希尔排序(Shell Sort)
希尔排序是唐纳德·希尔(Donald Shell)在0959年提出的。希尔排序与其他的排序算法不一样,非常有意思。
希尔排序是把序列看做是一个矩阵,分成m列,逐列进行排序。
- m从某个整数逐渐减为1
- 当m为1时,整个序列完全有序
你现在看到这些,可能还是很迷糊的,不过不要紧,你现在只需要知道,希尔排序这种算法非常特殊,是将序列分为m列进行逐列排序即可。
由于希尔排序的特性,所以也被称为递减增量排序(Diminishing Increment sort)
另外需要注意,一个矩阵最终会被分为多少列,最终由步长序列决定(step sequence),步长序列简介如下
- 如果步长序列为{1,5,19,41,109,...},则代表着最终的矩阵会被分成109列,41列,19列,5列,1列进行排序
- 不同的步长序列,执行效率不同
所以希尔排序有意思的地方也在于,每个人都可以给出不同的步长序列,并且不同的步长序列,执行的效率也是不同的,所以现在也有很多科学家在研究,能不能有更好的步长序列,来提高排序的性能呢?
实例
希尔本人给出的步长序列是n/2^k;例如n为16时,步长序列是{1,2,4,8},如果是按照这种情况,根据下图的序列,数据规模n的值就位16

根据希尔给出的步长,首先会将序列分为8列进行排序,所以会将序列分为下图所示的8列

进行逐列进行排序后的结果为

由于进行8列排序时,上面一排是原序列中前面8个元素,下面一排是原序列中后面8个元素,进行逐列排序后,在原序列中的结果其实就变为下图这样了

由于步长序列是{1,2,4,8},刚是按照8列进行排序,所以现在再将排序后的序列分为4列进行排序,4列拆分的结果为

拆分后,再将每一列进行排序,最终每一列排序后的结果为

最终,实际在原序列中的结果就是下图这种排列方式

这样之后,再将原序列分为2列进行拆分,最终拆分后的结果为

拆分后,在将每一列进行排序, 最终排序后的结果为

所以,最终实际在原序列中的结果就是下图这种排列方式

最后,再将原序列分为1列进行排序,最终拆分后的结果如下

拆分后,再将该列进行排序,最终排序后的结果为

最终,对应到原序列中的结果如下图

看到这里,可能会想,前面将序列拆分为8,4,2列到底有什么意义呢?当拿到一个序列,我一开始就将序列分为1列不就好了吗?如果最开始就分为一列,那这一列排好了,最终整个序列不就排好了吗。其实横向的一列和纵向的一列,元素排列顺序都是一样的,一开始就将序列分为纵向的一列,其实是没有任何意义的。而且前面分割序列,其实是有意义的,你有没有发现一个特点,每次按照步长,排完一次序以后,逆序对的数量在减少呢?所以,每次根据步长排完一次序后,逆序对的数量都是在逐渐减少的,所以整个流程是有意义的。
因此希尔排序底层一般使用插入排序对每一列进行排序,有很多资料也认为希尔排序是插入排序的改进版。
为什么要使用插入排序呢?在前面介绍插入排序时有介绍到,插入排序是有最好情况的,即这个序列本来就是完全有序时,并且也在插入排序部分有讲到,插入排序的时间复杂度与逆序对的数量成正比关系,即逆序对数量越少,插入排序的时间复杂度越低。
并且从希尔排序可以看出,在不断排序的过程当中,逆序对的数量是在逐渐减少的,所以在这种情况下,就非常适合使用插入排序来对每一列进行排序。
实例2
由于刚刚的示例非常特殊,根据步长,最终得到的每一列元素数量都是一样的,所以现在再举一个不一样的例子。
假设现在有下列的一个序列,其中包含11个元素,步长序列假设为{1,2,5}

