-
梯度下降法的场景假设
-
什么是梯度
-
用数学来解释梯度下降算法
下面我们通过一个实例来认识一下什么是梯度!
梯度下降的场景假设
梯度下降法的基本思想可以类比为一个下山的过程。假设这样一个场景:一个人被困在山上,需要从山上下来(i.e.找到山的最低点,也就是山谷)。但此时山上的浓雾很大,导致可视度很低。因此,下山的路径就无法确定,他必须利用自己周围的信息去找到下山的路径。这个时候,他就可以利用梯度下降算法来帮助自己下山。具体来说就是,以他当前的所处的位置为基准,寻找这个位置最陡峭的地方,然后朝着山的高度下降的地方走,同理,如果我们的目标是上山,也就是爬到山顶,那么此时应该是朝着最陡峭的方向往上走。然后每走一段距离,都反复采用同一个方法,最后就能成功的抵达山谷。

在这种就情况下,我们也可以假设此时周围的陡峭程度我们无法用肉眼来测量,需要一个复杂的工具来帮助我们测量,恰巧的是此人正好拥有测量最陡峭方向的能力。因此,这个人每走一段距离,都需要一段时间来测量所在位置最陡峭的方向,这是比较耗时的。那么为了在太阳下山之前到达山底,就要尽可能的减少测量方向的次数。这是一个两难的选择,如果测量的频繁,可以保证下山的方向是绝对正确的,但又非常耗时,如果测量的过少,又有偏离轨道的风险。所以需要找到一个合适的测量方向的频率,来确保下山的方向不错误,同时又不至于耗时太多!
梯度下降
梯度下降的过程就如同这个下山的场景一样。
首先,我们有一个可微分的函数。这个函数就代表着一座山。我们的目标就是找到这个函数的最小值,也就是山底。根据之前的场景假设,最快的下山的方式就是找到当前位置最陡峭的方向,然后沿着此方向向下走,对应到函数中,就是找到给定点的梯度 ,然后朝着梯度相反的方向,就能让函数值下降的最快!因为梯度的方向就是函数之变化最快的方向(在后面会详细解释) 所以,我们重复利用这个方法,反复求取梯度,最后就能到达局部的最小值,这就类似于我们下山的过程。而求取梯度就确定了最陡峭的方向,也就是场景中测量方向的手段。
首先梯度是什么?
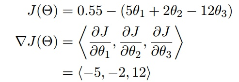
梯度实际上就是多变量微分的一般化。 下面这个例子:

我们可以看到,梯度就是分别对每个变量进行微分,然后用逗号分割开,梯度是用<>包括起来,说明梯度其实一个向量。
梯度是微积分中一个很重要的概念,之前提到过梯度的意义
- 在单变量的函数中,梯度其实就是函数的微分,代表着函数在某个给定点的切线的斜率
- 在多变量函数中,梯度是一个向量,向量有方向,梯度的方向就指出了函数在给定点的上升最快的方向
这也就说明了为什么我们需要千方百计的求取梯度!我们需要到达山底,就需要在每一步观测到此时最陡峭的地方,梯度就恰巧告诉了我们这个方向。梯度的方向是函数在给定点上升最快的方向,那么梯度的反方向就是函数在给定点下降最快的方向,这正是我们所需要的。所以我们只要沿着梯度的方向一直走,就能走到局部的最低点!
梯度下降算法的数学解释
上面我们花了大量的篇幅介绍梯度下降算法的基本思想和场景假设,以及梯度的概念和思想。下面我们就开始从数学上解释梯度下降算法的计算过程和思想!

此公式的意义是:J是关于Θ的一个函数,我们当前所处的位置为Θ0点,要从这个点走到J的最小值点,也就是山底。首先我们先确定前进的方向,也就是梯度的反向,然后走一段距离的步长,也就是α,走完这个段步长,就到达了Θ1这个点!

-
下面就这个公式的几个常见的疑问:
-
α是什么含义? α在梯度下降算法中被称作为学习率或者步长,意味着我们可以通过α来控制每一步走的距离,以保证不要步子跨的太大扯着蛋,哈哈,其实就是不要走太快,错过了最低点。同时也要保证不要走的太慢,导致太阳下山了,还没有走到山下。所以α的选择在梯度下降法中往往是很重要的!α不能太大也不能太小,太小的话,可能导致迟迟走不到最低点,太大的话,会导致错过最低点!

