机器学习之梯度下降法

1,033 阅读15分钟

一. 前言:机器学习方法论

我们已经学习了分类算法:kNN算法,回归算法:线性回归

机器学习就是需找一种函数f(x)并进行优化, 且这种函数能够做预测、分类、生成等工作。

那么其实可以总结出关于“如何找到函数f(x)”的方法论。可以看作是机器学习的“三板斧”:

  1. 第一步:定义一个函数集合(define a function set)
  2. 第二步:判断函数的好坏(goodness of a function)
  3. 第三步:选择最好的函数(pick the best one)

我们先把目光放在第三步上:How to pick the best one ? 我们的目标是让损失函数最小化。这就引出了下面需要介绍的方法:梯度下降是目前机器学习、深度学习解决最优化问题的算法中,最核心、应用最广的方法。

二. 为什么需要梯度下降算法

如果我们抛开具体场景,仅从数学抽象的角度来看:每个模型都有自己的损失函数,不管是监督式学习还是非监督式学习。损失函数包含了若干个位置的模型参数,比如在多元线性回归中,损失函数: ,其中向量表示未知的模型参数,我们就是要找到使损失函数尽可能小的参数未知模型参数

在学习简单线性回归时,我们使用最小二乘法来求损失函数的最小值,但是这只是一个特例。在绝大多数的情况下,损失函数是很复杂的(比如逻辑回归),根本无法得到参数估计值的表达式。因此需要一种对大多数函数都适用的方法。这就引出了“梯度算法”。

我们先了解一下梯度下降是用来做什么的?

首先梯度下降(Gradient Descent, GD),不是一个机器学习算法,而是一种基于搜索的最优化方法。梯度下降(Gradient Descent, GD)优化算法,其作用是用来对原始模型的损失函数进行优化,以便寻找到最优的参数,使得损失函数的值最小。

要找到使损失函数最小化的参数,如果纯粹靠试错搜索,比如随机选择1000个值,依次作为某个参数的值,得到1000个损失值,选择其中那个让损失值最小的值,作为最优的参数值,那这样太笨了。我们需要更聪明的算法,从损失值出发,去更新参数,且要大幅降低计算次数

梯度下降算法作为一个聪明很多的算法,抓住了参数与损失值之间的导数,也就是能够计算梯度(gradient),通过导数告诉我们此时此刻某参数应该朝什么方向,以怎样的速度运动,能安全高效降低损失值,朝最小损失值靠拢。

三. 什么是梯度

简单地来说,多元函数的导数(derivative)就是梯度(gradient),分别对每个变量进行微分,然后用逗号分割开,梯度是用括号包括起来,说明梯度其实一个向量,我们说损失函数L的梯度为:

我们知道导数就是变化率。梯度是向量,和参数维度一样

假设,我们有一个二元函数

。那么f的梯度为:

例如在点(1,2),梯度∇f的取值为:

那么这个梯度有什么用呢?

在单变量的函数中,梯度其实就是函数的微分,代表着函数在某个给定点的切线的斜率 在多变量函数中,梯度是一个向量,向量有方向,梯度的方向就指出了函数在给定点的上升最快的方向

梯度指向误差值增加最快的方向,导数为0(梯度为0向量)的点,就是优化问题的解。在上面的二元函数中,点(1,2)向着(4,2)的方向就是梯度方向 为了找到这个解,我们沿着梯度的反方向进行线性搜索,从而减少误差值。每次搜索的步长为某个特定的数值,直到梯度与0向量非常接近为止。更新的点是所有点的x梯度,所有点的y梯度

四. 理解梯度下降算法

很多求解最优化问题的方法,大多源自于模拟生活中的某个过程。比如模拟生物繁殖,得到遗传算法。模拟钢铁冶炼的冷却过程,得到退火算法。其实梯度下降算法就是模拟滚动,或者下山,在数学上可以通过函数的导数来达到这个模拟的效果。

梯度下降算法是一种思想,没有严格的定义。

4.1 场景假设

梯度下降就是从群山中山顶找一条最短的路走到山谷最低的地方。

既然是选择一个方向下山,那么这个方向怎么选?每次该怎么走?选方向在算法中是以随机方式给出的,这也是造成有时候走不到真正最低点的原因。如果选定了方向,以后每走一步,都是选择最陡的方向,直到最低点。

总结起来就一句话:随机选择一个方向,然后每次迈步都选择最陡的方向,直到这个方向上能达到的最低点

梯度下降法的基本思想可以类比为一个下山的过程。假设这样一个场景:

