1.标题
代码
注:# 后面保持空格
# h1
## h2
### h3
#### h4
##### h5
###### h6
####### h7 // 错误代码
######## h8 // 错误代码
######### h9 // 错误代码
########## h10 // 错误代码
演示
h1
h2
h3
h4
h5
h6
####### h7 ######## h8 ######### h9 ########## h10
2.分级标题
代码
注:= - 最少可以只写一个,兼容性一般
一级标题
======================
二级标题
---------------------
演示

3.TOC
注:根据标题生成目录,兼容性一般
代码
[TOC]
演示

4.引用
代码1(单行式)
> hello world!
演示
hello world!
代码2(多行式)
> hello world!
hello world!
hello world!
或者
> hello world!
> hello world!
> hello world!
演示
相同的结果
hello world! hello world! hello world!
代码3(多层嵌套)
> aaaaaaaaa
>> bbbbbbbbb
>>> cccccccccc
演示
aaaaaaaaa
bbbbbbbbb
cccccccccc
5.行内标记
注:用 ` 标记代码块将变成一行
代码
标记之外`hello world`标记之外
演示
标记之外hello world标记之外
错误代码 注:不同平台错误略有差异
标记之外 `
< div>
< div></div>
< div></div>
< div></div>
< /div>
`标记之外
演示

6.代码块
注:与上行距离一空行
代码1(```)
注:用`````生成块
```
<div>
<div></div>
<div></div>
<div></div>
</div>
```
演示
<div>
<div></div>
<div></div>
<div></div>
</div>
代码2(Tab)
注: Tab缩进
我是文字……
<div>
<div></div>
<div></div>
<div></div>
</div>
演示
<div>
<div></div>
<div></div>
<div></div>
</div>
代码3(自定义语法) 注:根据不同的语言配置不同的代码着色
```javascript
var num = 0;
for (var i = 0; i < 5; i++) {
num+=i;
}
console.log(num);
```
演示
var num = 0;
for (var i = 0; i < 5; i++) {
num+=i;
}
console.log(num);
7.插入链接
代码1(内链式)
注:{:target="_blank"}跳转方式兼容性一般 ,多数第三方平台不支持跳转
[百度1](http://www.baidu.com/" 百度一下"){:target="_blank"}
演示
代码2(引用式)
[百度2][2]{:target="_blank"}
[2]: http://www.baidu.com/ "百度二下"
演示
8.插入图片
代码1(内链式)

演示

代码2(引用式)
![name][01]
[01]: ./01.png '描述'
演示

9.插入图片带有链接
代码
[](http://www.baidu.com){:target="_blank"} // 内链式
[][5]{:target="_blank"} // 引用式
[5]: http://www.baidu.com
演示

[

10.视频插入
注:Markdown 语法是不支持直接插入视频的 普遍的做法是 插入HTML的 iframe 框架,通过网站自带的分享功能获取,如果没有可以尝试第二种方法 第二是伪造播放界面,实质是插入视频图片,然后通过点击跳转到相关页面
代码1
注:多数第三方平台不支持插入<iframe>视频

youku
<iframe height=498 width=510 src='http://player.youku.com/embed/XMjgzNzM0NTYxNg==' frameborder=0 'allowfullscreen'></iframe>
演示

代码2
[](http://v.youku.com/v_show/id_XMjgzNzM0NTYxNg==.html?spm=a2htv.20009910.contentHolderUnit2.A&from=y1.3-tv-grid-1007-9910.86804.1-2#paction){:target="_blank"}
演示

11.序表
代码1(有序)
注:序列.后 保持空格
1. one
2. two
3. three
演示
- one
- two
- three
代码2(无序)
* one
* two
* three
演示
- one
- two
- three
代码3(序表嵌套)
1. one
1. one-1
2. two-2
2. two
* two-1
* two-2
演示
- one
- one-1
- two-2
- two
- two-1
- two-2
代码4(序表嵌套代码块) 注:换行+两个Tab
* one
var a = 10; // 与上行保持空行并 递进缩进
演示:
-
one
var a = 10;
12.任务列表
注:兼容性一般 要隔开一行
代码
这是文字……
- [x] 选项一
- [ ] 选项二
- [ ] [选项3]
演示

