工业物联网中安全能源交易的联盟区块链
摘要
在工业物联网(IIoT)中,对等(P2P)能源交易无处不在,例如微电网,能源收集网络和车-电网。但是,在这些情况下,不信任和不透明的能源市场会带来常见的安全和隐私挑战。为了解决安全挑战,我们利用联合体区块链技术提出了一个名为能源区块链的安全能源交易系统。该能源区块链可广泛用于P2P能源交易摆脱信任的中介的一般情况。此外,为减少能源区块链上的交易确认延迟而导致的交易限制,我们提出了一种基于信用的支付方案,以支持快速频繁的能源交易。还提出了使用Stackelberg博弈的基于信用的贷款的最优定价策略。基于真实数据集的安全性分析和数值结果表明,所提出的能源区块链和基于信用的支付方案在IIoT中是安全高效的。
索引词-区块链,能源交易,工业物联网(IIoT),安全和隐私,Stackelberg博弈
I. 介绍
工业物联网(IIoT)已引起了学术界和工业界的极大关注,这是未来工业系统转型的重要组成部分[1],[2]。 IIoT通过具有普遍联网和计算能力的传感设备和执行器,为工业系统提供互连和智能[3]。然而,要满足IIoT应用不断增长的能源需求,对于工业系统而言,这是一个巨大的挑战,而IIoT节点的数量和性能要求都在不断增长[4],[5]。 为了应对这一挑战,先前的研究已经提出了在IIoT节点(例如电动汽车)之间的点对点(P2P)能源交易[6]。 IIoT节点可以通过P2P方式与其他节点交换剩余能源,以局部满足能源需求,提高能源效率并减少用于促进绿色工业系统的转移损失。
许多新兴技术已被引入绿色工业系统,例如能量收集,无线电力传输和车辆到电网[7]。 结合这些技术,工业系统会开发出各种高效且可持续的P2P能源交易方案[6]。 以下是IIoT的三种典型P2P能源交易方案。
-
微电网:具有太阳能电池板或风力发电机的智能建筑可以形成微电网,其中建筑物收集环境能量并在微电网之间以P2P方式彼此交换能量。
-
能量收集网络:具有能量收集能力的工业节点可以从可再生能源中获取能量,也可以通过移动充电器使用P2P能源交易中的无线功率传输对自己进行充电。
-
车辆到电网的网络:充当能量存储设备的电动汽车在负载低谷处执行充电操作,并将其能量回馈至电网以减少负载峰值。 车辆还可以在本地聚合器[8],[9]的帮助下以P2P方式将能量出售给附近的充电车辆。
尽管P2P能源交易在IIoT中扮演着至关重要的角色,但对于一般的P2P能源交易场景而言,仍然存在常见的安全性和隐私挑战。
1)IIoT节点在不受信任和不透明的能源市场中进行大规模分散式能源交易是不安全的。 2)由于对隐私的关注,拥有多余能量的IIoT节点可能不愿意作为能源供应商参与其中[10]。 在这种情况下,IIoT节点之间的能源供需不平衡。 3)在P2P能源交易中,有一个中介来审核和验证IIoT节点之间的交易记录。
这种中介遭受诸如单点故障和隐私泄漏[11]的问题的困扰。 因此,重要的是为IIoT中的各种能源交易场景设计一个统一且安全的能源交易系统[11]。 此外,有必要通过设计适当的激励措施来鼓励更多具有多余能源的IIoT节点充当能源销售商。
最近,由于其去中心化,匿名和信任的优势,在能源交易中对区块链技术进行了研究。 区块链是一种开放的,分布式的分类帐,它以可验证的永久方式记录交易,这是比特币的基础架构。 Aitzhan提出了一种基于比特币协议的数字货币“ NRGcoin”,用于智能电网中的可再生能源交易[12]。 [11]利用具有多重签名的区块链来解决分散式智能电网中的交易安全问题。 但是,由于在能源受限的IIoT节点中建立通用区块链的成本较高,因此现有方法可能无法在IIoT节点之间的P2P能源交易中很好地发挥作用。
我们以前的工作[9]已经表明,联盟区块链具有建立具有适度成本的去中心化电力交易系统的潜力。联盟区块链是具有授权节点的特定区块链,用于维护分布式共享数据库。 基于[9],本文进一步利用联盟区块链技术,开发了基于联盟区块链的统一、安全的P2P能源交易系统,即能源区块链。 能源区块链可以在IIoT的不同场景中广泛采用,包括[9]中的车到电网场景。 与[9]中关注电力交易的定价不同,我们首先观察IIoT中典型的P2P能源交易场景。之后,我们提出了一个统一的能源交易框架,其中包括能源买家,卖家和聚集者。 能源区块链建立在预选的能源聚合器(EAG) 上,以在公共能源交易场景中公开审核和共享交易记录,而无需受信任的中介机构。 此外,类似于比特币,能源区块链上的交易确认延迟限制了快速交易,从而导致效率低下[13]。为了应对这一挑战,我们设计了一种基于信用的支付方案,以支持快速频繁的能源交易。 IIoT节点可以根据其从信用银行的信用值申请贷款来完成快速付款。提出了一种针对信贷银行的最佳贷款定价策略,以最大程度地利用信贷银行在IIoT中的效用。
本文的主要贡献是以下三方面:
1)统一能源区块链: 我们观察IIoT中典型的能源交易场景,并为IIoT建立成本适中的统一能源区块链。
2)基于信用的支付: 为了减少交易确认延迟的限制,我们设计了基于信用的支付方案以支持频繁的能源交易,从而实现快速支付。
3)最优定价策略: 对于基于信用的支付方案,我们提出了一种基于Stackelberg博弈的基于信用的贷款的最优定价策略,以最大化信用银行的效用。 数值结果表明,我们的能源区块链和基于信用的支付方案是有效的。
II. IIOT的区块链能源交易
A. 统一的P2P能源交易框架

