图布局 VS 人类是如何利用能源的?

1,311 阅读17分钟
引言 —— 你知道能源是如何流转的吗?人类是如何掌控能源的来源、中间环节、最终去向的?如何生成一张清晰表达能源流转的图?数以百计的图布局算法,究竟哪个适合展示能源流转?本文将分析各种布局,最终以最佳方式展现能源的流转。如果你想直接查看能量图最终结果及其分析,请直接滑至本文结尾处。
本文中的图可视化由 G6 提供支持。
G6 —— 专业的图可视化引擎。让关系数据变得简单透明,让用户获得 Insight。
G6 官网:antv.alipay.com/zh-cn/g...。欢迎关注。
GitHub:github.com/antvis/g6。欢迎 Star。


0 前言

从古至今,能源都是人类生存的基础。古时候,人们利用如动物粪便、草木柴薪等生物能源为之提供光和热。现代社会,能源的来源更丰富了:石油、核能、风力……人类更加离不开能源,它也是社会发展和经济发展的推动力。能源的来源和节约是人们关注的问题。那么,当今人类又是如何掌控和利用能源的呢,又有多少能源是被人类白白浪费的?为了分析上述能源数据,本文将与您一起探索如何制作能量图可视化。如果您(不想看啰里八嗦的布局选择)想直接查看能量图的最终可视化及其分析,请直接滑至本文结尾处

在上一篇 Graph Visualization · 知多少:《Hello World 图可视化》 一文中,我们已经知道了图的可视化方法主要有三种:弧线图、邻接矩阵、点线图。其中,点线图(如下图,点线图是由节点和线/边构成的图,节点是实体/对象,边是对象间关系)是最为流行的一种。本文将围绕点线图,设计一个适合展示能源流转的图可视化。

                                  

1 能源数据 -> 图

本文使用的能源数据是各个能源环节之间的能源输入、输出关系。例如从太阳能到电能的能量流转、电能到家用电的能量流转等。

图特别适用于展现实体/对象之间的关系。而能量数据的重要信息也在于各环节之间的能量流转关系。每个能源流转/转换是存在于两个相关环节之间的。因此每个环节可以被视作点线图中的节点,能源流转则是连接两个环节节点的边。

                                               

2 能源图 VS 布局

什么是布局?
布局是点线图中的节点位置的放置方式。相对应地,布局算法是用于自动计算节点位置的算法。举个栗子,上图中太阳能节点在左侧,电能节点在中间,其他节点在右侧,这样的安排就算是一种布局。在节点较多、关系复杂的图上,无法手动指定每个节点位置。此时可以借助布局算法,依据关系自动计算节点位置。有了合理的布局,才能可视化出清晰的关系。

为什么要用布局算法?
以能源数据为例,如果要将能源数据呈现成为屏幕中的一张图,就需要为每一个节点指定它在屏幕中的位置。然而能源数据中的对象和关系非常复杂,手动指定位置不现实(不信你手动摆一摆节点试试,能拖出一个合理美观的图算我输),只能依靠强大的布局算法。


-PD:布局算法这么厉害,那我用一下就完事儿了呗? -我:NoNo,布局算法有好多好多呢,下图随便列举了几个,你随意感受一下,你知道哪种更好吗?- PD:as#%9jafsk31#!!!...

布局方法千千万,究竟哪种最好?我们认为,布局没有好坏之分,只有适合与否之分。根据不同的数据结构、使用场景、分析需求,选定一个合适的布局是一个图可视化是否成功的关键。下文将分析各类布局中较为常见的算法,最终选取适合能源图的布局。

在图可视化中,根据其数据的结构中是否存在环,可以归类为一般图和树图(Tree Graph)。一般图允许存在环,而树图中不存在环。下面,我们将分析多种树图布局、一般图布局,以选择和适用于能源流转的图可视化布局。


2.1 树图布局

离散数学告诉我们,树是一种数据结构。相比于一般图的数据结构,树图不存在环,除根节点外,每个节点只有一个先继(父)节点。树更简单、更易理解。

                                        

树图常被应用在家谱、生物进化等表达中,从根到叶子的一条路径代表了从源头到最终形态的过程(我是 7 号,我爸爸的爸爸的爸爸是谁?)

