为什么QQ能帮你找到失散多年的兄弟?----图论

642 阅读3分钟

编程三分钟的第 44 篇原创文章

file
为什么qq里“可能认识的人”功能推荐的如此精准? 为什么两个没有什么联系的朋友会相互认识?
一切的背后到底是道德的沦丧,还是人性的扭曲 ? 让我们走进图的内心世界!
file

什么是图?

微信好友之间的关系像一张巨大的网络,朋友的朋友可能是自己的朋友,所以用一种叫 图 的数据结构储存起来,元素和元素之间都可能发生关系。

file

下面要开始干货了!非战斗成员请撤离,图有两种有向图和无向图,唯一的区别就是有木有箭头,是不是看起来很像关系网。

file
file
来说说它的细节

file
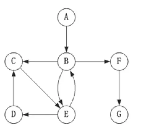
图上的东西全都有名字,圆圈 圈着字母叫 顶点,是最基本的组成元素。

file

连接各个顶点的线就是 边,图 可以没有 边,但是不能没有 顶点 。连接某个顶点的边数量叫做这个顶点的 度。比如上图中的 C 有三个度。

file

有向图多一个概念,那就是出度,入度。比如 C 顶点,有两个箭头指向自己,一个箭头指出来,就是两 入度,一 出度。

file

如何存储图

经过我精彩的表达,想必你肯定知道了图的基本概念,作为一个技术人员,刨根问底才是我们的特色。 有没有想过长的这么疯狂的一个数据结构,他是怎么存的?

file

因为要表现出来每个顶点都有可能指向其他顶点,所以有两种常见的储存方式,二维数组 和 邻接表。

使用邻接矩阵(二维数组)存储

下面就是非常明显的二维数组存储图的例子。

file

上图是 8 * 8 的二维数组,竖着和横着都是各个 顶点,比如 开发 、设计 、工程 都是顶点。 每一行都代表当前这个人对其他 8 个人的看法(包括自己),在图里就只有 有关系 和 没关系 两种看法而已。

例如上图, A - G 共 7 个顶点,所以需要 7 * 7 的二维数组。 横坐标代表着当前的节点,纵坐标代表当前节点和其他节点的关系,加入当前节点有 出度,那么当前的值就为 1 ,入度不管,拆解如下:

- A B C D E F G
A 0 1 0 0 0 0 0
B 0 0 1 0 1 1 0
C 0 0 0 0 1 0 0
D 0 0 1 0 0 0 0
E 0 1 0 1 0 0 0
F 0 0 0 0 0 0 1
G 0 0 0 0 0 0 0

头发少叫头发稀疏,1 少就叫 稀疏矩阵,指的就是图的各个顶点之间的联系很少,存了没意义的 0 ,使得大量的二维数组数组空间被浪费。

使用邻接表(链表)存储

file
如上面的 图,对其使用 链表 来存储,略像哈希表,每行都是一个节点,每列也只存储这个节点的所有 出度。

file

两种存储方式的比较

我们要根据不同的情况来决定不同的存储数据结构:

  1. 数组:浪费空间,但是速度快。适合处理数据不大的,只要数据不大,优先选用数组
  2. 链表:节省空间,但是速度慢。数据大的时候,使用邻接表(链表来存储)

推荐阅读:

我偷偷挖了一条网络隧道,差点被公司激活

每天三分钟玩转Git(完结)

promethus与监控系统

file
点此了解并加入编程大队,编程大队,nb !!

本文由博客一文多发平台 OpenWrite 发布!