
JVM的运行数据区
首先我简单来画一张 JVM的结构原理图,如下。

我们重点关注 JVM在运行时的数据区,你可以看到在程序运行时,大致有5个部分。
1.方法区
不止是存“方法”,而是存储整个 class文件的信息,JVM运行时,类加载器子系统将会提取 class文件里面的类信息,并将其存放在方法区中。例如类的名称、类的类型(枚举、类、接口)、字段、方法等等。
2.堆( Heap)
熟习 c/c++编程的同学们应该相当熟习 Heap了,而对于Java而言,每个应用都唯一对应一个JVM实例,而每一个JVM实例唯一对应一个堆。堆主要包括关键字 new的对象实例、 this指针,或者者数组都放在堆中,并由应用所有的线程共享。堆由JVM的自动内存管理机制所管理,名为垃圾回收—— GC(garbage collection)。
3.栈( Stack)
操作系统内核为某个进程或者者线程建立的存储区域,它保存着一个线程中的方法的调用状态,它具备先进后出的特性。在栈中的数据大小与生命周期严格来说都是确定的,例如在一个函数中公告的int变量便是存储在 stack中,它的大小是固定的,在函数退出后它的生命周期也从此结束。在栈中,每一个方法对应一个栈帧,JVM会对Java栈执行两种操作:压栈和出栈。这两种操作在执行时都是以栈帧为单位的。还有少量即时编译器编译后的代码等数据。
4.PC寄存器
pc寄存器用于存放一条指令的地址,每一个线程都有一个PC寄存器。
5.本地方法栈
用来调用其余语言的本地方法,例如 C/C++写的本地代码, 这些方法在本地方法栈中执行,而不会在Java栈中执行。
初识GC

自动垃圾回收机制,简单来说就是寻觅 Java堆中的无用对象。打个比如:你的房间是JVM的内存,你在房间里生活会制造垃圾和脏乱,而你妈就是 GC(听起来有点像骂人)。你妈每时每刻都觉得你房间很脏乱,不时要把你赶出门打扫房间,假如你妈一直在房间打扫,那么这个过程你无法继续在房间打游戏吃泡面。但假如你一直在房间,你的房间早晚要变成一个无法居住的猪窝。
那么,怎样样回收垃圾比较好呢?我们大致可以想出下面的思路。
Marking
首先,所有堆中的对象都会被扫描一遍:我们总得知道哪些是垃圾,哪些是有用的物品吧。由于垃圾实在太多了,所以,你妈会把所有的要扔掉的东西都找出来并打上一个标签,到了时机成熟时回头来一起解决,这样她就能解决你不需要的废物、旧家具,而不是把你喜欢的衣服或者者身份证之类的东西扔掉。

Normal Deletion
垃圾收集器将清理掉标记的对象:你妈已经整理了一部分杂物(或者者已一律整理完),而后会将他们直接拎出去倒掉。你很开心房间又可以继续接受蹂躏了。

Deletion with Compacting
压缩清理的方法:我们知道,内存有空闲,并不代表着我们就能使用它,例如我们要分配数组这种一段连续空间,如果内存中碎片较多,一定是行不通的。正如房间可能需要再放一个新的床,但是扔掉旧衣柜后,原来的位置并不能放得下新床,所以需要进行空间压缩,把剩下的家具和物档次置并到一起,这样就能腾出更多的空间啦。