所以,在最开始的时候,序列会被分成5列进行排序,所以最终拆分后的结果为

排完序以后的结果为

所以拆分的话就可以进行上图这种拆分,并不需要每一列的元素数量都一样。
那么问题来了,如何对每一列的元素进行排序呢?现在有如下的规律
假设元素在第col列,第row行,步长(总列数)是step
- 那么这个元素在数组中的索引是col + row * step
- 例如上图中的9,现在排在第二列,第0行,那么它排列前的索引是2 + 0 * 5 = 2
- 例如4在排序前处于第二列,第一行,所以它在排序前的索引是2 + 1 * 5 = 7
根据这个结论,最终得到通过步长对每一列进行排序的代码
private void sort(int step) {
//col :表示第几列
for (int col = 0; col < step; col++) {//对第col列进行排序
//col,col + step, col + 2 * step ...
for (int begin = col + step; begin < array.length; begin += step) {
int cur = begin;
while (cur >col && cmp(cur,cur - step) < 0) {
swap(cur,cur - step);
cur -= step;
}
}
}
}
计算步长的代码为
private List<Integer> shellStepSequence() {
List<Integer> stepSequence = new ArrayList<>();
int step = array.length;
while ((step >>= 1) > 0) {
stepSequence.add(step);
}
return stepSequence;
}
最终,遍历步长数组中的每一个元素,就可以对序列进行排序了。那现在可以利用编写好的ShellSort排序算法利用3万组数据与原来的几个排序算法进行比较。

可以发现,ShellSort表现非常优秀,甚至超过了堆排序算法,而且也看到原来的插入排序使用了509毫秒的时间,在ShellSort中,最终只消耗了21毫秒。前面也提到,很多人认为希尔排序是对插入排序的一种改进,是的,从结果中明显可以看出,希尔排序的性能是比插入排序的性能要好的。
步长序列
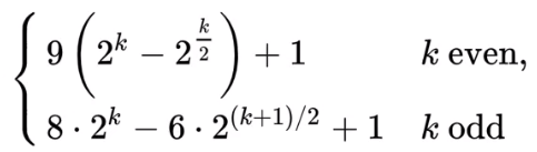
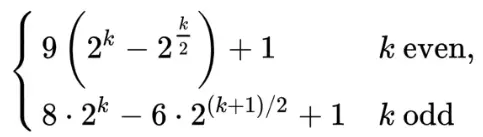
前面也将到,希尔本人给出的步长序列是n/2^k,但是这个步长序列的最坏时间复杂度为O(n^2),但是在后面,有科学家研究出了很多优秀的步长序列,到目前已知的最好步长序列,最坏情况的时间复杂度为O(n(4/3)),是在1986年由Robert Sedgewick提出的[下图]。所以将希尔优化后的话,可以将最坏时间复杂度降低到O(n(4/3))

所以最终优化后的计算步长序列代码为
private List<Integer> sedgewickStepSequence() {
int count = array.length;
List<Integer> stepSequence = new ArrayList<>();
int k = 0,step = 0;
while (true) {
if (k % 2 == 0) {
int pow = (int)Math.pow(2, k>> 1);
step = 1 + 9 * (pow * pow - pow);
} else {
int pow1 = (int)Math.pow(2,(k - 1) >> 1);
int pow2 = (int)Math.pow(2, (k + 1) >> 1);
step = 1 + 8 * pow1 * pow2 - 6 * pow2;
}
if (step >= count) break;
stepSequence.add(0,step);
k++;
}
return stepSequence;
}
复杂度总结
最好时间复杂度:O(n);因为希尔排序底层是使用的插入排序,插入排序的最好时间复杂度为O(n),所以希尔排序也是O(n)
最坏时间复杂度:介于O(n^2)到O(n(4/3))之间
平均时间复杂度:取决于步长;在前面说过,不同的步长序列,执行效率不同,所以平均复杂度依然由步长决定。
空间复杂度:O(1);由于使用的原地排序,没有依赖于额外的存储空间,也没有递归调用,所以空间复杂度为O(1)
最后,希尔排序属于不稳定排序,由于现在的希尔排序是逐列进行排序,所以在demo中的判断方法,是不准确的,只有通过举例的方式来证明。
完!