Python 爬取大众点评 50 页数据,最好吃的成都火锅竟是它!

211 阅读7分钟

前言

文的文字及图片来源于网络,仅供学习、交流使用,不具有任何商业用途,版权归原作者所有,如有问题请及时联系我们以作处理。

作者: 胡萝卜酱

PS:如有需要Python学习资料的小伙伴可以加点击下方链接自行获取

note.youdao.com/noteshare?i…

爬虫

首先笔者定位为成都,美食类型选的“火锅”,火锅具体类型选的不限,区域选的不限,排序选的智能,如图:

在这里插入图片描述
你也可以选择别的选项,只是注意URL的变化。本文都是按照上述选项爬取的数据。接下来翻页观察一下URL的变化:

第二页:

在这里插入图片描述
第三页:
在这里插入图片描述
很容易观察出翻页变化的知识p后面的数字,倒推回第一页,发现一样的显示内容,因此,写一个循环,便可以爬取全部页面。

但是大众点评只提供了前50页的数据,所以,我们也只能爬取前50页。

这一次,笔者用的pyquery来分析网页的,所以我们需要定位到我们所爬取的数据的位置,如图:

在这里插入图片描述
在具体分析的网页的时候,我震惊了,大众点评的反爬做的太过分了,它的数字,一些文字居然都不是明文显示,而是代码,你还不知道怎么分析它。如图:
在这里插入图片描述
很烦的,一些文字又可以显示,一些又用代码表示。一些数字也是,不过好一点的是数字只有9个,只要稍微观察一下,就能发现数字的代码是什么了。这里笔者列出来了。 {'hs-OEEp': 0, 'hs-4Enz': 2, 'hs-GOYR': 3, 'hs-61V1': 4, 'hs-SzzZ': 5, 'hs-VYVW': 6, 'hs-tQlR': 7, 'hs-LNui': 8, 'hs-42CK': 9}。值得注意的是,数字1,是用明文表示的。

那么,如何用pyquery来定位呢,很简单,你找到你要获取的数据,然后右键→copy→cut selector,你复制到代码里面就OK了。pyquery的具体用法百度既有。

在这里插入图片描述
最后,我们获取了火锅50个页面的数据,每页15个数据,一共750家餐厅的数据。
在这里插入图片描述
分析

大众点评已经给出了星级评价,可以看看大致趋势。

在这里插入图片描述
准五星商户最多,可能因为大部分食客都习惯给好评,只有实在不满时才会打出低评有关,造成了评级一般不低,但近满分还是蛮少的。

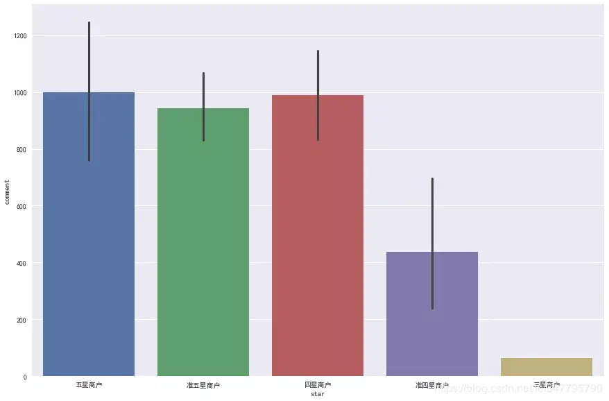
在本文,我们假设评论数目为饭店的热度,也就是它越火,评论数目越多。

在这里插入图片描述
评论数目大多在1000以内,但是高于2000,甚至高于4000也还存在一些,这些饭店应该是一些网红店。以5000为约束,筛选出饭店均为小龙坎、蜀大侠都非常知名的火锅店。那么评论数量和星级有关系吗?看下图:
在这里插入图片描述
这里取其评论数平均值,发现对于四星以上商户来说,评论数和星级并不关系,但均比低于四星的饭店销量更好。这说明在四星以上之后,人们选择差别不大,但一般不愿意接受评论太差的饭店。

