetcode-cn.com/classic/problems/climbing-stairs/description/
贪心算法
贪心算法(又称贪婪算法)是指在对问题求解时,总是做出在当前看来是最好的选择。也就是说,它不从整体最优上加以考虑,所做出的是在某种意义上的局部最优解。比如我们常见的爬楼梯问题。
掌握程度: 如果不是面试算法工程师的话,建议刷完 10 道相对简单的题目即可。
推荐范例:贪心算法范例
https://leetcode-cn.com/tag/greedy
图
图这块知识相对比较深奥,如果不是从事这方面研究的,我们掌握理论和一些经典的算法即可。比如 普利姆算法,克鲁斯卡尔算法等,这些都是非常经典的算法。我们需要知道经典算法的设计逻辑以及优缺点。

掌握程度: 熟悉各类存储结构,精通经典算法的实现思路
推荐范例:图算法的范例
https://leetcode-cn.com/tag/graph/
三、LeetCode 正确的打开方式
大家有没有发现上个章节频繁的出现了 LeetCode 这个字眼,那么这个网站到底是什么呢?在介绍之前还得和大家说下怎么做好题目练习吗。练题网站有力扣 (LeetCode 中文版)、清华 ACM、浙大 ACM。
这几个网站算法学习生态圈都比较稳定,LeetCode 也是其中的一种,我们推荐用力扣(力扣的小编看到的话记得给我们加个鸡腿)。这是一个宝藏网站,里面的内容非常多,大家感兴趣的话可以深入研究下。

这上面的题目一共 有1117 道。我们可以从不同的维度去刷题,比如难易度、问题分类、通过率等。我们推荐根据数据结构的分类来做练习题。比如你今天学了二叉树,那么打开 LeetCode,耗时 2 天做十道简单题的二叉树即可。按照这种思路,差不多 1 个月即可完成上述所描述的题目。



以上经验供大家参考。通过这个网站的可视化界面,可以较直观地对自己的学习有个回顾。推荐使用 C 语言,因为 C 语言更接近底层,编译速度会快那么零点几毫秒。别小看几毫秒的时间哦,因为在 LeetCode 上,算法耗时的最小单位是 1 毫秒。差一毫秒可是差别巨大的!

如果你写的算法仅战胜了 40%的提交记录,我们建议你重写提交下。算法魅力就在于此,毫秒必争!一个好的算法可以让程序的编译速度成几何倍速的增加。也可以直接点击柱状图,会有当前算法耗时的最优算法解。

前面说了一些 LeetCode 的东西,在实际开发过程中,我们安利大家一个 IDEA 的 LeetCode 的插件,名字就叫 leetcode 。使用这个小插件,可以帮助我们快速编译所写的 demo。编写的算法可以直接在编译器里测试 & 提交。
leetcode:
https://github.com/shuzijun/leetcode-editor

杂谈
说个现实的问题,除非是算法工程师,大家在开发的过程中极少用到算法的,那是不是反向推论算法仅是停留在做题&面试,仅需要应付面试即可了?那是不是只要疯狂刷题就可以了!!!
但我们还是建议大家在理论的基础上加以实践,并希望大家可以更深入地学习数据结构与算法,这会帮助我们加深对计算机运行的理解。
个人练习题库,我们比较推荐:
https://github.com/LiuLei0571/LeetCode
书籍我们推荐:《算法 4 》、《漫画算法》、《大话设计模式》、《大话数据结构》、《剑指 offer》。
彩蛋
感谢各位看官阅读到最后,你们的支持是我们创作的源泉。最后给大家出一道我们在实际开发中遇到的算法问题。
有以下一个 json 字符串,编写一个算法测试此 json 是否有回路。action_chains 里面有若干个动作,入口动作是 actionid=1,接着去执行下一个动作,下一个动作的 actionid 是上一个动作的 do 参数,出口是 actionid=100。
{
"action_chains": [
{
"actionid": "1",
"do": "2"
},
{
"actionid": "2",
"do": "3"
},
{
"actionid": "3",
"do": "4"
},
{
"actionid": "4",
"do": "5"
},
{
"actionid": "5"
}
]
}