对于树图,研究者们提出了不少树图的布局。这些布局各有优劣,图 3(左)[1]最为直观,但它对屏幕空间的利用率不高。图 3(中)[1]将树根据节点的深度布局成辐射状,以更好地利用空间。图 3(右)[2]显示的气球布局将子树布局到父节点周围。但后两种方法不如图 3 (左)图清晰,用户常常在探索过程中感到困惑。


图 3. 点线图布局策略:(左)大规模图的经典层次视图。(中)辐射状视图。(右)气球视图。

对于经典的层次视图,根据层级之间的放置规律,已有一些成熟的算法,图 4 使用 G6 提供的几种树图布局(在线 demo 点【这里】


图 4. 使用 G6 绘制的树图:(左)紧凑树布局 CompactBox 将深度相同的节点放置在同一视觉层级上。(中)脑图树布局 Mindmap 可以将分支分离到根节点的左右两侧。(右)辐射树布局。

与树图相似,能源图希望表达从能源的来源到最终去向的路径。但别忽略了其中的环结构:如下图,由于能源的流失也算是一个去向节点,电力的来源可能来自于核能、风能等,电力的去向也可能是工业或流失等,而核能也可能直接流失了。显然,由于数据结构的问题,能源图应该被划分到一般图。上述树图布局都不适用。

                                            

2.2 树 + 回溯边(非树边)布局

既然能源图数据不是一个树结构,那么,我们是否能借助树图的层次和简明性,降低其复杂性呢?一些图可视化研究者从一般图的抽取一棵生成树进行展示,不展示回溯边(非树边)。例如 图 5 展示了从灰色的原图计算了其最小生成树(红色):

                                

图 5. 原图是灰色及红色所有元素组成的图,所有节点及红色边构成的图是原图的最小生成树(Minimum Spanning Tree)。

但直接展示最小生成树必然丢失一些重要的关系信息(非树边)。因此,一般图还可以被可视化为树 + 非树边。在绘制完生成树后,将剩余的非树边绘制回图上(见图 6(左)[3])。例如经典的树图[3],辐射状视图[4],以及 treemap 视图[5][6]。许多可视化系统,例如[3][4][6][7][8][9][10][11],都使用了这种方法。


图 6. 树+边布局:(左)经典树布局增加了其他非树边。(中)辐射状视图增加了其他非树边。(右)Treemaps 视图增加了其他非树边。

现在,我们尝试使用树图 + 回溯边的方式布局能源流转图。树图虽然易于观察和探索,但选取的根节点合适与否将会影响整个图的表达,根节点一般是一个能够代表图的起源或开端的节点(爸爸的爸爸的爸爸是不能乱选的!)。图 7 所示的能源图树布局选取的根节点并不是所有能源环节的源头,这是因为能源图中的起源点可能不只一个,核能、石油、风能、潮汐能一类能源的最初形态都是能源流转的起源。也就是说在该图上,选取任何一个节点作为根节点都不合适。另外,图 7(右)将非树边绘制回图上后,产生了一些很长的边,跨越整个图,造成了众多边交叉,这些是不符合图布局的美学原则[11]的。(啊喂,那几条竖直的边,你到底是要连到谁呀。)


图 7. (左)从能源图抽取的树,使用紧凑树布局。(右)将非树边(浅灰色边)绘制到左图的树布局中。

虽然在这种布局方式在能源图上不适用,但若数据的边是包含层次关系类型的多种类型的边,树+边布局则非常适用。例如,WebMap[8]一文设计了用户网页浏览器浏览历史记录的可视化。如果网页 A 被第一次访问,一个代表该网页的新节点将会被添加在它的先继节点(即代表上一个网页的节点)之后。如果网页 A 曾经被浏览过,当其再次被浏览时,一个穿过树结构的非树边将会被创建以连接节点 A 和它的先继节点。


2.3 其他布局方法

既然使用树布局的方法展示非树结构的能源图不合适,下文将尝试其他一般图布局方法。(不要为了一棵树放弃一片森林啊。)


2.3.1 弹簧布局 / 力导向布局

弹簧布局,即被熟知的力导向布局,是另一种流行的一般图布局策略。在弹簧布局中,一般图被建模成具有环和弹簧的物理系统。作为绘制一般图的最早实际算法之一,弹簧布局最早在 1984 年被 Eades[12]提出后,被许多研究重新定义和改进[13][14][15][16][17]

                                  
图 7. 力导向布局。
扩展:研究人员还尝试使用弹簧的原理减少节点的重叠[10][18]。完全解决一个小空间范围内的图中所有节点的重叠问题,已被证明是 NP 难的[19](PD:能不能把这个边交叉、点重叠搞少一点,好丑好乱。我:优化优化可以,全部消除是莫得办法的呀,NP 难的世界难题,你给我搞笔科研经费我给你研究一辈子试试。)


图 8 尝试使用力导向布局展示能源图,节点大小映射了该能源环节点的总能量值;边的箭头代表能源流转的方向,粗细代表沿该流转的能量值。可以发现与电力网(Electricity grid)节点相关的边数量最多,但它的总能量值不如 热能生成(Thermal generation)节点,这是个有趣的发现,原来人们对电能的产生和使用渠道比较多,但对热能的需求量更高。同样,从节点大小和相关边数量还可以看出,人类对太阳能(Solar)、氢气能(H2)、风能(Wind)等清洁能源的利用还比较小。


图 8. 使用力导向图布局展示能源图。

虽然力导向图能够带给我们一些有趣的信息,但我们还是难以清晰了解能源从产生到使用的各环节流转情况。力导向图的另外一个弊端在于,它的计算量庞大(需要 [公式] 甚至 [公式] 的时间复杂度),一遇到大规模图算法就要宕机了。而且,力导向算法在可预测性方面存在缺陷 —— 相同算法在同样的输入下,每次运行的结果可能完全不同。由于用户的导航探索重度依赖于图的视觉表现,这种不可预测性在某些场景中导致了一些严重的问题。如 图 9 所示,力导向算法在能量图数据上又运行了 3 次,均产生了不同的布局结果,这将导致用户在探索、对比时的心理地图遭到破坏。(PD:喂喂,这几张真的是同一幅图吗?你的代码是不是有问题,改了我的数据!?我:冤枉啊。)


图 9. 使用同样的数据,每次运行经典力导向算法的布局结果都不同。


2.3.2 形状导向的点线布局

为突出某些信息或达到某些视觉需求,一些形状导向的点线布局被提出。例如环状布局(Circular Layout)可用于突出数据结构中的环,但如 图 10(左)将之应用到非环结构的图上时,节点的排列顺序将会影响边的交叉数量;再如图 10(中)的格子布局(Grid Layout)可以让简单图看起来十分规整,但在关系复杂的图上将会出现大量长边和边交叉。显然,这两种布局对于分析能源图没有太大的帮助,只能满足一种“整齐”的视觉需求。(PD:嗯嗯,一家人整整齐齐,真不错。我:这...你能分析出啥?)


图 10. 使用 G6 制作的形状导向布局:(左)环状布局。(中)格子布局。(右)辐射状布局。

辐射状布局(Radial Layout)是辐射状树布局[1]的扩展,可突出关注点与其他节点的最短路径关系。图 11 使用 G6 展示了能量图的辐射状布局,其关注点是核能(Nuclear)。作为能源起源点之一,根据其输出可以发现核能(Nuclear)的能量全部用于热转换(Thermal generation)。根据关系边的粗细可以发现,热转换后大部分流失了(Losses)(心疼 1 秒钟),还有一部分被转换为电力(Electricity grid)和供暖(Distrct heating),接下去用户可以探索电力网的直接输入与输出环节。辐射状布局适用于探索关注点的一度关系、二度关系、...等,但在能源图上,我们更希望从多个能源起源点出发,关注能源流转。因此,辐射状布局并不完全适用。


图 11. 使用 G6 展示辐射状布局的能量图。

2.3.3 层次 / 流程图布局

为了展示能量图中各环节的流转,流程图似乎比较适合。我们尝试使用层次布局算法 Dagre 进行布局,它根据有向图数据中边的方向将节点进行分层。如 图 12 所示,能源的起源点(只有输出边,没有输入边的节点)大部分被放置在了第一层(最左侧),把源头放在开始观察的位置比较符合能源图的观测需求,但如核能(Nuclear)、风能(Wind)等部分起源节点并没有被放置在第一层,这是 Dagre 的计算机制导致的。因此,层次布局仍然不能完美地符合“源头 -> 中间环节 -> 最终输出”的观察过程。


图 12. 使用 G6 内置的 Dagre 层次布局算法展示能源图。

2.3.4 流图 / 桑基图 —— 最终选择

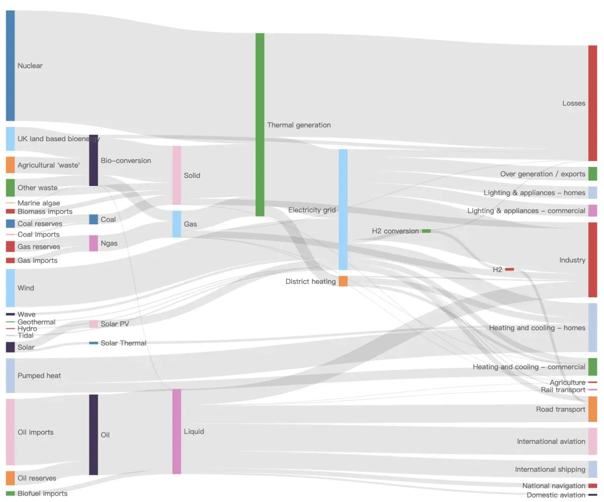
(PD:有完没完了,快给我个痛快!我:喳,瞧好了您呐。)严格来说,桑基图不算是完全意义上的点线图。与流程图类似,它将自动根据边的走向对节点进行分层以表达流向(一般是从左到右),并使用高度不同的矩形代表节点,带有宽度的边代表两端点间流量,一个节点输入边宽之和或输出边宽之和等于节点的高度,从而可以映射每种流量的占比。(说起来有点抽象,看 图 13 就明白啦。)

由上文中的流程图得到启发,我们重新审视能量图可视化的需求:

  • 满足“源头 -> 中间环节 -> 最终输出”的层次观测观测需求;
  • 能够展示出节点、边的流量(能量值)及其占比;
  • 能量的流转方向。

总而言之,能量图最重要的是表达“流”、“层次”信息。那么,流图或桑基图应该特别适用。如 图 13 所示,节点高度表示该环节总能量值,边的粗细代表其两端点之间的能量传输值。所有的起源节点被放置在第一层(最左侧),最终输出节点在最后一层(最右侧)。可以清晰探索每一条能源流的走向、环节。

交互 Demo 点【这里】


图 13. 使用 G6 绘制的能量流转桑基图。

(我:PD 大大,来分析一波吧)基于 图 13 的能量流转桑基图,可以分析:

  • 根据节点大小可以发现核能(Nuclear)的能量值是所有能源源头中能量值最高的,其次是石油(Oil imports)、风能(Wind);
  • 能源最终输出中,最大的一部分竟然是被流失了(Losses)(人类真该好好思考如何提高能量转换率呢),其次是工业(Industry)、家庭采冷暖(Heating and cooling -homes);
  • 在中间环节里,热能转换(Thermal generation)的能量值最高,其次是电力网(Electricity grid);
  • 还可以发现能源可以被划分为固体(Solid)、气体(Gas)、液体(Liquid)三类,其中包含石油在内的液体占比最高,它的主要使用场景是运输(公路运输 Road transport,海运 International shipping、航运 International aviation)及工业,而气体、固体则主要用于产热与产电;
  • 人类对清洁能源的使用量不高,代表潮汐能(Tidal)、太阳能(Solar)、氢气能(H2)、水电(Hydro)的节点都非常小;
  • 有一种少见的能源 —— 海藻能(Marine algae)出现在了起源节点中,查阅相关资料发现这是一种绿色能源,可以用于制作海草燃料和海草油;
  • ...... 更多信息由您来探索啦。


3 结束语

点线图可视化依赖于图布局算法,应当根据数据特性、分析需求、结合终端用户的心智,在茫茫算法中选择合适的一种。图可视化不是只有力导向一种,力导向图并不能解决所有需求鸭。

两个点,一条边,就是一幅图:图可视化就是这么简单;但它又变化无穷,姿态万千:图可视化又是这样复杂。时而极简,时而繁华,时而文艺,时而张扬,这就是图可视化的魅力所在吧。

想要看到更多图可视化小知识,持续关注《Graph Visualization · 知多少》哦!

本文中的图可视化由 G6 提供支持。
G6 —— 专业的图可视化引擎。让关系数据变得简单透明,让用户获得 Insight。
G6 官网:antv.alipay.com/zh-cn/g...。欢迎关注。
GitHub:github.com/antvis/g6。欢迎 Star。


参考

  1. ieeexplore.ieee.org/abstract/do…
  2. pdfs.semanticscholar.org/972c/884f59…
  3. www.academia.edu/5636645/Lat…
  4. ieeexplore.ieee.org/document/12…
  5. pdfs.semanticscholar.org/2f43/a4490e…
  6. www.cs.jhu.edu/~misha/Read…
  7. www.researchgate.net/publication…
  8. www.sciencedirect.com/science/art…
  9. www.academia.edu/25370586/We…
  10. link.springer.com/chapter/10.…
  11. www.researchgate.net/publication…
  12. www.it.usyd.edu.au/~peter/old_…
  13. citeseerx.ist.psu.edu/viewdoc/dow…
  14. www.researchgate.net/publication…
  15. citeseerx.ist.psu.edu/viewdoc/sum…
  16. www.researchgate.net/publication…
  17. citeseerx.ist.psu.edu/viewdoc/dow…
  18. www.sciencedirect.com/science/art…
  19. www.wisdom.weizmann.ac.il/~harel/pape…