一个人被困在山上,需要从山顶到山谷。但此时雾很大,看不清下山的路径。他必须利用自己周围的信息去找到下山的路径。这个时候,他就可以利用梯度下降算法来帮助自己下山。具体来说就是,以他当前的所处的位置为基准,随机选择一个方向,然后每次迈步都选择最陡的方向。然后每走一段距离,都反复采用同一个方法:如果发现脚下的路是下坡,就顺着最陡的方向走一步,如果发现脚下的路是上坡,就逆着方向走一步,最后就能成功的抵达山谷。

4.2 数学推导

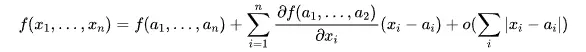
从数学的角度出发,针对损失函数L,假设选取的初始点为;现在将这个点稍微移动一点点,得到。那么根据泰勒展开式(多元函数的一阶展开式):

设我们移动的“一点点”为 ,则我们可以得到,将泰勒展开式代入其中,我们则得到:

如果我们令移动的距离分别为: ,其中规定,则可以得到:

这就说明,我们如果按照规定的移动距离公式移动参数,那么损失函数的函数值始终是下降的,这样就达到了我们要求的“损失变小”的要求了。如果一直重复这种移动,则可以证明损失函数最终能够达到一个最小值

那么我们就可以得到损失函数值(也就是下一步的落脚点)的迭代公式:

针对于上述公式,有一些常见的问题:

为什么要梯度要乘以一个负号?

我们已经知道:梯度的方向就是损失函数值在此点上升最快的方向,是损失增大的区域,而我们要使损失最小,因此就要逆着梯度方向走,自然就是负的梯度的方向,所以此处需要加上负号

关于参数 :

我们已经知道,梯度对应的是下山的方向,而参数 对应的是步伐的长度。在学术上,我们称之为“学习率”(learning rate),是模型训练时的一个很重要的超参数,能直接影响算法的正确性和效率

  • 首先,学习率不能太大。因此从数学角度上来说,一阶泰勒公式只是一个近似的公式,只有在学习率很小,也就是很小时才成立。并且从直观上来说,如果学习率太大,那么有可能会“迈过”最低点,从而发生“摇摆”的现象(不收敛),无法得到最低点
  • 其次,学习率又不能太小。如果太小,会导致每次迭代时,参数几乎不变化,收敛学习速度变慢,使得算法的效率降低,需要很长时间才能达到最低点。

4.3 致命问题

梯度算法有一个比较致命的问题:

从理论上,它只能保证达到局部最低点,而非全局最低点。在很多复杂函数中有很多极小值点,我们使用梯度下降法只能得到局部最优解,而不能得到全局最优解。那么对应的解决方案如下:首先随机产生多个初始参数集,即多组;然后分别对每个初始参数集使用梯度下降法,直到函数值收敛于某个值;最后从这些值中找出最小值,这个找到的最小值被当作函数的最小值。当然这种方式不一定能找到全局最优解,但是起码能找到较好的。

对于梯度下降来说,初始点的位置,也是一个超参数。

五. 总结

在机器学习的“三板斧”中,第三步的目标是让损失函数最小化,从而引出了梯度下降法,这一目前机器学习、深度学习解决最优化问题的算法中,最核心、应用最广的方法。所谓梯度下降,是一种基于搜索的最优化方法,其作用是用来对原始模型的损失函数进行优化,找到使损失函数(局部)最小的参数。

首先对梯度下降有一个整体的印象:梯度是向量,是多元函数的导数,指向误差值增加最快的方向。我们沿着梯度的反方向进行线性搜索,从而减少误差值,是为梯度下降。然后我们通过“下山”这样的模拟场景,以及严谨的数据公式推导深刻理解了梯度下降算法,并引出了学习率的概念。最后我们给出了梯度下降方法的不足和改进方法。

六. 手动实现梯度下降(可视化)

从python求导开始,一步一步封装好梯度下降函数,并且进行调参,观察学习率对结果的影响,最后可视化的展现出来。

七. 导数的实现

python中有两种常见求导的方法,一种是使用Scipy库中的derivative方法,另一种就Sympy库中的diff方法。

1.1 Scipy

scipy.misc.derivative(func, x0, dx=1.0, n=1, args=(), order=3)[source]

在一个点上找到函数的第n个导数。即给定一个函数,请使用间距为dx的中心差分公式来计算x0处的第n个导数。

参数:

  • func:需要求导的函数,只写参数名即可,不要写括号,否则会报错
  • x0:要求导的那个点,float类型
  • dx(可选):间距,应该是一个很小的数,float类型
  • n(可选):n阶导数。默认值为1,int类型
  • args(可选):参数元组
  • order(可选):使用的点数必须是奇数,int类型

求一阶导数的例子:

def f(x):
    return x**3 + x**2
derivative(f, 1.0, dx=1e-6)
输出:
4.999999999921734

1.2 Sympy表达式求导

sympy是符号化运算库,能够实现表达式的求导。所谓符号化,是将数学公式以直观符号的形式输出。下面看几个例子就明白了。

from sympy import *
import sympy as sy

# 符号化变量
x = sy.Symbol('x')

func = 1/(1+x**2)

print("x:", type(x))
print(func)
print(diff(func, x))
print(diff(func, x).subs(x, 3))
print(diff(func, x).subs(x, 3).evalf())


x: <class 'sympy.core.symbol.Symbol'>
1/(x**2 + 1)
-2*x/(x**2 + 1)**2
-3/50
-0.0600000000000000

博客https://www.cnblogs.com/zyg123/ 中有更多关于Sympy的相关文章。

八. 模拟实现梯度下降

2.1 封装函数

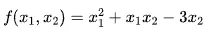
首先构造一个损失函数 ,然后创建在-1到6的范围内构建140个点,并且求出对应的损失函数值,这样就可以画出损失函数的图形。


import numpy as np
import matplotlib.pyplot as plt
from scipy.misc import derivative

def lossFunction(x):
    return (x-2.5)**2-1

# 在-1到6的范围内构建140个点
plot_x = np.linspace(-1,6,141)
# plot_y 是对应的损失函数值
plot_y = lossFunction(plot_x)

plt.plot(plot_x,plot_y)
plt.show()

已知梯度下降的本质是多元函数的导数,这了定义一个求导的方法,使用的是scipy库中的derivative方法。


"""
算法:计算损失函数J在当前点的对应导数
输入:当前数据点theta
输出:点在损失函数上的导数
"""
def dLF(theta):
    return derivative(lossFunction, theta, dx=1e-6)

接下来我们就可以进行梯度下降的操作了。首先我们需要定义一个点 作为初始值,正常应该是随机的点,但是这里先直接定为0。然后需要定义学习率 ,也就是每次下降的步长。这样的话,点 每次沿着梯度的反方向移动 距离,即 ,然后循环这一下降过程。

那么还有一个问题:如何结束循环呢?梯度下降的目的是找到一个点,使得损失函数值最小,因为梯度是不断下降的,所以新的点对应的损失函数值在不断减小,但是差值会越来越小,因此我们可以设定一个非常小的数作为阈值,如果说损失函数的差值减小到比阈值还小,我们就认为已经找到了。

def dLF(theta):
    return derivative(lossFunction, theta, dx=1e-6)

theta = 0.0
eta = 0.1
epsilon = 1e-6
while True:
    # 每一轮循环后,要求当前这个点的梯度是多少
    gradient = dLF(theta)
    last_theta = theta
    # 移动点,沿梯度的反方向移动步长eta
    theta = theta - eta * gradient
    # 判断theta是否达到最小值
    # 因为梯度在不断下降,因此新theta的损失函数在不断减小
    # 看差值是否达到了要求
    if(abs(lossFunction(theta) - lossFunction(last_theta)) < epsilon):
        break
print(theta)
print(lossFunction(theta))


2.498732349398569
-0.9999983930619527

下面可以创建一个用于存放所有点位置的列表,然后将其在图上绘制出来。

为了方便测试,可以将其封装成函数进行调用。


def gradient_descent(initial_theta, eta, epsilon=1e-6):
    theta = initial_theta
    theta_history.append(theta)
    while True:
        # 每一轮循环后,要求当前这个点的梯度是多少
        gradient = dLF(theta)
        last_theta = theta
        # 移动点,沿梯度的反方向移动步长eta
        theta = theta - eta * gradient
        theta_history.append(theta)
        # 判断theta是否达到损失函数最小值的位置
        if(abs(lossFunction(theta) - lossFunction(last_theta)) < epsilon):
            break

def plot_theta_history():
    plt.plot(plot_x,plot_y)
    plt.plot(np.array(theta_history), lossFunction(np.array(theta_history)), color='red', marker='o')
    plt.show()

2.2 调整学习率

首先使用学习率 进行观察:

eta=0.1
theta_history = []
gradient_descent(0., eta)
plot_theta_history()
print("梯度下降查找次数:",len(theta_history))