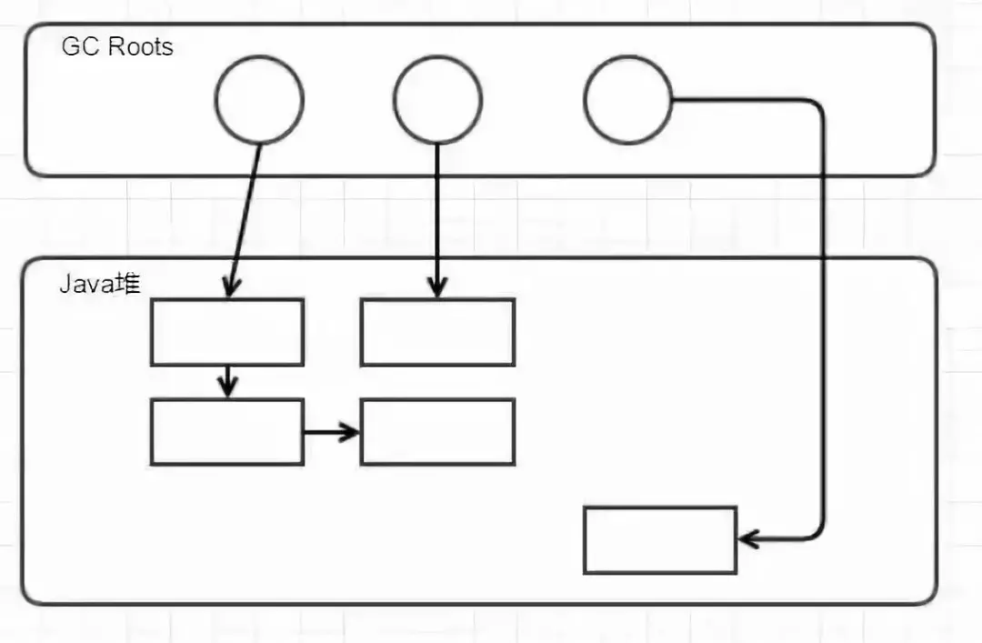
有趣的是,JVM并不是使用相似于 objective-c的 ARC(AutomaticReferenceCounting)的方式来引用计数对象,而是使用了叫根搜索算法( GC Root)的方法,基本思想就是选定少量对象作为 GC Roots,并组成根对象集合,而后从这些作为 GC Roots的对象作为起始点,搜索所走过的引用链( ReferenceChain)。假如目标对象到 GC Roots是连接着的,我们则称该目标对象是可达的,假如目标对象不可达,则说明目标对象是可以被回收的对象。
GC Root使用的算法是相当复杂的,你不必记住里面的所有细节。但是你要知道的一点就是,可以作为 GC Root的对象可以主要分为四种。
JVM栈中引用的对象;
方法区中,静态属性引用的对象;
方法区中,常量引用的对象;
本地方法栈中,JNI(即Native方法)引用的对象;
在 JDK1.2之后,Java将引用分为强引用、软引用、弱引用、虚引用4种,这4种引用强度依次减弱。
分代与GC机制
嗯,听起来这样即可以了?但是实际情况下,很不幸,在JVM中绝大部分对象都是英年早逝的,在编码时大部分堆中的内存都是短暂临时分配的,所以无论是效率还是开销方面,按上面那样进行 GC往往是无法满足我们需求的。而且,实际上随着分配的对象增多, GC的时间与开销将会放大。所以,JVM的内存被分为了三个主要部分:新生代,老年代和永久代。

新生代
所有新产生的对象一律都在新生代中, Eden区保存最新的对象,有两个 SurvivorSpace—— S1和 S0,三个区域的比例大致为 8:1:1。当新生代的 Eden区满了,将触发一次 GC,我们把新生代中的 GC称为 minor garbage collections。minor garbage collections是一种 Stopthe world事件,比方你妈在打扫时,会把你赶出去,而不是你一边扔垃圾她一边打扫。
我们来看下对象在堆中的分配过程,首先有新的对象进入时,默认放入新生代的 Eden区, S区都是默认为空的。下面对象的数字代表经历了多少次 GC,也就是对象的年龄。

当 eden区满了,触发 minor garbage collections,这时还有被引用的对象,就会被分配到 S0区域,剩下没有被引用的对象就都会被清理。

再一次 GC时, S0区的部分对象很可能会出现没有引用的,被引用的对象以及 S0中的存活对象,会被一起移动到 S1中。eden和 S0中的未引用对象会被一律清理。

