ICDM2019|高潜人才识别:一种基于神经网络的动态社交画像方法

348 阅读10分钟

你和“懂AI”之间,只差了一篇论文

很多读者给芯君后台留言,说看多了相对简单的AI科普和AI方法论,想看点有深度、有厚度、有眼界……以及重口味的专业论文。

为此,在多位AI领域的专家学者的帮助下,我们解读翻译了一组顶会论文。每一篇论文翻译校对完成,芯君和编辑部的老师们都会一起笑到崩溃,当然有的论文我们看得抱头痛哭。

同学们现在看不看得懂没关系,但芯君敢保证,你终有一天会因此爱上一个AI的新世界。

读芯术读者论文交流群,请加小编微信号:zhizhizhuji。等你。


ICDM2019

高潜人才识别:一种基于神经网络的动态社交画像方法

Identifying High Potential Talent: A Neural Network based Dynamic Social Profiling Approach

中国科学技术大学,百度

本文是中国科学技术大学和百度TIC联合发表于ICDM 2019的工作,文章提出了一种基于神经网络动态社交画像的高潜人才识别方法,可以帮助企业管理者进行有效的优秀人才选拔。

原文:

Yuyang Ye, HengshuZhu, Tong Xu, Fuzhen Zhuang, Runlong Yu, Hui Xiong, Identifying HighPotential Talent: A Neural Network based Dynamic Social ProfilingApproach , In Proceedings of 2019 IEEE International Conference onData Mining (ICDM-2019), Beijing, China, 2019

引言

在当今高速发展的商业环境中,现代公司为了保持它们的竞争力以及支撑其长久发展策略,都在持续提高其人才选择和发展策略,为此它们承受着巨大的压力。高潜力人才(HIPOs)通常被视为企业未来的领导人,与他们的同行相比,他们具有领导能力、商业敏锐性以及更强的进取心,往往提升的更快。高潜力人才在企业策略的实施以及企业组织结构的优化过程中扮演着很重要的角色,正因为如此,在人力资源管理中,前瞻性地识别和发展高潜力人才,特别是在新入职员工的高潜力人才,是一个重要的问题,我们需要特别关注未来的企业领导者的培养。

现今存在的一些高潜力人才识别方法通常基于人力资源专家的主观选择,这会造成一些无意中的偏差和不一致性。随着管理信息系统的飞速发展,我们积累了大规模人才数据,它们为商业领导者们提供了一个利用数据驱动方法识别人才的机会。因此,在本文中我们提出了一种通过建模新入职员工在企业组织结构通讯网络中的动态变化,以量化地识别高潜力人才的数据驱动方法。我们的基本假设是高潜力人才往往表现的更活跃且比他们的同事更能在工作中快速地积累它们的社交资本。因此虽然我们不能通过一些类似薪水的显式线索去识别高潜力人才,但是我们可以通过一些隐式信息例如社交关系和中心度来高潜力人才进行挖掘。我们希望利用机器学习的方法来量化解决高潜力人才识别问题,并且从社交建模的观点引入一个新视角。

沿着此思路,仍然有两个挑战亟需解决。首先,为了有效的表示员工的社交资本,我们有必要全面地建模员工在组织社交网络中的画像。其次,如何动态的捕捉用户社交画像的动态变化并与此同时给人力资源专家提供可解释性,也是需要解决的问题。

模型

在本文中,我们提出了一种基于动态社交画像建模的神经网络。该神经网络结构如下图所示,其输入为一个网络序列,其中每个元素即员工入职之后第k个月的组织社交网络。我们的模型可以分为三个部分,分别是员工社交画像建模、社交动态变化建模、以及高潜力人才识别部分。

首先,在第一部分中,为了更全面的进行员工社交画像建模,我们在组织社交网络中定义了两种信息,即局部信息和全局信息,通过这两种信息来建模员工社交画像。其中,局部信息描述的是工作中紧密联系的同事带来的社交环境,而全局信息则反映了员工在整个组织社交网络中的社交状态。

对于局部信息,为了更好的捕捉每个员工所处的社交环境并且消除不相关同事所带来的影响,我们建立了一种ego-network,包含了他们的一跳和二跳邻居,分别表示有直接和间接交互的同事。对于图的表示学习方法,(Kipf,2016)等工作提出了图卷积神经网络(GCN)的相关方法并取得了很好的效果,而对于我们所建立的二跳ego-network,我们设计了一种基于双层GCN的模型,去更全面的抽取一跳邻居和二跳邻居的信息。对于一个邻接矩阵为的ego-network,我们通过下列函数即可求得其表示,并以这种表示作为员工的局部信息表征。