在IIoT中,P2P能源交易活动无时不发生在IIoT节点之间,以平衡能源供需。 图1显示了第一节中提到的三种典型的P2P能源交易场景,即微电网,能量收集网络和车辆到电网网络。 对于这些典型的能源交易方案而言,至关重要的是要提供一个统一的能源交易框架,从而建立一个用于安全能源交易的能源区块链[14]。 统一的能源交易框架由以下三个部分组成:
1)能源节点:IIoT节点(例如,智能建筑,工业传感器和电动汽车)在P2P能源交易中扮演不同的角色:能源买家,卖家和闲置节点。 每个节点根据能源状况和未来的工作计划选择自己的角色。
2)能源聚合器:EAG作为能源经纪人来管理与交易有关的事件,并为IIoT节点提供无线通信服务。 在不同的能源交易场景中,EAG对应于不同的物理实体。 例如,微电网中的高级计量基础架构可以是EAG。 在能量收集网络中 具有计算和存储功能的基于增强的工作站可以是EAG。 在车辆到电网中,本地集合商可以充当EAG。

图2显示了EAG中的四个实体:交易服务器,信贷银行,帐户池和内存池。 交易服务器收集来自能源节点的能源请求,并匹配这些能源节点的能源交易对。 在这里,一种名为能源币的数字加密货币充当能源节点的数字资产,用于在IIoT中交易能源[9]。 每个能源节点都有一个能源币帐户来存储个人交易记录。 该帐户中有一个相应的钱包来管理个人能源硬币。 我们使用随机化名作为能源节点钱包的公开密钥(称为钱包地址)来替换钱包的真实地址,以保护隐私。 所有钱包与对应的钱包地址和能源硬币账户之间的映射关系存储在本地账户池中。 EAG中的帐户池在能源节点的个人钱包地址中记录和管理能源币资金。 内存池存储本地能源节点的所有事务记录。
3)智能电表:每个IIoT节点中都内置有一个智能电表,可以实时计算和记录交易的能源量。 能源购买者根据智能电表的记录向能源销售者付款。
B. 用于安全的P2P能源交易的统一能源区块链
为了支持安全的P2P能源交易,我们利用联盟区块链建立了基于统一P2P能源交易框架的能源区块链。 对于传统的区块链,在交易记录形成区块链之前,执行一个重要的交易审核阶段,即一致性过程。 此阶段由传统区块链中的所有节点以高成本执行。 与此不同的是,能源区块链以适中的成本对预选的EAG执行一致性过程。 这些EAG收集并管理其本地交易记录。 在完成EAG之间的一致性过程后,事务记录被组织为块,并因此存储在内存池中。
以下是在EAG的帮助下有关能源区块链关键操作的更多详细信息。 表一列出了能源区块链中的主要术语。

