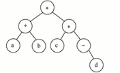
中序遍历表示中缀表达式
void BtreeToE(Btree *root)
{
btreeToExp(root,1);
}
void BtreeToExp(Btree *root,int deep)
{
if (root==null)
return; //空结点返回
if(root->left==null&&root->right==null)//若为叶子结点
printf("&s",root->data);//输出操作数,不加括号
else{
if(deep>1) printf("(");//若有表达子式则加 1层括号
BtreeToExp(root->left,deep+1);
printf(“%s”,root->data); //输出操作符
BtreeToExp(root->right,deep+1);
if(deep>1) printf(")"); //若有表达子式则加 1层括号
}
}