对于笔者这样的学生党来说,影响较大还有人均消费情况。

在这里插入图片描述
成都的火锅店人均消费大部分都在50-100的区间内,高于150的也有一些。对于笔者来讲,吃一顿火锅,人均在50-100是可以接受的,高于100,就要低头看看钱包了()。那扩展看,人均消费和星级、评论数量有关系吗?
在这里插入图片描述
上图是人均消费和星级的关系,看起来并无任何关系,那说明一些口碑好的火锅店,其实人均也不贵。下面看看人均和评论数目的关系吧。
在这里插入图片描述
通过比较,发现评论数目低于500,人均在50-100区间是最多的。当然这肯定和评论数量、人均消费本身集中于这一阶段有关。

吃火锅,一家店的生意好坏,肯定还和它的特色菜有关,笔者通过jieba分词,将爬取到的推荐菜做了一个词云图,如下。

在这里插入图片描述
笔者最爱的牛肉是特色菜之最啊,尤其是麻辣牛肉,只要去吃火锅,都要来上一份,其次是毛肚、虾滑、鹅肠等等。

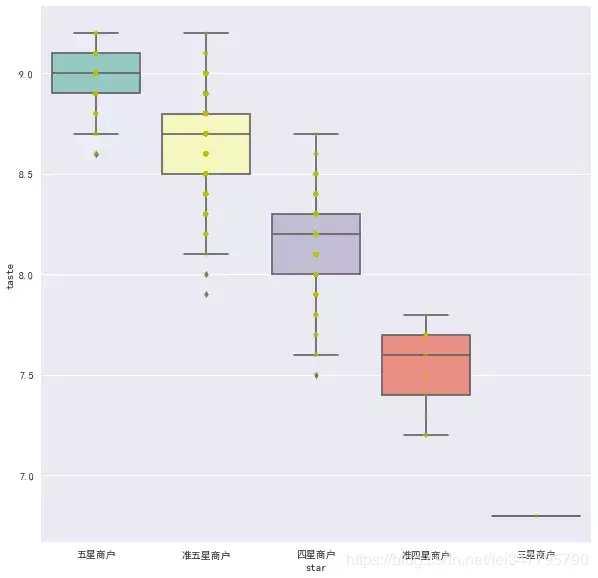
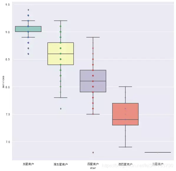
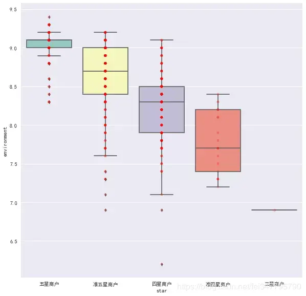
接下来是大家都关心的,口味、环境和服务的情况。

在这里插入图片描述
三者得分大多都是集中在8.0-9.2这一阶段,笔者认为,低于7.5分的饭店还是不要去尝试了。同时,星级评价应该也是由这三者得分产生的。
在这里插入图片描述
在这里插入图片描述
在这里插入图片描述
果然如预想的一向,星级评价越好,它在口味、环境和服务的得分越高。那么口味,环境,服务得分与评论数量,平均价格有关系吗?
在这里插入图片描述
如图所看,并无什么直接关系,但是我们发现口味、环境和服务三者之间存在着非常好的线性关系,于是单独拿出来画了一个较大的图。
在这里插入图片描述
我们并且拟合了线性关系,由于三星商户只有一家,它的情况较为特殊之外,其他星级在口味、环境和服务的关系拟合中保持的相当一致,这也证明我们的猜想,这些变量之间存在线性关系。鉴于笔者本文最大的目的是做推荐,于是,我们进行了K-means聚类,这里取K为3,并且把星级转换为数字,五星对应5分,准五星对应4.5分,以此类推。最终得到了三类,通过作图,看看聚类情况如何吧。
在这里插入图片描述
和我们想要的结果一致,在口味、环境、服务和星级上得分越高,我们就越推荐。然而推荐的店铺还是好多,能不能在集中一些呢?于是通过限制评论数量、人均消费和特色菜来进行推荐。由于笔者喜欢人少,便宜还有牛肉的店铺,这里得到了如下的结果:

在这里插入图片描述

代码

import time
import requests
from pyquery import PyQuery as pq
import pandas as pd

headers = {'User-Agent': 'Mozilla/5.0 (Windows NT 10.0; Win64; x64) AppleWebKit/537.36 (KHTML, like Gecko) Chrome/68.0.3440.106 Safari/537.36'}

def restaurant(url):
    # 获取网页静态源代码
    try:
        response = requests.get(url, headers=headers)
        if response.status_code == 200:
            return response.text
    except Exception:
        return None

name=[]
url = [] 
star = []
comment = []
avg_price = []
taste = []
environment = []
services = []
recommend = []

num = {'hs-OEEp': 0, 'hs-4Enz': 2, 'hs-GOYR': 3, 'hs-61V1': 4, 'hs-SzzZ': 5, 'hs-VYVW': 6, 'hs-tQlR': 7, 'hs-LNui': 8, 'hs-42CK': 9}
def detail_number(htm):
    try:
        a = str(htm)
        a = a.replace('1<', '<span class="1"/><')
        a = a.replace('.', '<span class="."/>')
        b = pq(a)
        cn = b('span').items()
        number = ''
        for i in cn:
            attr = i.attr('class')
            if attr in num:
                attr = num[attr]
            number = number + str(attr)
        number = number.replace('None', '')
    except:
        number = ''
    return number

def info_restaurant(html):
    # 获取饭店的名称和链接
    doc = pq(html)
    for i in range(1,16):
        #获取饭店名称
        shop_name = doc('#shop-all-list > ul > li:nth-child('+str(i)+') > div.txt > div.tit > a:nth-child(1) > h4').text()
        if shop_name == '':
            break
        name.append(shop_name)
        #获取饭店链接
        url.append(doc('#shop-all-list > ul > li:nth-child('+str(i)+') > div.pic > a').attr('href'))
        try:
            star.append(doc('#shop-all-list > ul > li:nth-child('+str(i)+') > div.txt > div.comment > span').attr('title'))
        except:
            star.append("")
        #获取评论数量
        comment_html = doc('#shop-all-list > ul > li:nth-child('+str(i)+') > div.txt > div.comment > a.review-num > b')
        comment.append(detail_number(comment_html))
        #获取人均消费
        avg_price_html = doc('#shop-all-list > ul > li:nth-child('+str(i)+') > div.txt > div.comment > a.mean-price > b')
        avg_price.append(detail_number(avg_price_html))
        #获取口味评分
        taste_html = doc('#shop-all-list > ul > li:nth-child('+str(i)+') > div.txt > span > span:nth-child(1) > b')
        taste.append(detail_number(taste_html))
        #获取环境评分
        environment_html = doc('#shop-all-list > ul > li:nth-child('+str(i)+') > div.txt > span > span:nth-child(2) > b')
        environment.append(detail_number(environment_html))
        #获取服务评分
        services_html = doc('#shop-all-list > ul > li:nth-child('+str(i)+') > div.txt > span > span:nth-child(3) > b')
        services.append(detail_number(services_html))
        #推荐菜,都是显示三道菜
        try:
            recommend.append(doc('#shop-all-list > ul > li:nth-child('+str(i)+') > div.txt > div.recommend > a:nth-child(2)').text()+str(',')+\
                            doc('#shop-all-list > ul > li:nth-child('+str(i)+') > div.txt > div.recommend > a:nth-child(3)').text()+str(',')+\
                            doc('#shop-all-list > ul > li:nth-child('+str(i)+') > div.txt > div.recommend > a:nth-child(4)').text())
        except:
            recommend.append("")
for i in range(1,51):
    print('正在获取第{}页饭店信息'.format(i))
    hotpot_url = 'http://www.dianping.com/chengdu/ch10/g110p'+str(i)+'?aid=93195650%2C68215270%2C22353218%2C98432390%2C107724883&cpt=93195650%2C68215270%2C22353218%2C98432390%2C107724883&tc=3'
    html = restaurant(hotpot_url)
    info_restaurant(html)
    print ('第{}页获取成功'.format(i))
    time.sleep(12)

shop = {'name': name, 'url': url, 'star': star, 'comment': comment, 'avg_price': avg_price, 'taste': taste, 'environment': environment, 'services': services, 'recommend': recommend}
shop = pd.DataFrame(shop, columns=['name', 'url', 'star', 'comment', 'avg_price','taste', 'environment', 'services', 'recommend'])
shop.to_csv("shop.csv",encoding="utf_8_sig",index = False)