13.表情
注:兼容一般

14.表格
注: : 代表对齐方式 ,** : 与 | 之间不要有空格**,否则对齐会有些不兼容
代码1
| a | b | c |
|:-------:|:------------- | ----------:|
| 居中 | 左对齐 | 右对齐 |
|=========|===============|============|
演示
| a | b | c |
|---|---|---|
| 居中 | 左对齐 | 右对齐 |
| ========= | =============== | ============ |
代码2(简约写法)
a | b | c
:-:|:- |-:
居中 | 左对齐 | 右对齐
============|=================|=============
演示
| a | b | c |
|---|---|---|
| 居中 | 左对齐 | 右对齐 |
| ============ | ================= | ============= |
代码3(特殊表格)
注:一般对合并单元格,以及其他特殊格式表格,markdown 是无能为力的 所以常规的做法是使用HTML标签,但是这样的编写效率极低。 但是有了这款工具的话,所有问题都迎刃而解。
在线生成HTML代码 Tables Generator (国外的站)

Tables Generator
演示

15.支持内嵌CSS样式
代码
<p style="color: #AD5D0F;font-size: 30px; font-family: '宋体';">内联样式</p>
演示

16.语义标记
| 描述 | 效果 | 代码 |
|---|---|---|
| 斜体 | 斜体 | *斜体* |
| 斜体 | 斜体 | _斜体_ |
| 加粗 | 加粗 | **加粗** |
| 加粗+斜体 | 加粗+斜体 | ***加粗+斜体*** |
| 加粗+斜体 | 加粗+斜体 | **_加粗+斜体_** |
| 删除线 | ~~删除线~~ |
17.语义标签
| 描述 | 效果 | 代码 |
|---|---|---|
| 斜体 | 斜体 | <i>斜体</i> |
| 加粗 | 加粗 | <b>加粗</b> |
| 强调 | 强调 | <em>强调</em> |
| 上标 | Za | Z<sup>a</sup> |
| 下标 | Za | Z<sub>a</sub> |
| 键盘文本 | ![]() |
<kbd>Ctrl</kbd> |
| 换行 | `` |
18.格式化文本
保持输入排版格式不变 注:对内含标签需要破坏结构才能显示
代码
<pre>
hello world
hi
hello world
</pre>
演示
hello world hi hello world
错误解决方法 注:标签内部添加空格 或者 直接使用```标记来处理 代码1(插入空格)
<pre>
< div>
< div>< /div>
< div>< /div>
< div>< /div>
< /div>
</pre>
演示
< div> < div>< /div> < div>< /div> < div>< /div> < /div>
代码2( ``` 代码块标记)
```
<div>
<div></div>
<div></div>
<div></div>
</div>
```
演示
<div>
<div></div>
<div></div>
<div></div>
</div>
19.公式 {#1}
注:1个$左对齐,2个居中
代码
? x \href{why-equal.html}{=} y^2 + 1 ?
$ x = {-b \pm \sqrt{b^2-4ac} \over 2a}. $
演示

20.分隔符
注:最少三个 --- 或 ***或 * * *
代码
***
---
* * *
演示
21.脚注
代码
Markdown[^1]
[^1]: Markdown是一种纯文本标记语言 // 在文章最后面显示脚注
演示
Markdown[1]
22.锚点
代码 注:只有标题支持锚点, 跳转目录方括号后 保持空格
[公式标题锚点](#1)
### [需要跳转的目录] {#1} // 方括号后保持空格
演示
23.定义型列表
注:解释型定义 代码
Markdown
: 轻量级文本标记语言,可以转换成html,pdf等格式 // 开头一个`:` + `Tab` 或 四个空格
代码块定义
: 代码块定义……
var a = 10; // 保持空一行与 递进缩进
演示

