Flutter核心技术与实战

3,184 阅读6分钟

04 | Flutter区别于其他方案的关键技术是什么?

Flutter 是怎么运转的?

Flutter 是重写了一整套包括底层渲染逻辑和上层开发语言的完整解决方案。

Flutter 和其他跨平台方案的本质区别:

React Native 之类的框架,只是通过 JavaScript 虚拟机扩展调用系统组件,由 Android 和 iOS 系统进行组件的渲染;

Flutter 则是自己完成了组件渲染的闭环。

Flutter 是怎么完成组件渲染的呢?

在计算机系统中,CPU 负责图像数据计算,GPU 负责图像数据渲染,而显示器则负责最终图像显示。 CPU 把计算好的、需要显示的内容交给 GPU,由 GPU 完成渲染后放入帧缓冲区,随后视频控制器根据垂直同步信号(VSync)以每秒 60 次的速度,从帧缓冲区读取帧数据交由显示器完成图像显示。

Skia 是什么?

Skia 是一款用 C++ 开发的、性能彪悍的 2D 图像绘制引擎,架构于 Skia 之上的 Flutter,也因此拥有了彻底的跨平台渲染能力。

Flutter 的原理

  • Embedder 是操作系统适配层,实现了渲染 Surface 设置,线程设置,以及平台插件等平台相关特性的适配。
  • Engine 层主要包含 Skia、Dart 和 Text,实现了 Flutter 的渲染引擎、文字排版、事件处理和 Dart 运行时等功能。Skia 和 Text 为上层接口提供了调用底层渲染和排版的能力,Dart 则为 Flutter 提供了运行时调用 Dart 和渲染引擎的能力。而 Engine 层的作用,则是将它们组合起来,从它们生成的数据中实现视图渲染。
  • Framework 层则是一个用 Dart 实现的 UI SDK,包含了动画、图形绘制和手势识别等功能。为了在绘制控件等固定样式的图形时提供更直观、更方便的接口,Flutter 还基于这些基础能力,根据 Material 和 Cupertino 两种视觉设计风格封装了一套 UI 组件库。我们在开发 Flutter 的时候,可以直接使用这些组件库。

以界面渲染过程为例,和你介绍 Flutter 是如何工作的。

页面中的各界面元素(Widget)以树的形式组织,即控件树。Flutter 通过控件树中的每个控件创建不同类型的渲染对象,组成渲染对象树。而渲染对象树在 Flutter 的展示过程分为四个阶段:布局、绘制、合成和渲染。

布局(类似Android的onMeasure和onLayout,先确定子View的大小和位置)

Flutter 采用深度优先机制遍历渲染对象树,决定渲染对象树中各渲染对象在屏幕上的位置和尺寸。在布局过程中,渲染对象树中的每个渲染对象都会接收父对象的布局约束参数,决定自己的大小,然后父对象按照控件逻辑决定各个子对象的位置,完成布局过程。

为了防止因子节点发生变化而导致整个控件树重新布局,Flutter 加入了一个机制——布局边界(Relayout Boundary),可以在某些节点自动或手动地设置布局边界,当边界内的任何对象发生重新布局时,不会影响边界外的对象,反之亦然。

绘制(类似Android的onDraw方法)

布局完成后,渲染对象树中的每个节点都有了明确的尺寸和位置。Flutter 会把所有的渲染对象绘制到不同的图层上。与布局过程一样,绘制过程也是深度优先遍历,而且总是先绘制自身,再绘制子节点。

