LeetCode——160. 相交链表

177 阅读2分钟

编写一个程序,找到两个单链表相交的起始节点。

如下面的两个链表:

在节点 c1 开始相交。

示例 1:

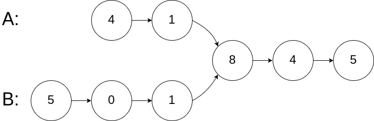
输入:intersectVal = 8, listA = [4,1,8,4,5], listB = [5,0,1,8,4,5], skipA = 2, skipB = 3
输出:Reference of the node with value = 8
输入解释:相交节点的值为 8 (注意,如果两个列表相交则不能为 0)。从各自的表头开始算起,链表 A 为 [4,1,8,4,5],链表 B 为 [5,0,1,8,4,5]。在 A 中,相交节点前有 2 个节点;在 B 中,相交节点前有 3 个节点。

示例 2:

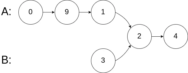
输入:intersectVal = 2, listA = [0,9,1,2,4], listB = [3,2,4], skipA = 3, skipB = 1
输出:Reference of the node with value = 2
输入解释:相交节点的值为 2 (注意,如果两个列表相交则不能为 0)。从各自的表头开始算起,链表 A 为 [0,9,1,2,4],链表 B 为 [3,2,4]。在 A 中,相交节点前有 3 个节点;在 B 中,相交节点前有 1 个节点。

示例 3:

输入:intersectVal = 0, listA = [2,6,4], listB = [1,5], skipA = 3, skipB = 2
输出:null
输入解释:从各自的表头开始算起,链表 A 为 [2,6,4],链表 B 为 [1,5]。由于这两个链表不相交,所以 intersectVal 必须为 0,而 skipA 和 skipB 可以是任意值。
解释:这两个链表不相交,因此返回 null。

解题思路

  • 创建两个指针 pApB,分别初始化为链表 AB 的头结点。然后让它们向后逐结点遍历。
  • pA 到达链表的尾部时,将它重定位到链表 B 的头结点 (你没看错,就是链表 B); 类似的,当 pB 到达链表的尾部时,将它重定位到链表 A 的头结点。
  • 若在某一时刻 pApB 相遇,则 pA/pB 为相交结点。
  • 想弄清楚为什么这样可行, 可以考虑以下两个链表: A={1,3,5,7,9,11} 和 B={2,4,9,11},相交于结点 9。 由于 B.length (=4) < A.length (=6),pBpA 少经过 22 个结点,会先到达尾部。将 pB 重定向到 A 的头结点,pA 重定向到 B 的头结点后,pB 要比 pA 多走 2 个结点。因此,它们会同时到达交点。
  • 如果两个链表存在相交,它们末尾的结点必然相同。因此当 pA/pB 到达链表结尾时,记录下链表 A/B 对应的元素。若最后元素不相同,则两个链表不相交。

代码实现

/**
 * Definition for singly-linked list.
 * function ListNode(val) {
 *     this.val = val;
 *     this.next = null;
 * }
 */

/**
 * @param {ListNode} headA
 * @param {ListNode} headB
 * @return {ListNode}
 */
var getIntersectionNode = function(headA, headB) {
    let p1 = headA
    let p2 = headB
    while(p1 != p2){
        p1 = p1 ? p1.next : headB
        p2 = p2 ? p2.next : headA
    }
    return p1 ? p1 : p2 
};

性能

时间复杂度:O(n)

空间复杂度:O(1)