1)系统初始化: 在能源区块链中,我们利用有效的Boneh–Boyen短签名方案(基于身份加密体质的安全密钥分发)进行系统初始化。在受信任的权威机构(例如政府部门)注册后,每个能源节点均成为合法实体。具有真实身份的能源节点i加入系统,并获取其公钥和私有密钥(
)和证书(
)。证书
可用于通过绑定能源节点的注册信息来唯一地标识能源节点。节点i从授权机构获得一组ω钱包地址
。授权机构生成映射列表{
},并将该列表存储在帐户池中。
当节点i执行系统初始化时,节点i将其正在使用的钱包地址上载到其最近的EAG的帐户池中。节点i检查其钱包的完整性,并从EAG中的内存池和信贷银行下载有关其钱包的最新数据。内存池将所有交易记录存储在能源区块链中,信贷银行记录基于信贷的付款。
2)选择能源交易中的角色: 对于P2P能源交易,能源节点根据其当前的能源状况和对未来工作计划的能源需求来选择其角色(即能源买卖双方)。 拥有多余能源的能源节点可能会成为能源销售者,以满足能源购买者对当地能源的需求。
3)买卖双方之间的能源交易: 能源请求(包括来自能源买方的能源量)被发送到附近EAG的交易服务器。 EAG中的交易服务器用作控制器,以计算总能源需求并向本地能源销售商广播这些需求。 EAG充当能源节点的能源经纪人,根据当前能源市场设定交易价格,并激励当地能源销售商参与。 能源销售商确定其销售能源,并将响应返回给控制器。 控制器使能量节点之间的能量供需匹配。 然后,通过电力线或无线电力传输将能量从能量卖方传输到相应的买方。
4)使用能源硬币付款: 如图2所示,能源买方将能源硬币从其钱包转移到能源卖方提供的钱包地址。 没有足够能量硬币的能源购买者可以根据信用等级从信用银行申请代币以完成付款。 第三部分给出了更多细节。 能源销售商从EAG的存储池中获取最新的区块链数据,以验证该付款活动。 能源买家产生新的交易记录。 这些交易记录由能源销售商验证并进行数字签名,因此,这些记录将上载到EAG进行审核。 之后,分别增加能源卖方和买方的信用额度。
为了平衡能源区块链中的能源需求和供应,我们提供激励措施,鼓励能源节点出于自身利益满足当地能源需求。 在一定时期内,EAG中对能源供应贡献最大的能源卖方根据能源买卖双方之间的能量流贡献计量获得能源硬币奖励。 这是能量贡献的能量节点的特定工作量证明,称为工作量证明(即,交易的能源总量)。
5)能源区块链中的构建块:
EAG在特定时期内收集所有本地交易记录,然后对这些记录进行加密和数字签名以确保真实性和准确性。图2显示了交易记录被组织成块。
为了可追溯性和验证性,每个区块都包含一个到能源区块链中先前区块的加密哈希。与比特币中的类似,EAG尝试找到自己的有效的数据审核工作证明(即满足一定难度的哈希值)。 EAG根据随机数ϕ,上一个块的哈希值,时间戳,交易的散列树等(表示为)[15]来计算其块的哈希值。
即,
。在这里,系统可以调整难度以控制找出特定ϕ的速度。找到有效的工作证明(即ϕ)后,更快的矿工(EAG)将块和特定的ϕ广播到其他EAG。其他EAG审核并验证块中的交易记录和ϕ。如果其他EAG承认该区块,则该区块中的数据将以线性,按时间顺序添加到能源区块链中,最快的矿工将通过能源硬币获得奖励。

