二叉搜索树
大的在右边,小的在左边
缺点:无限插入一边元素,一直小,一直大,造成树的深度高,退化成链表
平衡二叉树—AVL树
左右子树的高度差不超过1(平衡因子)
- 可以是空树。
- 假如不是空树,任何一个结点的左子树与右子树都是平衡二叉树,并且高度之差的绝对值不超过 1。
旋转
平衡的调整共有四种情况:分别为LL,LR,RR,RL。
下面我们通过不断插入数据来说明几种不同的旋转方式:
- 左旋

- 右旋

例子




红黑树—RBT
Java8中红黑树、数据库索引、TreeMap、TreeSet,时间复杂度O(lgN)
自平衡二叉查找树
- 根节点必须黑色
- 叶子节点是黑色
- 父子不能同为红色
- 从任意节点出发,达到叶子节点经过的黑色节点数量一致
隐藏性质:
- 左右子树高度查最多为两倍
插入时默认插入红色,空的节点默认视为黑色(叶子节点)
修复规则:
根据插入情况应用处理策略调整,直到满足性质
- 旋转
- 变色
插入情况
- 被插入节点是根节点
处理:直接把其涂黑
- 被插入节点父节点是黑色
处理:直接插入,什么都不需要做
- 被插入节点父节点是红色
处理:这种情况我们分为下面三种Case,需要进行调整
- Case1:当前节点父节点和叔叔节点都是红色
- 将父节点设置为黑色
- 将叔叔节点设置为黑色
- 将祖父节点设置为红色
- 将祖父节点设置为当前节点,即继续对当前节点进行操作
- Case2:当前节点父节点是红色,叔叔节点是黑色,且当前节点是父节点的左孩子
- 将父节点设置为黑色
- 将祖父节点设置为红色
- 以祖父节点为支点进行右旋
- Case3:当前节点父节点是红色,叔叔节点是黑色,且当前节点是父节点的右孩子
- 当前结点的父结点做为新的当前结点
- 以父节点为支点左旋
- 得到Case2
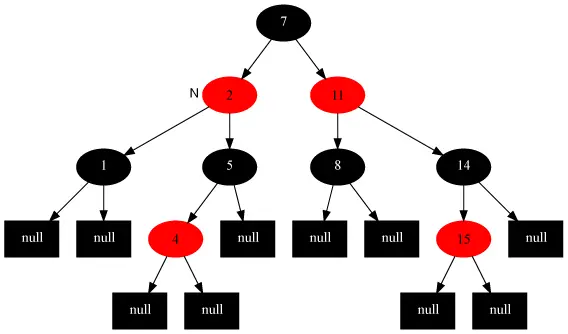
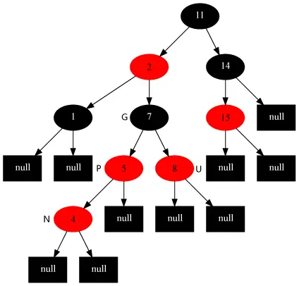
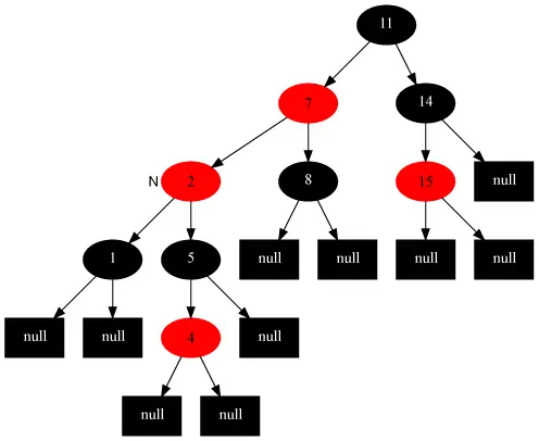
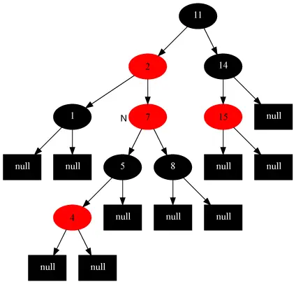
例子:

此时4节点处于Case1,执行处理

此时当前节点为7,处于Case3,执行处理

此时当前节点为2,处于Case2,执行处理

得到满足性质的红黑树
参考博文:
平衡二叉树:https://zhuanlan.zhihu.com/p/56066942
红黑树:https://www.jianshu.com/p/e136ec79235c
https://github.com/julycoding/The-Art-Of-Programming-By-July/blob/master/ebook/zh/03.01.md