深度优先遍历和广度优先遍历
什么是深度优先和广度优先
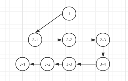
其实简单来说 深度优先就是自上而下的遍历搜索 广度优先则是逐层遍历, 如下图所示
1.深度优先

2.广度优先

两者的区别
对于算法来说 无非就是时间换空间 空间换时间
- 深度优先不需要记住所有的节点, 所以占用空间小, 而广度优先需要先记录所有的节点占用空间大
- 深度优先有回溯的操作(没有路走了需要回头),所以相对而言时间会长一点
具体代码
const data = [
{
name: 'a',
children: [
{ name: 'b', children: [{ name: 'e' }] },
{ name: 'c', children: [{ name: 'f' }] },
{ name: 'd', children: [{ name: 'g' }] },
],
},
{
name: 'a2',
children: [
{ name: 'b2', children: [{ name: 'e2' }] },
{ name: 'c2', children: [{ name: 'f2' }] },
{ name: 'd2', children: [{ name: 'g2' }] },
],
}
]
// 深度遍历, 使用递归
function getName(data) {
const result = [];
data.forEach(item => {
const map = data => {
result.push(data.name);
data.children && data.children.forEach(child => map(child));
}
map(item);
})
return result.join(',');
}
// 广度遍历, 创建一个执行队列, 当队列为空的时候则结束
function getName2(data) {
let result = [];
let queue = data;
while (queue.length > 0) {
[...queue].forEach(child => {
queue.shift();
result.push(child.name);
child.children && (queue.push(...child.children));
});
}
return result.join(',');
}
console.log(getName(data))
console.log(getName2(data))本文来源于:juejin.cn/post/684490…
总结:
深度优先遍历和广度优先遍历的区别:
- 深度优先采用的是
堆栈的形式, 即先进后出 - 广度优先则采用的是
队列的形式, 即先进先出(类似于日常中的排队) - 对于算法来说 无非就是时间换空间 空间换时间
- 深度优先就是自上而下的遍历搜索 广度优先则是逐层遍历
- 深度优先占用空间小,时间慢(因为回溯)。(时间换空间)
- 广度优先占用空间大,时间快。(空间换时间)