- 为什么要梯度要乘以一个负号? 梯度前加一个负号,就意味着朝着梯度相反的方向前进!我们在前文提到,梯度的方向实际就是函数在此点上升最快的方向!而我们需要朝着下降最快的方向走,自然就是负的梯度的方向,所以此处需要加上负号

- 梯度下降算法的实现
下面我们将用python实现一个简单的梯度下降算法。场景是一个简单的线性回归的例子:假设现在我们有一系列的点,如下图所示

我们将用梯度下降法来拟合出这条直线!
首先,我们需要定义一个代价函数,在此我们选用均方误差代价函数

此公示中
- m是数据集中点的个数
- ½是一个常量,这样是为了在求梯度的时候,二次方乘下来就和这里的½抵消了,自然就没有多余的常数系数,方便后续的计算,同时对结果不会有影响
- y 是数据集中每个点的真实y坐标的值
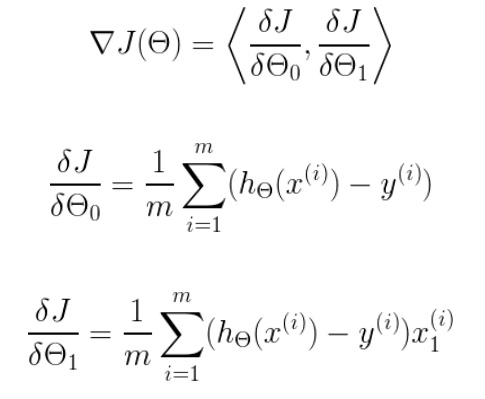
- h 是我们的预测函数,根据每一个输入x,根据Θ 计算得到预测的y值,即

我们可以根据代价函数看到,代价函数中的变量有两个,所以是一个多变量的梯度下降问题,求解出代价函数的梯度,也就是分别对两个变量进行微分

明确了代价函数和梯度,以及预测的函数形式。我们就可以开始编写代码了。但在这之前,需要说明一点,就是为了方便代码的编写,我们会将所有的公式都转换为矩阵的形式,python中计算矩阵是非常方便的,同时代码也会变得非常的简洁。
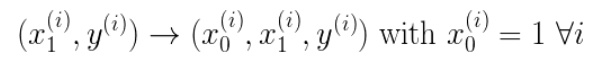
为了转换为矩阵的计算,我们观察到预测函数的形式


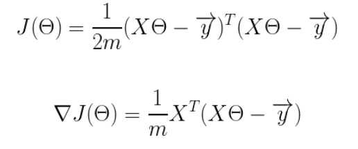
然后我们将代价函数和梯度转化为矩阵向量相乘的形式

三种梯度算法的代码实现
导入函数包
import numpy as np
# 操作系统
import os
%matplotlib inline
# import matplotlib as mpl
import matplotlib.pyplot as pltimport numpy as np
批量梯度下降求解线性回归
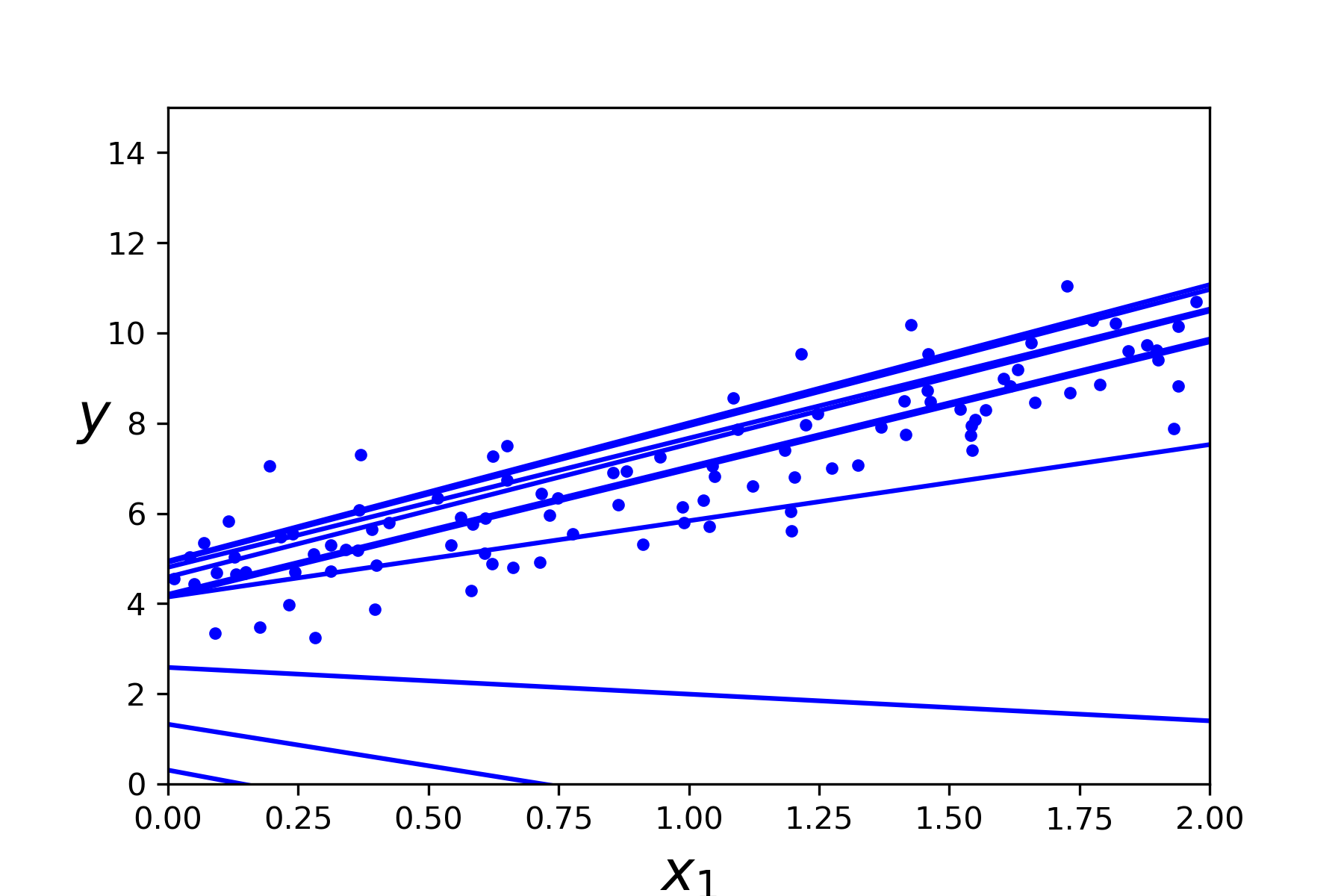
首先,我们需要定义数据集和学习率 接下来我们以矩阵向量的形式定义代价函数和代价函数的梯度 当循环次数超过1000次,这时候再继续迭代效果也不大了,所以这个时候可以退出循环!
eta = 0.1
n_iterations = 1000
m = 100
theta = np.random.randn(2,1)
for iteration in range(n_iterations):
gradients = 1/m * X_b.T.dot(X_b.dot(theta) - y)
theta = theta - eta*gradients
theta_path_bgd = []
def plot_gradient_descent(theta, eta, theta_path = None):
m = len(X_b)
plt.plot(X, y, "b.")
n_iterations = 1000
for iteration in range(n_iterations):
if iteration < 10:
y_predict = X_new_b.dot(theta)
style = "b-"
plt.plot(X_new,y_predict, style)
gradients = 2/m * X_b.T.dot(X_b.dot(theta) - y)
theta = theta - eta*gradients
if theta_path is not None:
theta_path.append(theta)
plt.xlabel("$x_1$", fontsize=18)
plt.axis([0, 2, 0, 15])
plt.title(r"$\eta = {}$".format(eta),fontsize=16)
np.random.seed(42)
theta = np.random.randn(2,1)
plt.figure(figsize=(10,4))
plt.subplot(131);plot_gradient_descent(theta, eta=0.02) #一排三个 第一个
plt.ylabel("$y$", rotation=0, fontsize=18)
plt.subplot(132);plot_gradient_descent(theta, eta=0.1, theta_path=theta_path_bgd ) #一排三个 第二个
plt.subplot(133);plot_gradient_descent(theta, eta=0.5)
save_fig("gradient_descent_plot")

