LeetCode——141. 环形链表

92 阅读1分钟

给定一个链表,判断链表中是否有环。

为了表示给定链表中的环,我们使用整数 pos 来表示链表尾连接到链表中的位置(索引从 0 开始)。 如果 pos 是 -1,则在该链表中没有环。

示例 1:

输入:head = [3,2,0,-4], pos = 1
输出:true
解释:链表中有一个环,其尾部连接到第二个节点。

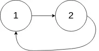
示例 2:

输入:head = [1,2], pos = 0
输出:true
解释:链表中有一个环,其尾部连接到第一个节点。

示例 3:

输入:head = [1], pos = -1
输出:false
解释:链表中没有环。

解题思路

  • 快慢指针(圆形跑道)

代码实现

/**
 * Definition for singly-linked list.
 * function ListNode(val) {
 *     this.val = val;
 *     this.next = null;
 * }
 */

/**
 * @param {ListNode} head
 * @return {boolean}
 */
var hasCycle = function(head) {
    let fast = head 
    let slow = head
    while(fast && fast.next && fast.next.next){
        slow = slow.next 
        fast = fast.next.next 
        if(slow == fast){
            return true
        }
    }
    return false 
};

性能

时间复杂度:O(n)

空间复杂度:O(1)