社区观点 | 关于比原链MOV巡查官制度的几点思考

300 阅读4分钟

在ChainNode白皮书解密读书会01期活动中,比原链高级研究员刘秋杉带领大家领读「MOV:下一代去中心跨链 Layer 2 价值交换协议」白皮书,得到了很多粉丝的关注,其中gentledog的读书帖「关于MOV巡查官制度的几点思考」获得了读书活动的第一名。

正文如下:

根据白皮书,MOV中有巡查官一职防止侧链作恶。我就在想,这个制度是否存在漏洞呢?经过一番思考,似乎有以下几种攻击方式: 1、复制交易攻击 巡查官发现问题并在主链上发起一笔交易,有人获取这笔交易内容后,提高手续费或者直接向网络隐瞒这笔交易,然后再发起一笔同样内容的交易,从而窃取巡查官的劳动成果。在这种情况下,巡查官能够获取的利益几乎为零,甚至为负,这样就不会有动力去巡查了。 这种攻击是有对策的。有一样东西是作恶者无法复制的:钱包地址!可以采取提案(承诺)+证据的模式,巡查官可以先提交承诺(数据+钱包地址的哈希值),等区块确认后,再公布数据(钱包地址可以不用公布)。这样就能比较完美地解决这个问题了。 2、假装作恶攻击 当网关节点给予的奖励大于侧链作恶者所遭受的损失时,可以采取这种攻击。侧链作恶者可以假装作恶,然后串通巡查官抢先提交作恶的证据,从网关节点处骗取奖励,当奖励大于作恶者所受到的惩罚时,作恶者就获利了。这种攻击说明,网关节点给予的奖励是有上限的,它不能大于作恶者所受到的惩罚,并不一定与作恶程度对等。 3、DOS攻击 当侧链作恶且涉及金额庞大时,在网络上发起垃圾交易,暂时阻塞网络,使得巡查官的监察成本远大于他所能获得的奖励(由于假装作恶攻击,奖励是有限的,它并不与作恶程度对等),一旦争议期过去,作恶者就得逞了。DOS攻击并非不可能(参见以太猫和EIDOS空投),作恶者可以选择在网络拥堵的时候发起攻击以减小成本。

先撇开DOS攻击不谈,下面试从经济角度分析巡查官制度。先取一个观察时间段,设在这个观察时间段内,巡查官的巡查成本为U,网关节点的奖励为V,作恶者被举证时遭受的损失为R,作恶成功时获得的收益为S,作恶者作恶的概率为p,巡查官的平均巡查人数为q,某单个巡查官巡查的概率为t。这里假设巡查官的机会是均等的,即当巡查官的巡查人数为q时,成功举证的概率为1/q。则某单个巡查官和作恶者的博弈如下图:

1.png
则某单个巡查官的期望支付为
2.gif
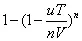
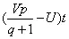
在完全竞争的条件下,某单个巡查官的期望支付应当接近于0。由此可以推算出
3.gif
。 由此可以得知,当
4.gif
时,q=0。 进一步的,我们可以计算作恶者的最佳作恶概率。这里不妨设
5.gif
6.gif
,于是
7.gif
,
8.gif
。 则作恶者的期望收益为
9.gif
在区间
10.gif
上,该式单调递减。所以,在
11.gif
处取得最大值。 所以,作恶者的最佳作恶概率为
12.gif
,此时无人巡查!

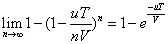
上述的“观察时间段”是指一个充分小的、不可分割的时间段。如果是一个较长的时间段T,怎样计算作恶概率呢? 这里设巡查官在单位时间内的巡查成本为u。 将时间段T等分为n(充分大)个小时间段。则每个小时间段内的作恶概率约为

13.gif
。则n个时间段内作恶发生的概率约为
14.gif
15.gif
所以,在较长时间段T内,作恶发生的概率为
16.gif

我们可以得出以下结论: 1、巡查官制度可以减小侧链作恶的概率。 2、侧链作恶的概率与巡查官的巡查成本U和网关节点的奖励V有关,减小U或增加V都能减小作恶的概率。 3、侧链作恶的概率与作恶成功时获得的收益S无关,也就是说减少侧链上托管的资产无助于减小作恶的概率。 4、侧链作恶的概率与作恶者被举证时遭受的损失R无关(如果忽略V≤R的关系),也就是说在不增加网关节点的奖励的前提下,只增加侧链运营者的保证金无助于减小作恶的概率。 5、由于假装作恶攻击,网关节点的奖励V无法无限增加。巡查官的巡查成本U也无法无限减小。巡查官制度无法杜绝作恶的发生。

作者:gentledog