其中表示员工的基本属性矩阵,其中包含量化属性(上下级数量,工作时间等)和类别属性(职位级别,部门信息等),我们通过归一化和average-pooling的方式预处理这些属性并将它们转化为一个输入矩阵,W、b则是双层网络的网络参数。

对于全局信息,为了更好反映员工在整个网络中的社交状态,我们设计了基于社交中心度分析的方法去建模员工的全局社交信息。这里我们的输入是整张网络,在这张图上我们计算了如下图所示的九种社交中心度指标,之后经过标准化操作对于每一个员工我们都可以得到一个9维的表示向量。另外,我们通过分析数据集中高潜力人才和非高潜力人才的这几种指标的变化情况,最终证明相比较于普通员工,高潜力人才可以快速的提升他们的社交中心度,这也直接验证了我们的假设。

最后,我们通过拼接局部信息和全局信息的表示向量,得到最终需要的员工社交画像的表示,进一步由于我们的输入是一个网络序列,我们也会得到一个表征序列

其次,我们设计了一个基于LSTM的网络,根据输入的用户社交画像表示序列,去捕获用户在早期生涯中的社交画像动态变化。该部分的公式如下所示,最终我们可得到一个LSTM的隐藏表示序列

与此同时,为了提升我们的模型的可解释性,我们使用全局注意力机制去评估在每个月中,员工的社交画像对于最终的高潜人才识别结果的贡献。计算方式如下,

其中,即员工i在第j个月的社交画像表征所具有的权重,则是最终的输出向量,表示员工i的社交画像的变化。

于是,在最后一个部分,我们可以以作为输入,将我们的问题转化为一个二分类问题解决,首先通过全联接网络将其变为一个二维向量,再用Softmax函数得到最终分类结果。若y=1则该员工为高潜力人才,若y=0则其不是高潜力人才。

实验

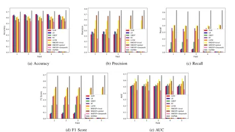
本文中,我们在真实的人才数据集上验证了我们的方法的有效性和可解释性。我们的数据集来自中国的一家高科技公司,它包含了由企业交互网络构建出的共36个月的组织社交网络,其中每个员工有31种属性。而对于我们的问题,由于我们的目的是在新入职员工中前瞻性的找到高潜力人才,在一些预处理后,我们得到了1341位高潜力人才候选者。另外,我们使用由人力资源专家给出的高潜人才列表作为ground-truth。在实验中,我们将两层GCN网络的隐层维数分别设置为128和64,LSTM的隐层维数设置为128,batch size设置为64,dropout概率为0.5,并在学习过程中采用了欠采样的方法,最后我们使用了Adam优化器优化模型,学习率设置为0.01。由于我们的问题可以作为一个二分类任务,我们采用Accuracy、Precision、Recall、F1-score和AUC作为我们实验结果的的评估指标。最终,实验结果如下图所示,

可以看到,在各个评价指标上,我们的模型相比较各个baseline效果都有显著的提升。

另外,我们还分别做了三个鲁棒性实验,分别是我们的模型在不同的观测长度(即输入网络序列长度)下的表现、模型在不同训练集比例下的表现、在不同的训练/测试集划分方式下的表现,结果如下所示:

最后,我们给出了一些case study来验证模型的可解释性,我们给出了10名员工在入职后各个月社交画像对于高潜力人才识别结果的权重,颜色越深则代表权重越高,可以明显地看出员工在第四第五个月的社交画像是比较重要的。在实际应用中,人力资源专家也应重点关注在此期间内员工的表现。

我们也用PCA降维的方法展示了模型所学的表征,由下图可知模型可以明显的区分开高潜力人才和非高潜力人才,进一步证明我们所学的表征是有效的。


结论

在本文中我们提出了一种基于神经网络的量化方法,通过建模员工在社交网络中的行为的动态变化,去解决新入职员工中高潜力人才识别的问题。我们的基本假设是高潜力人才往往会表现的更活跃且相比普通员工更具有在工作中积累其社交资本的竞争力。特别的,我们通过图卷积网络和社交中心度分析全面的建模了员工社交画像,随后设计了一种带有全局注意力机制的LSTM网络去捕捉员工早期生涯中社交画像的变化,最后我们通过实验清晰的验证了我们的模型在真实数据集上的有效性。此外,我们也展示了模型的可解释性。


推荐阅读专题

留言 点赞 关注

我们一起分享AI学习与发展的干货
欢迎关注全平台AI垂类自媒体 “读芯术”


(添加小编微信:dxsxbb,加入读者圈,一起讨论最新鲜的人工智能科技哦~)