6)执行共识过程: 共识过程由授权的EAG和具有有效工作量证明的最快EAG的领导者执行。图3显示,领导者将块数据,时间戳及其工作量证明广播给其他授权的EAG,以进行验证和审核。 为了相互监督和验证,这些EAG审核块数据,并将审核结果与签名相互广播。收到审核结果后,每个EAG都会将其结果与其他EAG进行比较,然后将答复发送回主管。 该答复包括EAG的审核结果,比较结果,签名以及收到的审核结果的记录。负责人分析从EAG收到的答复。如果所有EAG都同意区块数据,则领导者将把包括当前已审核区块数据和相应签名在内的记录发送到所有授权的EAG进行存储。 此后,此区块将存储在联合区块链中,领导者将获得能量硬币奖励。如果某些EAG对区块数据不一致,则领导者将分析审核结果,并在必要时再次将区块数据发送到这些EAG以进行审核。
能源区块链具有良好的可扩展性,可以跟上大量IIoT节点的网络规模。 与公共区块链不同,能源区块链的共识过程是在少量授权的EAG上进行的[16]。随着网络的发展,预定义的节点也能够随着交易数量的增加而扩展其计算能力和存储资源[17]。 当授权的EAG形成完成并保持恒定时,无论网络大小如何,达成一个新区块共识所需的总时间是稳定的[18]。
III. 基于信用的快速P2P能源交易付款
在能源区块链中,所有授权的EAG都需要审核和验证新区块中的交易记录(即共识流程)。 完成共识过程需要一定的时间(称为交易确认时间)。 用于交易支付的能量币才能最终到达相应的钱包地址。 尽管我们的能源区块链中的交易确认时间比比特币的交易确认时间短(约60分钟)[19],[20],但IIoT节点频繁交易能源仍不方便且不实用。 一些能源购买者可能没有能源币来频繁地交易能源。 为了解决这个问题,我们设计了一种基于信用的支付方案来支持快速交易,因此可以通过能源币贷款进行频繁的P2P能源交易。

在图4中,每个授权EAG中的信贷银行都充当具有足够能量硬币的受信银行节点。 信贷银行根据其能源价值为能源节点提供能源币贷款,然后能源币将从信贷银行的帐户转移到信贷银行与借款人之间共享的钱包地址。 有关基于信用的支付方案的操作步骤的更多详细信息如下。
1.令牌请求:
借款人(即没有足够能量硬币的能源购买者i)可以根据其从本地信用银行获得的信用值申请令牌来完成付款。
步骤1:
向EAG m发送包含真实身份
,证书
,所有已用钱包地址
,贷款金额
和当前信用值
的请求,即

步骤2:
在收到请求之后,信贷银行根据帐户池和信贷银行中的记录,验证
的身份并检查给定
的资金流量。 因此,信贷银行计算
的当前财富。
步骤3:
在满足以下条件时,允许获得令牌:
a)的能源硬币帐户中有一些财富;
b)该帐户有固定收入(例如,出售其能源以赚取能源硬币);
c)的信用值不为负。
信贷银行计算出的最佳贷款额以及相应的利率和罚款率,即贷款价格。 有关贷款定价的更多详细信息,请参见第四节。
步骤4:
信用银行创建一个共享钱包(),并将此钱包的公钥和私钥(即
和
)发送给
。
是
和信用银行的共享钱包地址。
和信贷银行都被允许使用钱包中的能量硬币,并在必要时将该钱包充值。
步骤5:
接收如下响应,该响应包括令牌(
)和该令牌的签名
(
):

其中

并且

在这里,包括当前余额
,贷款金额
,授权证书
,钱包
的有效期限t,贷款缓冲的还款缓冲以及先前的贷款记录
。
将在缓冲期间偿还能源币贷款,否则
将遭受滞纳金(即罚款)的影响。
由贷款还款记录
和以前的基于信用的付款记录
的哈希值组成。 在
中,s是先前贷款记录中缓冲区内的还贷数量,而f是未及时偿还贷款的数量。
2.能源币支付:
在能源交易期间,使用钱包
中的能源硬币完成支付。 基于钱包的每笔付款都由当地信用银行核实并记录。 信用银行在必要时将与支付有关的数据的哈希值放入预记录中,以检查
的财富。有关支付操作的更多详细信息,如下所示。
步骤1:
借款人将以下包括令牌(
),令牌签名和授权证书(
)的付款发送给能源卖方
。
验证
中的
和
的有效期限(即t),并检查能源区块链中所有以前的基于信用的付款记录,以确认
中的当前余额

步骤2
:将
,能源账单、用于接收能源硬币的钱包地址(
)和上述信息的数字签名发送给信贷银行:

步骤3:
信用银行通过与信用银行中记录的原始进行比较来验证接收的
。 信贷银行检查
中的余额是否足以支付账单。 如果是,则信贷银行将钱包
中的能源硬币转移到
以完成付款。 如果不是,则信用银行将余额不足的通知发送给
。
步骤4:
之后,信用银行更新和
的余额信息,并将其数字签名添加到新的令牌
中。 以上基于信用的付款记录经过审核并记录在能源区块链中,同时,新令牌被发送给买方进行更新。
3.偿还能源硬币贷款:
在令牌有效期结束后,将接收最新的令牌
,包括所有使用
基于信用的付款记录的哈希值。
以下是有关还贷的三种情况。
1)情况一:如果在还款缓冲内偿还了能源硬币贷款,
便将其利息作为交易费用偿还给信贷银行。 利率在第四节中计算。
2)情况二:如果不能及时偿还贷款,则
中的f将加一,从而降低买方的信用价值。 买方的新信用额表示为

