如何理解SVM损失函数

2,739 阅读2分钟

对于线性支持向量机学习来说,其模型为分离超平面支持向量机W及决策函数支持向量机,其学习策略为软间隔最大化,学习算法为凸二次规划。线性支持向量机学习还有另外一种解释,就是最小化以下目标函数。

合页损失函数

线性支持向量机还有另外一种解释,就是最小化以下目标函数(svm的损失函数):

目标函数第一项为经验损失或经验风险,函数:

称为合页损失函数,下标“+” “+”“+”表示取正值。

在学习支持向量机的过程中,因为其损失函数的形状像一个合页,故命名合页损失函数。

下图为合页损失函数的图像:

横轴表示函数间隔,我们从两个方面来理解函数间隔:

  • 正负

当样本被正确分类时,y(wx+b)>0 ;当样本被错误分类时,y(wx+b)<0 。

  • 大小

y(wx+b) 的绝对值代表样本距离决策边界的远近程度。y(wx+b)的绝对值越大,表示样本距离决策边界越远。

因此,我们可以知道:

当y(wx+b)>0 时,y(wx+b) 的绝对值越大表示决策边界对样本的区分度越好

当y(wx+b)<0 时,y(wx+b)的绝对值越大表示决策边界对样本的区分度越差

从图中我们可以看到,

0-1损失

当样本被正确分类时,损失为0;当样本被错误分类时,损失为1。

感知机损失函数

当样本被正确分类时,损失为0;当样本被错误分类时,损失为−y(wx+b)。

合页损失函数

当样本被正确分类且函数间隔大于1时,合页损失才是0,否则损失是1−y(wx+b) 。

相比之下,合页损失函数不仅要正确分类,而且确信度足够高时损失才是0。也就是说,合页损失函数对学习有更高的要求。

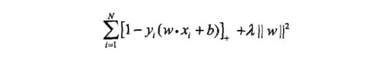
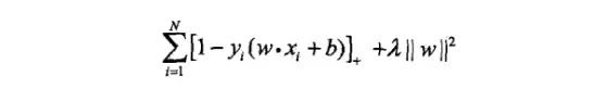
SVM的损失函数

SVM的损失函数就是合页损失函数加上正则化项: