离散型特征的编码方式

2,566 阅读7分钟

上一期我们讲了对数据分析中的连续型变量进行离散化处理,相信大家们还没有忘了,那么在对数据进行离散化处理后,接下来应该做什么呢,答案是对离散的特征进行one-hot编码或哑变量编码,接下来我们走进这两种编码方式,来瞅瞅到底它们是什么玩意儿。

在机器学习问题中,我们通过训练数据集学习得到的其实就是一组模型的参数,然后通过学习得到的参数确定模型的表示,最后用这个模型再去进行我们后续的预测分类等工作。通过one-hot编码或哑变量编码,我们会使得我们所建立的模型具有较强的非线性能力。

那么相信大家们又有新的疑惑了,这两种编码方式是什么?他们又是如?何进行的?两种方式有没有什么关系?为什么会使得我们所建立的模型具有较强的非线性能力? 下面请跟我一起走进这两种编码方式,感受感受他们的...

one-hot encoding

将离散型特征的每一种取值都看成一种状态,若你的这一特征中有N个不相同的取值,那么我们就可以将该特征抽象成N种不同的状态,one-hot编码保证了每一个取值只会使得一种状态处于“激活态”,也就是说这N种状态中只有一个状态位值为1,其他状态位都是0。

one-hot编码

什么是one-hot编码?

one-hot编码,又称独热编码、一位有效编码。其方法是使用N位状态寄存器来对N个状态进行编码,每个状态都有它独立的寄存器位,并且在任意时候,其中只有一位有效。举个例子,假设我们有四个样本(行),每个样本有三个特征(列),如图:

上图中我们已经对每个特征进行了普通的数字编码:

我们的feature_1有两种可能的取值,比如是男/女,这里男用1表示,女用2表示。那么one-hot编码是怎么搞的呢?我们再拿feature_2来说明:

这里feature_2 有4种取值(状态),我们就用4个状态位来表示这个特征,one-hot编码就是保证每个样本中的单个特征只有1位处于状态1,其他的都是0。

对于2种状态、三种状态、甚至更多状态都是这样表示,所以我们可以得到这些样本特征的新表示:

one-hot编码将每个状态位都看成一个特征。对于前两个样本我们可以得到它的特征向量分别为

one-hot在提取文本特征上的应用

one hot在特征提取上属于词袋模型(bag of words)。关于如何使用one-hot抽取文本特征向量我们通过以下例子来说明。假设我们的语料库中有三段话:

    我爱中国

    爸爸妈妈爱我

    爸爸妈妈爱中国

我们首先对预料库分离并获取其中所有的词,然后对每个此进行编号:

    1 我; 2 爱; 3 爸爸; 4 妈妈;5 中国

然后使用one hot对每段话提取特征向量:

因此我们得到了最终的特征向量为

    我爱中国  ->   1,1,0,0,1

    爸爸妈妈爱我  ->  1,1,1,1,0

    爸爸妈妈爱中国  ->  0,1,1,1,1     

优缺点分析

优点:一是解决了分类器不好处理离散数据的问题,二是在一定程度上也起到了扩充特征的作用(上面样本特征数从3扩展到了9)

缺点:在文本特征表示上有些缺点就非常突出了。首先,它是一个词袋模型,不考虑词与词之间的顺序(文本中词的顺序信息也是很重要的);其次,它假设词与词相互独立(在大多数情况下,词与词是相互影响的);最后,它得到的特征是离散稀疏的。

举个例子,假设我们以学历为例,我们想要研究的类别为小学、中学、大学、硕士、博士五种类别,我们使用one-hot对其编码就会得到:

dummy encoding

哑变量编码直观的解释就是任意的将一个状态位去除。还是拿上面的例子来说,我们用4个状态位就足够反应上述5个类别的信息,也就是我们仅仅使用前四个状态位 [0,0,0,0] 就可以表达博士了。只是因为对于一个我们研究的样本,他已不是小学生、也不是中学生、也不是大学生、又不是研究生,那么我们就可以默认他是博士,是不是。(额,当然他现实生活也可能上幼儿园,但是我们统计的样本中他并不是,^-^)。

所以,我们用哑变量编码可以将上述5类表示成:

one-hot编码和dummy编码:区别与联系

通过上面的例子,我们可以看出它们的“思想路线”是相同的,只是哑变量编码觉得one-hot编码太罗嗦了(一些很明显的事实还说的这么清楚),所以它就很那么很明显的东西省去了。这种简化不能说到底好不好,这要看使用的场景。

下面我们以一个例子来说明:

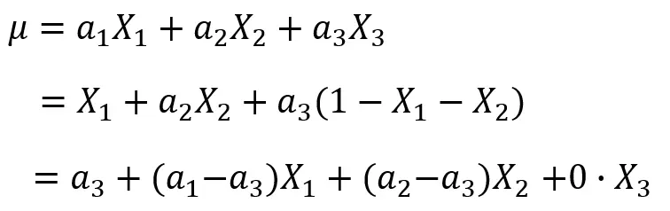
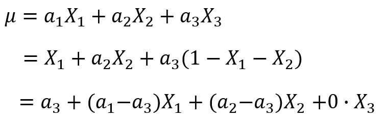
假设我们现在获得了一个模型

这里自变量满足

(因为特征是one-hot获得的,所有只有一个状态位为1,其他都为了0,所以它们加和总是等于1),故我们可以用

表示第三个特征,将其带入模型中,得到:

这时,我们就惊奇的发现和这两个参数是等价的!那么我们模型的稳定性就成了一个待解决的问题。这个问题这么解决呢?有三种方法:

1)使用正则化手段,将参数的选择上加一个限制,就是选择参数元素值小的那个作为最终参数,这样我们得到的参数就唯一了,模型也就稳定了。

2)把偏置项去掉,这时我们发现也可以解决同一个模型参数等价的问题。

因为有了bias项,所以和我们去掉bias项的模型是完全不同的模型,不存在参数等价的问题。

3)再加上bias项的前提下,使用哑变量编码代替one-hot编码,这时去除了,也就不存在之前一种特征可以用其他特征表示的问题了。

总结:我们使用one-hot编码时,通常我们的模型不加bias项 或者 加上bias项然后使用正则化手段去约束参数;当我们使用哑变量编码时,通常我们的模型都会加bias项,因为不加bias项会导致固有属性的丢失。

选择建议:我感觉最好是选择正则化 + one-hot编码;哑变量编码也可以使用,不过最好选择前者。虽然哑变量可以去除one-hot编码的冗余信息,但是因为每个离散型特征各个取值的地位都是对等的,随意取舍未免来的太随意。

连续值的离散化为什么会提升模型的非线性能力?

简单的说,使用连续变量的LR模型,模型表示为公式(1),而使用了one-hot或哑变量编码后的模型表示为公式(2)

式中表示连续型特征分别是离散化后在使用one-hot或哑变量编码后的若干个特征表示。这时我们发现使用连续值的LR模型用一个权值去管理该特征,而one-hot后有三个权值管理了这个特征,这样使得参数管理的更加精细,所以这样拓展了LR模型的非线性能力。

这样做除了增强了模型的非线性能力外,还有什么好处呢?这样做了我们至少不用再去对变量进行归一化,也可以加速参数的更新速度;再者使得一个很大权值管理一个特征,拆分成了许多小的权值管理这个特征多个表示,这样做降低了特征值扰动对模型为稳定性影响,也降低了异常数据对模型的影响,进而使得模型具有更好的鲁棒性。