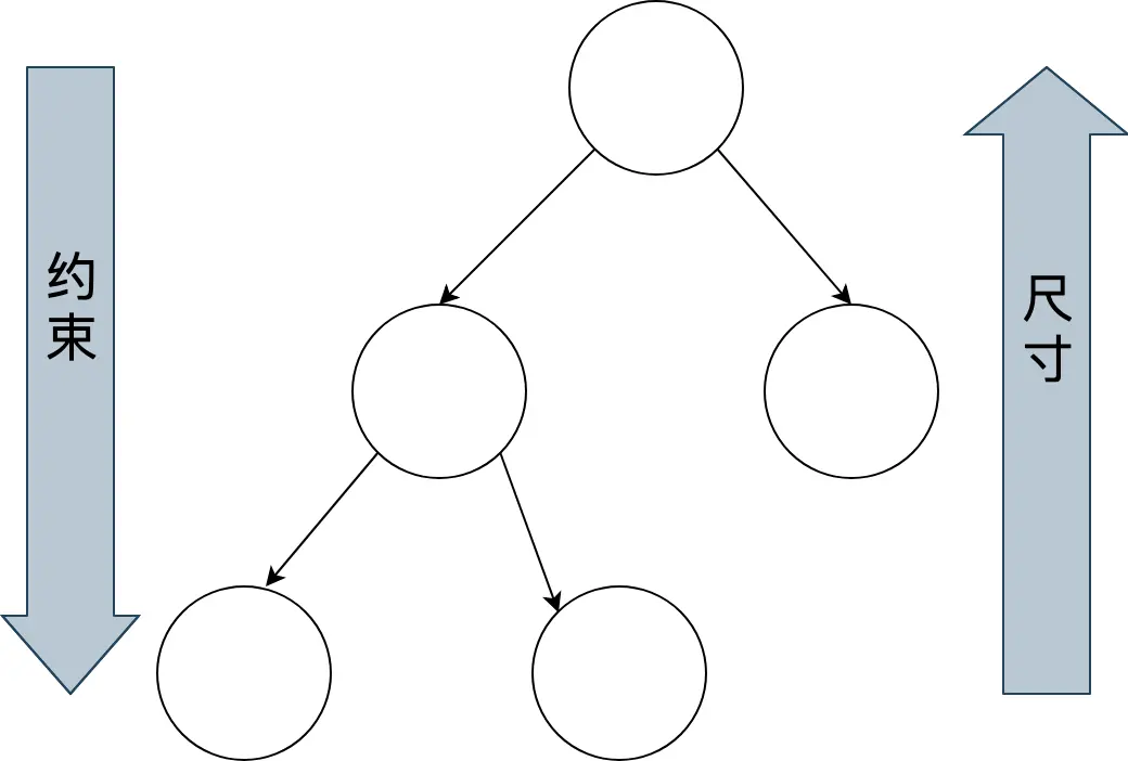
以下图为例:节点 1 在绘制完自身后,会再绘制节点 2,然后绘制它的子节点 3、4 和 5,最后绘制节点 6。

可以看到,由于一些其他原因(比如,视图手动合并)导致 2 的子节点 5 与它的兄弟节点 6 处于了同一层,这样会导致当节点 2 需要重绘的时候,与其无关的节点 6 也会被重绘,带来性能损耗。

为了解决这一问题,Flutter 提出了与布局边界对应的机制——重绘边界(Repaint Boundary)。在重绘边界内,Flutter 会强制切换新的图层,这样就可以避免边界内外的互相影响,避免无关内容置于同一图层引起不必要的重绘。

重绘边界的一个典型场景是 Scrollview。ScrollView 滚动的时候需要刷新视图内容,从而触发内容重绘。而当滚动内容重绘时,一般情况下其他内容是不需要重绘的,这时候重绘边界就派上用场了。

合成和渲染

终端设备的页面越来越复杂,因此 Flutter 的渲染树层级通常很多,直接交付给渲染引擎进行多图层渲染,可能会出现大量渲染内容的重复绘制,所以还需要先进行一次图层合成,即将所有的图层根据大小、层级、透明度等规则计算出最终的显示效果,将相同的图层归类合并,简化渲染树,提高渲染效率。

合并完成后,Flutter 会将几何图层数据交由 Skia 引擎加工成二维图像数据,最终交由 GPU 进行渲染,完成界面的展示。

05|Flutter工程初探

首先,我们打开 Android Studio,创建一个 Flutter 工程应用 flutter_app。Flutter 会根据自带的应用模板,自动生成一个简单的计数器示例应用 Demo。

工程结构

Flutter 工程实际上就是一个同时内嵌了 Android 和 iOS 原生子工程的父工程:我们在 lib 目录下进行 Flutter 代码的开发,而某些特殊场景下的原生功能,则在对应的 Android 和 iOS 工程中提供相应的代码实现,供对应的 Flutter 代码引用。

Flutter 会将相关的依赖和构建产物注入这两个子工程,最终集成到各自的项目中。而我们开发的 Flutter 代码,最终则会以原生工程的形式运行。

下面是Demo代码流程图

需要注意的是:状态的更改一定要配合使用 setState。

Widget 只是视图的“配置信息”,是数据的映射,是“只读”的。对于 StatefulWidget 而言,当数据改变的时候,我们需要重新创建 Widget 去更新界面,这也就意味着 Widget 的创建销毁会非常频繁。

为此,Flutter 对这个机制做了优化,其框架内部会通过一个中间层去收敛上层 UI 配置对底层真实渲染的改动,从而最大程度降低对真实渲染视图的修改,提高渲染效率,而不是上层 UI 配置变了就需要销毁整个渲染视图树重建。