其中是第n次能源交易的信用额。 d是常数且d>0。信用银行生成有关此事件的记录,因此将记录存储在内存池中并将其上载到能源区块链。 当买方最终完成能源硬币贷款的还款时,
仍然会受到有关贷款金额的罚款。
3)情况三:如果拒绝偿还或无法长期(例如一年)偿还贷款,信贷银行将把借款人列入黑名单,并将此信息广播到能源区块链中的所有节点。 然后,所有IIoT节点和信贷银行将拒绝与该借款人合作。
IV. 基于信用的支付中的最优贷款定价
在本节中,我们介绍了有关能源币贷款额和贷款定价(即利率和罚款率)的问题定义,以使借款人最大化信贷银行的经济利益。 没有足够能量币的能源购买者充当借款人,向当地EAG中的信贷银行申请贷款。 之后,作为能源购买者的借款人可以从能源销售者那里购买能源。
A. 问题表述
在本地EAG m中,对于借方,信用银行m(即
)提供的贷款金额表示为
。 这里
并且
。
的最小能源需求表示为
,
是贷款申请之前能源的给定价格。 信贷银行必须向Bi
提供
贷款以完成能源付款。 我们认为当地的信贷银行有足够的能源硬币来支持借款人的贷款请求。 如果本地信贷银行没有足够的能源硬币供借款人使用,则附近的信贷银行可以合作以支持能源区块链中的贷款请求。
的满意度函数表示为

其中和
是
的预定义因子。
的利用率表示为

其中是贷款的还款能力,即
可以在其还款缓冲区内偿还贷款的概率。
可以通过
的还款记录
(在第III节中提到)来计算。 在此,
。
是信贷银行所依赖的贷款利率。
是还款延迟的罚款率。 我们认为利率与罚款率之间的关系为
[21]。 这里
是预定义因子,例如3.5。
是贷款开始的时间。
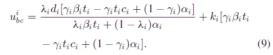
信用银行的报酬包括来自的贷款利息,以及如果
无法及时偿还贷款的滞纳金(即罚款)[21]。 信贷银行的管理费用为
。
是
的贷方银行的单位成本。 因此,信用银行的经济利益定义如下:

其中是预定义的信用等级因子,取决于
信用银行给出的信用等级(此处
)。
是根据借款人的贷款历史计算得出的。 能源购买者的信用等级根据能源购买者的信用值分为不同的等级。 较高的信用等级带来较高的
。 有关
值的更多详细信息,请参见第V-C节。
非合作的Stackelberg博弈通常会研究许多独立决策者的多层次决策过程,以响应游戏领先者做出的决策[22]。 在本文中,我们制定了一个非合作的Stackelberg博弈,其中信用银行是领导者,借款人是追随者。 信贷银行最终分别确定每个借款人的罚款率(即)。 每个借款人将根据信贷银行给出的罚款率以最高的贷款额度(即
)作出回应。 游戏G的战略形式定义为

本地EAG中的领导者(即,信贷银行)和跟随者(即,借款人i)的目标函数分别表示如下:

(即银行在的罚款率的最大收益之和,借款人以最高的贷款额度
获得最大利用率)
B. 解决方案
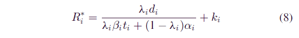
我们使用后向归纳法来求解上述博弈的SE(Stackelberg均衡,即纳什均衡)[23]。首先解决的最优贷款额(即
),然后由信贷银行确定最优利率和罚款率。
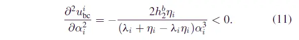
通过对(2)中求关于
的微分,我们有

这意味着ui是严格的凹函数。 我们通过求解来获得最佳策略,如下所示:

其中 。
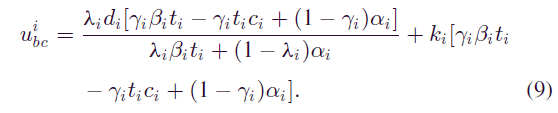
我们将(8)代入(3),然后

为了展示,我们将上述等式简化如下:

