Java-背包算法实现

650 阅读3分钟

介绍

给定 n 种物品和一个容量为 C 的背包,物品 i 的重量是 w_i,其价值为 v_i 问:应该如何选择装入背包的物品,使得装入背包中的物品的总价值最大?

背包问题是具有许多应用的组合优化问题

背包问题

在背包问题中,我们有一组物品。每个物品都有重量和价值:

背包算法示例.png

我们想将这些物品放入背包。但是,它有一个重量限制:

未命名文件 (2).png

因此,我们需要选择总重量不超过重量限制的物品,并且其总价值达到最高。 例如,上述示例的最佳解决方案是选择5kg和6kg物品,它们在重量限制内的最大值为40元

背包问题有几种变化,我们将重点介绍0-1背包问题。在0-1背包问题中,必须选择每个物品或将其留在后面。我们不能取一部分物品。另外,我们不能多次取一件物品。

数学公式

现在让我们以数学符号形式化0-1背包问题。给定一组n个物品和重量限制W,我们可以将优化问题定义为:

公式

**这个问题是NP完全难题。**因此,目前尚无多项式时间算法可以解决。但是,对于此问题,可以使用动态规划算法思路来解决。

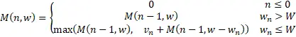
递归算法

使用递归公式来解决此问题:

递归算法

在该公式中,M_(n,w) 是重量限制为w的n个物品的最优解。它是以下两个值中的最大值:

重量限制为w的(n-1)个物品的最优解(不包括第n个项目) 第n个物品的值加上(n-1)个物品的最优解和w减去第n个物品的权重(包括第n个物品) 如果第n项的重量大于当前的重量限制,则不包括在内。因此,它属于上述两种情况的第一类。

Java中实现此递归公式代码:

image.png

在每个递归步骤中,我们需要评估两次最优解决逻辑,因此,此递归解决方案的运行时间为O(2^n)。

动态规划算法

动态规划思路是一种用于线性化,指数级递增的编程算法的思路,这个思路是存储子问题的结果,这样我们以后就不必重新计算它们了。

我们还可以通过动态规划解决0-1背包问题。要使用动态规划中,我们使用自下而上的方法来计算最佳解决方案:

/**
     * @param w : 已知物品重量数组集合
     * @param v  : 已知物品价值数组集合
     * @param n  : 最大价值,0 表示不要求
     * @param W : 最大重量,0 表示不要求
     * @author 油腻的Java
     * @date 2019/11/5
     * @return
     */
    public int knapsackDP(int[] w, int[] v, int n, int W) {
        if (n <= 0 || W <= 0) {
            return 0;
        }

        /**
         * 创建临时数组
         */
        int[][] m = new int[n + 1][W + 1];
        for (int j = 0; j <= W; j++) {
            m[0][j] = 0;
        }

        /**
         * 遍历n和W,
         */
        for (int i = 1; i <= n; i++) {
            for (int j = 1; j <= W; j++) {
                if (w[i - 1] > j) {
                    //对m数组进行赋值
                    m[i][j] = m[i - 1][j];
                } else {
                    //求最大值
                    m[i][j] = Math.max(m[i - 1][j], m[i - 1][j - w[i - 1]] + v[i - 1]);
                }
            }
        }
        return m[n][W];
    }

在代码中,我们在商品价值n和重量限制W上有一个嵌套循环。因此,它的运行时间为O(nW)。

单元测试

最后针对各自的场景做了一下单元测试

同时满足价格,重量最大化

image.png

最大重量最优解

image.png

最大价格最优解

image.png

结论

本文通过编写递归算法、动态规划算法来解决背包0-1问题,以及测试相应的单元测试,希望在背包算法对你有新的认知。