随机梯度下降
theta_path_sgd = []
m = len(X_b)
np.random.seed(42)
n_epochs = 50
theta = np.random.randn(2,1) #随机初始化
for epoch in range(n_epochs):
for i in range(m):
if epoch == 0 and i < 10:
y_predict = X_new_b.dot(theta)
style = "b-"
plt.plot(X_new,y_predict,style)
random_index = np.random.randint(m)
xi = X_b[random_index:random_index+1]
yi = y[random_index:random_index+1]
gradients = 2 * xi.T.dot(xi.dot(theta)-yi)
eta = 0.1
theta = theta - eta * gradients
theta_path_sgd.append(theta)
plt.plot(x,y,"b.")
plt.xlabel("$x_1$",fontsize = 18)
plt.ylabel("$y$",rotation =0,fontsize = 18)
plt.axis([0,2,0,15])
save_fig("sgd_plot")
plt.show()

小批量梯度下降
theta_path_mgd = []
n_iterations = 50
minibatch_size = 20
np.random.seed(42)
theta = np.random.randn(2,1)
for epoch in range(n_iterations):
shuffled_indices = np.random.permutation(m)
X_b_shuffled = X_b[shuffled_indices]
y_shuffled = y[shuffled_indices]
for i in range(0, m, minibatch_size):
xi = X_b_shuffled[i:i+minibatch_size]
yi = y_shuffled[i:i+minibatch_size]
gradients = 2/minibatch_size * xi.T.dot(xi.dot(theta)-yi)
eta = 0.1
theta = theta-eta*gradients
theta_path_mgd.append(theta)
三者的比较图像
theta_path_bgd = np.array(theta_path_bgd)
theta_path_sgd = np.array(theta_path_sgd)
theta_path_mgd = np.array(theta_path_mgd)
plt.figure(figsize=(7,4))
plt.plot(theta_path_sgd[:,0], theta_path_sgd[:,1], "r-s", linewidth = 1, label = "Stochastic")
plt.plot(theta_path_mgd[:,0], theta_path_mgd[:,1], "g-+", linewidth = 2, label = "Mini-batch")
plt.plot(theta_path_bgd[:,0], theta_path_bgd[:,1], "b-o", linewidth = 3, label = "Batch")
plt.legend(loc="upper left", fontsize = 16)
plt.xlabel(r"$\theta_0$", fontsize=20)
plt.ylabel(r"$\theta_1$", fontsize=20, rotation=0)
plt.axis([2.5,4.5,2.3,3.9])
save_fig("gradients_descent_paths_plot")
plt.show()