接下来就是无限循环上面的步骤了,当新生代中存活的对象超过了肯定的【年龄】,会被分配至老年代的 Tenured区中。这个年龄可以通过参数 MaxTenuringThreshold设定,默认值为 15,图中的例子为 8次。

新生代管理内存采用的算法为 GC复制算法( CopyingGC),也叫标记-复制法,原理是把内存分为两个空间:一个 From空间,一个 To空间,对象一开始只在 From空间分配, To空间是空闲的。GC时把存活的对象从 From空间复制粘贴到 To空间,之后把 To空间变成新的 From空间,原来的 From空间变成 To空间。
首先标记不可达对象。

而后移动存活的对象到 to区,并保证他们在内存中连续。

清扫垃圾。

可以看到上图操作后内存几乎都是连续的,所以它的效率是非常高的,但是相对的吞吐量会较大。并且,把内存一分为二,占用了将近一半的可用内存。用一段伪代码来实现大致为下。
<code>
void copying(){
$free = $to_start
// $free表示To区占用偏移量,每复制成功一个对象obj,
// $free向前移动size(obj)
for(r : $roots)
*r = copy(*r) // 复制成功后返回新的引用
swap($from_start, $to_start) // GC完成后交互From区与To区的指针
}
</code>老年代
老年代用来存储活时间较长的对象,老年代区域的 GC是 major garbage collection,老年代中的内存不够时,就会触发一次。这也是一个 Stopthe world事件,但是看名字就知道,这个回收过程会相当慢,由于这包括了对新生代和老年代所有对象的回收,也叫 FullGC。
老年代管理内存最早采用的算法为标记-清除算法,这个算法很好了解,结合 GC Root的定义,我们会把所有不可达的对象一律标记进行清理。
在清理前,黄色的为不可达对象。
在清理后,一律都变成可达对象。

那么,这个算法的劣势很好了解:对,会在标记清理的过程中产生大量的内存碎片,Java在分配内存时通常是按连续内存分配,这样我们会白费很多内存。所以,现在的 JVM GC在老年代都是使用标记-压缩清理方法,将上图在清理后的内存进行整理和压缩,以保证内存连续,尽管这个算法的效率是三种算法里最低的。
永久代
永久代位于方法区,主要存放元数据,例如 Class、 Method的元信息,与 GC要回收的对象其实关系并不是很大,我们可以几乎忽略其对 GC的影响。除了 JavaHotSpot这种较新的虚拟机技术,会回收无用的常量和的类,以免大量运用反射这类频繁自己设置 ClassLoader的操作时方法区溢出。
GC收集器与优化
一般而言, GC不应该成为影响系统性能的瓶颈,我们在评估 GC收集器的优劣时一般考虑以下几点:
吞吐量
GC开销
暂停时间
GC频率
堆空间
对象生命周期
所以针对不同的 GC收集器,我们要对应我们的应用场景来进行选择和调优,回顾 GC的历史,主要有 4种 GC收集器: Serial、 Parallel、 CMS和 G1。

