数组
数组的数据呈线性排列的一种数据结构。
01.概念

例图中:arr就是数组的名字,[]中的数字是数组的下标,下标从0开始。(如:arr[1]的数据是2)
02.存储方式
数组的数据按照顺序的存储方式在内存的连续空间,也因此数组的长度是固定的。
03.访问
通过数组下标直接访问想要的数据。例如:想访问'3',直接arr[2]便可以。
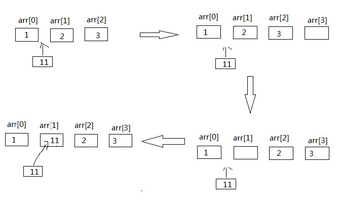
04.插入

将'11'插入到第二个位置,需要在数组末尾增加一个存储空间,为了新数据'11'有位置,先将已有的数据'2'和'3'各往后移动一个存储空间,最后让出来的位置即插入新数据'11',即完成了数组的插入数组操作。
05.删除

删除数组中数据'11',接着后面数据'2'和'3'往空位置移(先'2'往前移,接着'3'也跟着往前移),最后再删除多余的空间。
06.总结
- 数组是顺序存储方式,通过下标访问,所以查找数据是便利的。
- 根据数组下标随机访问的时间复杂度为O(1)。
- 数组的添加和删除略显麻烦。就像添加新数据,需要把目标位置后面的数据往后移,目标位置后面数据的下标值也随之变化。