33-广度优先搜索(Breadth First Search)

485 阅读4分钟

广度优先搜索(Breadth First Search)

在前面介绍的数据结构中,其实也有用到过类似于广度优先搜索的这种算法,二叉树层序遍历就是一种广度优先搜索

那再图里面,应该如何来遍历呢?

无向图

假设现在有如下的无向图

要对图中所有的顶点进行遍历,其实与二叉树的层序遍历很相似,都是一层一层的进行遍历的。假设现在从顶点A开始遍历,A在第一层,A能直接访问的在第二层,那么第二层能直接访问到的在第三层,第三层能直接访问到的在第四层。所以最终每一层的顶点元素如下。不过需要注意,由于是无向图,所以会出现这种情况B能访问到G,但是G也能访问到B,所以在遍历是需要注意,已经遍历过的顶点,不能再进行遍历。

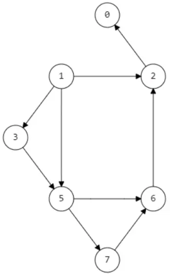
有向图

如果现在遍历的是如下图所示的有向图,在有向图中,需要考虑的是,有没有该方向的线能访问到下一层的元素,例如从0出发,只能访问到1和4,虽然与2之间有线,但是方向不对,所以0不能直接访问到2

假设现在是一起点为0开始广度优先搜索,0能直接访问到的顶点是1和4,所以1和4在第二层,第二层能直接访问到的是2,6,7,所以2,6,7在第三层,以第三层顶点向下访问,能访问到的顶点只有5,所以5在第四层,最终以第四层向下访问的顶点是3,所以3在第五层。所以每一层元素如下

另外还有一些注意点需要注意,例如上图的有向图,从不同节点出发,最终遍历的结果是不一样的,假设现在以7为起点进行广度优先搜索的话, 最终只能访问到顶点7,其余顶点都无法访问,所以在选在遍历起点时,也需要特别的注意。而且还有可能存在某些节点,永远无法遍历的情况,例如如下的有向图

无论如何访问,都无法遍历到顶点1和顶点3。

广度优先搜索-实现思路

回顾前面介绍二叉树的程序遍历时,最终是通过队列来进行实现的。其实在对图进行广度优先搜索时,也可以利用队列的方式来实现。就拿上面的图详图来说

在对每个顶点进行访问时,都是先将顶点放入队列中,然后再将顶点从队列中取出来,并且将顶点能直接访问到的顶点,继续放入队列中,所以搜索访问流程如下

  1. 首先,将A入队,然后再将A取出来进行访问
  2. 对A进行访问后,再将A能直接访问到的B,F进行入队,然后再对B出队进行访问
  3. 对B进行访问后,在将B能直接访问的C,I,G进行入队,然后将队头元素F进行出队访问
  4. 对F进行访问后,在将F能直接访问到的A,G,E入队,但是由于A,G已经入队过,所以只将E进行入队,并且将C进行出队访问
  5. 对C进行访问后,将C能直接访问到的D进行入队,同时再将I进行出队访问
  6. 对I进行访问后,由于I能抵达的B,C,D都已经入队过,所以不需要再入队,所以只需要将队头元素G取出,进行访问
  7. 对H进行访问后,G能访问到的所有顶点中,左右H没有被加入队列,所以将H进行入队,然后将队头E进行出队访问
  8. 对E进行访问后,由于所有顶点都已经入队,所以不需要再入队顶点,只需要价格队头元素取D出来进行访问即可
  9. 对D进行访问后,同样所有顶点都已经入队,所以不需要再入队顶点,只需要价格队头元素取H出来进行访问即可
  10. 对H进行访问后,队列中已经没有顶点,所以搜索结束

通过观察可以发现,在从队列中取出顶点的顺序,恰好就是广度优先搜索的顺序

所以通过上面的分析逻辑,最终可以得到搜索的实现如下

public void breadthFirstSearch(V begin) {
    Vertex beginVertex = vertices.get(begin);
    Set<Vertex<V,E>> visitedVertices = new HashSet<>();
    if (beginVertex == null) return;
    Queue<Vertex<V,E>> queue = new LinkedList<ListGraph.Vertex<V,E>>();
    queue.offer(beginVertex);
    visitedVertices.add(beginVertex);
    while (!queue.isEmpty()) {
        Vertex<V,E> vertex = queue.poll();
        System.out.println(vertex.value);
        for (Edge<V,E> edge: vertex.outEdges) {
            if (visitedVertices.contains(edge.to)) continue;
            queue.offer(edge.to);
            visitedVertices.add(edge.to);
        }
    }
}

demo下载地址

完!