Serial
Serial收集器使用了标记-复制的算法,可以用 -XX:+UseSerialGC使用单线程的串行收集器。但是在 GC进行时,程序会进入长时间的暂停时间,一般不太建议使用。
Parallel
-XX:+UseParallelGC-XX:+UseParallelOldGCParallel也使用了标记-复制的算法,但是我们称之为吞吐量优先的收集器,由于 Parallel最主要的优势在于并行使用多线程去完成垃圾清除工作,这样可以充分利用多核的特性,大幅降低 gc时间。当你的程序场景吞吐量较大,例如消息队列这种应用,需要保证有效利用 CPU资源,可以忍受肯定的停顿时间,可以优先考虑这种方式。
CMS ( ConcurrentMarkSweep)
-XX:+UseParNewGC-XX:+UseConcMarkSweepGCCMS使用了标记-清理的算法,当应用尤其重视服务器的响应速度(比方 Apiserver),希望系统停顿时间最短,以给客户带来较好的体验,那么可以选择 CMS。CMS收集器在 MinorGC时会暂停所有的应用线程,并以多线程的方式进行垃圾回收。在 FullGC时不暂停应用线程,而是使用若干个后端线程定期的对老年代空间进行扫描,及时回收其中不再使用的对象。
G1( GarbageFirst)
-XX:+UseG1GC 在堆比较大的时候,假如 full gc频繁,会导致停顿,并且调用方阻塞、超时、甚至雪崩的情况出现,所以降低 full gc的发生频率和需要时间,非常有必要。G1的诞生正是为了降低 FullGC的次数,而相较于 CMS, G1使用了标记-压缩清理算法,这可以大大降低较大内存( 4GB以上) GC时产生的内存碎片。
G1提供了两种 GC模式, YoungGC和 MixedGC,两种都是 StopTheWorld(STW)的。YoungGC主要是对 Eden区进行 GC, MixGC不仅进行正常的新生代垃圾收集,同时也回收部分后端扫描线程标记的老年代分区。
另外有趣的一点, G1将新生代、老年代的物理空间划分取消了,而是将堆划分为若干个区域( region),每个大小都为 2的倍数且大小一律一致,最多有 2000个。除此之外, G1专门划分了一个 Humongous区,它用来专门存放超过一个 region 50%大小的巨型对象。在正常的解决过程中,对象从一个区域复制到另外一个区域,同时也完成了堆的压缩。

常用参数
-XX:+UseSerialGC:在新生代和老年代使用串行收集器
-XX:+UseParNewGC:在新生代使用并行收集器
-XX:+UseParallelGC :新生代使用并行回收收集器,更加关注吞吐量
-XX:+UseParallelOldGC:老年代使用并行回收收集器
-XX:ParallelGCThreads:设置用于垃圾回收的线程数
-XX:+UseConcMarkSweepGC:新生代使用并行收集器,老年代使用CMS+串行收集器
-XX:ParallelCMSThreads:设定CMS的线程数量
-XX:+UseG1GC:启用G1垃圾回收器
java虚拟机中对象的访问及存放
举个实例Student stu=new Student();
这份代码中Student stu是一个引用变量所以存放在java虚拟机栈上,new Student()是一个实例对象存放在java堆上。另外,在Java 堆中还必须包含能查找到此对象类型数据(如对象类型、父类、实现的接口、方法等)的地址信息,这些类型数据则存储在方法区中。
由于reference 类型在Java 虚拟机规范里面只规定了一个指向对象的引用,并没有定义这个引用应该通过哪种方式去定位,以及访问到Java 堆中的对象的具体位置,因此不同虚拟机实现的对象访问方式会有所不同,主流的访问方式有两种:使用句柄和直接指针。如果使用句柄访问方式Java 堆中将会划分出一块内存来作为句柄池,reference中存储的就是对象的句柄地址,而句柄中包含了对象实例数据和类型数据各自的具体地址信息,如下图所示。

指针方式
Java 堆对象的布局中就必须考虑如何放置访问类型

这两种对象的访问方式各有优势,使用句柄访问方式的最大好处就是reference 中存储的是稳定的句柄地址,在对象被移动(垃圾收集时移动对象是非常普遍的行为)时只会改变句柄中的实例数据指针,而引用对象本身不需要被修改。使用直接指针访问方式的最大好处就是速度更快,它节省了一次指针定位的时间开销,由于对象的访问在Java 中非常频繁,因此这类开销积少成多后也是一项非常可观的执行成本。
如果您感觉文章对您有所帮助,请让更多人看到!
1.点赞此篇文章,并评论一句!
2.转发此篇文章 给予作者支持!
3.微信搜索 ~ 关注微信公众号:程序员知识码头 获取全套学习资料一份!
微信扫码关注:每天准时发技术文章!还能加入专属的学习交流社群!

点赞!好文要顶哦~