D:\gongju\anaconda3\python.exe E:/python/ml/part05/03.py
梯度下降查找次数: 35

Process finished with exit code 0

我们发现,在刚开始时移动比较大,这是因为学习率是一定的,再乘上梯度本身数值大(比较陡),后来梯度数值小(平缓)所以移动的比较小。且经历了34次查找。

使用使用学习率 进行观察:


eta=0.01
theta_history = []
gradient_descent(0., eta)
plot_theta_history()
print("梯度下降查找次数:",len(theta_history))


D:\gongju\anaconda3\python.exe E:/python/ml/part05/03.py
梯度下降查找次数: 310

Process finished with exit code 0

可见学习率变低了,每一步都很小,因此需要花费更多的步数。如果我们将学习率调大,会发生什么?


eta=0.9
theta_history = []
gradient_descent(0., eta)
plot_theta_history()
print("梯度下降查找次数:",len(theta_history))

D:\gongju\anaconda3\python.exe E:/python/ml/part05/03.py
梯度下降查找次数: 35

Process finished with exit code 0

可见在一定范围内将学习率调大,还是会逐渐收敛的。但是我们要注意,如果学习率调的过大, 一步迈到“损失函数值增加”的点上去了,在错误的道路上越走越远(如下图所示),就会导致不收敛,会报OverflowError的异常。

为了避免报错,可以对原代码进行改进:

  • 在计算损失函数值时捕获一场
def lossFunction(x):
    try:
        return (x-2.5)**2-1
    except:
        return float('inf')
  • 设定条件,结束死循环

def gradient_descent(initial_theta, eta, n_iters, epsilon=1e-6):
    theta = initial_theta
    theta_history.append(theta)
    i_iters = 0
    while i_iters < n_iters:
        gradient = dLF(theta)
        last_theta = theta
        theta = theta - eta * gradient
        theta_history.append(theta)
        if(abs(lossFunction(theta) - lossFunction(last_theta)) < epsilon):
            break
        i_iters += 1

九. 总结

梯度是向量,求梯度就要求导数。在python中,除了自己手动计算以外,还有两个常用的求导方法:Scipy & Sympy。

在求出导数之后就可以模拟梯度下降的过程编写代码了,这里面还要注意退出循环的条件。当学习率过小,收敛学习速度变慢,使得算法的效率降低;学习率过大又会导致不收敛,在“错误的道路上”越走越远。我们要对异常进行进行处理。

这样,我们就手动实现了梯度下降算法。

十. 随机梯度下降法

import numpy as np
import math

__author__ = 'zhen'
# 生成测试数据
x = 2 * np.random.rand(100, 1)  # 随机生成100*1的二维数组,值分别在0~2之间

y = 4 + 3 * x + np.random.randn(100, 1)  # 随机生成100*1的二维数组,值分别在4~11之间

x_b = np.c_[np.ones((100, 1)), x]
print("x矩阵内容如下:\n{}".format(x_b[0:3]))
n_epochs = 100
t0, t1 = 1, 10

m = n_epochs
def learning_schedule(t):  # 模拟实现动态修改步长
    return t0 / (t + t1)

theta = np.random.randn(2, 1)

for epoch in range(n_epochs):
    for i in range(m):
        random_index = np.random.randint(m)
        x_i = x_b[random_index:random_index+1]
        y_i = y[random_index:random_index+1]
        gradients = 2 * x_i.T.dot(x_i.dot(theta)-y_i)  # 调用公式
        learning_rate = learning_schedule(epoch * m + i)
        theta = theta - learning_rate * gradients

    if epoch % 30 == 0:
        print("抽样查看:\n{}".format(theta))
print("最终结果:\n{}".format(theta))
# 计算误差
error = math.sqrt(math.pow((theta[0][0] - 4), 2) + math.pow((theta[1][0] - 3), 2))
print("误差:\n{}".format(error))

D:\gongju\anaconda3\python.exe E:/python/ml/part05/04.py
x矩阵内容如下:
[[1.         1.46806956]
 [1.         0.69444189]
 [1.         0.28873476]]
抽样查看:
[[3.39142185]
 [3.3627042 ]]
抽样查看:
[[3.83273485]
 [3.10494056]]
抽样查看:
[[3.87518802]
 [3.08478587]]
抽样查看:
[[3.89847047]
 [3.07022989]]
最终结果:
[[3.8966768 ]
 [3.05939313]]
误差:
0.11917729772592711

Process finished with exit code 0