24.自动邮箱链接
代码
<xxx@outlook.com>
演示
25.流程图
代码1
```flow // 流程
st=>start: 开始|past:> http://www.baidu.com // 开始
e=>end: 结束 // 结束
c1=>condition: 条件1:>http://www.baidu.com[_parent] // 判断条件
c2=>condition: 条件2 // 判断条件
c3=>condition: 条件3 // 判断条件
io=>inputoutput: 输出 // 输出
//----------------以上为定义参数-------------------------
//----------------以下为连接参数-------------------------
// 开始->判断条件1为no->判断条件2为no->判断条件3为no->输出->结束
st->c1(yes,right)->c2(yes,right)->c3(yes,right)->io->e
c1(no)->e // 条件1不满足->结束
c2(no)->e // 条件2不满足->结束
c3(no)->e // 条件3不满足->结束
```
演示

代码详解 流程图分为两个部分: 定义参数 然后 连接参数
定义示例:
tag=>type: content:>url // 形参格式
st=>start: 开始:>http://www.baidu.com[blank] //实参格式
注:** st=>start: 开始 的:后面保持空格**
| 形参 | 实参 | 含义 |
|---|---|---|
| tag | st | 标签 (可以自定义) |
| => | => | 赋值 |
| type | start | 类型 (6种类型) |
| content | 开始 | 描述内容 (可以自定义) |
| :>url | http://www.baidu.com[blank] |
链接与跳转方式 兼容性很差 |
| 6种类型 | 含义 |
|---|---|
| start | 启动 |
| end | 结束 |
| operation | 程序 |
| subroutine | 子程序 |
| condition | 条件 |
| inputoutput | 输出 |
连接示例:
st->c1(yes,right)->c2(yes,right)->c3(yes,right)->io->e
开始->判断条件1为no->判断条件2为no->判断条件3为no->输出->结束
| 形参 | 实参 | 含义 |
|---|---|---|
| -> | -> | 连接 |
| condition | c1 | 条件 |
| (布尔值,方向) | (yes,right) | 如果满足向右连接,4种方向:right ,left,up ,down 默认为:down |
注:operation (程序); subroutine (子程序) ;condition (条件),都可以在括号里加入连接方向。
operation(right)
subroutine(left)
condition(yes,right) // 只有条件 才能加布尔值
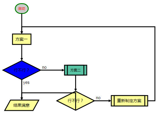
代码2
注:添加样式和url跳转 需要添加第三方的脚本 实际效果很差,使用起来麻烦,意义不大
```flow // 流程
st=>start: 启动|past:>http://www.baidu.com[blank] // 开始
e=>end: 结束 // 结束
op1=>operation: 方案一 // 运算1
sub2=>subroutine: 方案二|approved:>http://www.baidu.com[_parent] // 运算2
sub3=>subroutine: 重新制定方案 // 运算2
cond1=>condition: 行不行?|request // 判断条件1
cond2=>condition: 行不行? // 判断条件2
io=>inputoutput: 结果满意 // 输出
// 开始->方案1->判断条件->
st->op1->cond1
// 判断条件1为no->方案2->判断条件2为no->重新制定方案->方案1
cond1(no,right)->sub2->cond2(no,right)->sub3(right)->op1
cond1(yes)->io->e // 判断条件满足->输出->结束
cond2(yes)->io->e // 判断条件满足->输出->结束
```
演示

作者地址:flowchart.js
一般普遍支持的效果

26.时序图
代码1
```sequence
A->>B: 你好
Note left of A: 我在左边 // 注释方向,只有左右,没有上下
Note right of B: 我在右边
B-->A: 很高兴认识你
```
演示

代码详解
注:A->>B: 你好 后面可以不写文字,但是一定要在最后加上:
Note left of A 代表注释在A的左边
| 符号 | 含义 |
|---|---|
- |
实线 |
> |
实心箭头 |
-- |
虚线 |
>> |
空心箭头 |
代码2
```sequence
起床->吃饭: 稀饭油条
吃饭->上班: 不要迟到了
上班->午餐: 吃撑了
上班->下班:
Note right of 下班: 下班了
下班->回家:
Note right of 回家: 到家了
回家-->>起床:
Note left of 起床: 新的一天