其中

通过对求关于
的微分,我们有

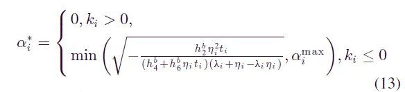
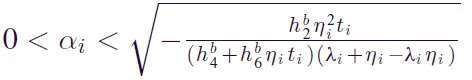
当时,我们有
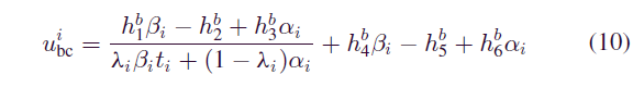
和
。当
时,对于

和

分别有和
。 利用率函数
首先增加,然后随着
的增加而减小。 该函数是严格的凹函数[24]。 存在最大值。 因此我们通过
得到最优策略

当时,
。因此,我们有
。为简单起见,我们可以通过以下方式重写银行的最优策略:

并且
为了达到Stackelberg平衡(SE),信贷银行需要与每个借款人进行沟通。 提出了算法1,为所有借款人和信用银行提供一种分布式方式,以便迭代地达到博弈所提出的唯一SE。

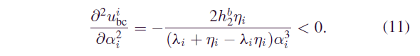
定理1:在所提出的Stackelberg游戏G中,总是可以在集合B中的信贷银行和借款人之间获得唯一的SE [22]。
证明:(2)中的利用率函数对相对于
求微分是严格凹的,
,即
。因此,对于任何罚款率
,每个借款人都有一个唯一的
来最大化
。 显然,考虑到博弈中所有玩家选择的策略,当所有借款人和信贷银行(即玩家)达到各自的优化效用时,博弈G就会达到SE。 因此,很明显,一旦信用银行找到最优价格
,提出的博弈G就会达到SE,而借款人选择其唯一的贷款金额。 从(11),我们注意到
相对于
是严格凸的。 因此,信贷银行能够根据借款人的策略找到唯一的最优价格。 因此,存在唯一的SE。
V. 安全分析和数值结果
在本节中,我们首先提供有关能源区块链的安全性分析。 之后,我们评估有关能源区块链的性能,并使用真实的数据集来分析基于信用的支付方案的性能。
A. 能源区块链的安全性分析
与传统的通信安全和隐私保护不同,我们的能源区块链使用联盟链来确保能源交易的安全性和隐私保护。 与区块链相关的安全性能如下[25]。
1)摆脱收信任的中介机构:在我们的能源区块链中,IIoT节点以P2P方式交易能源,这与依赖于全球信任的中介机构的传统集中交易不同。 在授权的EAG的帮助下,所有IIoT节点均具有平等的能源交易权。 能源区块链功能强大且可扩展,无需全球信任的中介机构的参与。
2)钱包安全性:若没有相应的密钥和证书,任何对手都无法打开IIoT节点的钱包并从钱包中窃取能量硬币。 由于每个IIoT节点都有一个与其能硬币帐户相对应的唯一钱包,因此我们将多个钱包地址用作该钱包的假名,以保护隐私。
3)交易认证:所有交易数据均由其他实体(包括IIoT节点和受信任的EAG)公开审核和认证。 不可能损害能源区块链中的所有实体,因为会有巨大的成本。 即使EAG被破坏,在构造成块之前,仍会发现并纠正有问题的交易数据。
4)数据的不可伪造性:联盟区块链的去中心化特性与数字签名交易相结合,确保没有任何对手可以构成IIoT节点来破坏网络。 这是因为对手无法伪造任何节点的数字签名,也无法获得对网络大多数资源的控制权[25]。 控制能源区块链中一个或多个EAG的对手无法了解有关原始数据的任何信息,因为它已使用IIoT节点的密钥进行了加密。 对手无法在能源区块链中伪造审计和存储的数据[19]。
5)没有双重支出:能源硬币依靠证明所有权的数字签名和公开交易历史记录,以防止双重支出。 交易历史使用P2P网络共享,并使用工作量证明方式达成协议。
B. 能源区块链性能分析
我们比较了不同区块链中不同能源交易频率下的交易确认时间,并评估了我们提出的基于信用的支付方案的平均交易速度的表现。 在此,交易速度是指在一小时内完成的能源交易的数量。 平均总交易确认时间是指完成一个能源节点的能源交易达成共识过程的平均时间。为了便于说明,我们在50对IIoT节点之间模拟了240分钟的性能。 与比特币类似,传统区块链的交易确认时间为60分钟,而我们的能源区块链的交易确认时间为10分钟[20]。在我们的能源区块链中,预选的EAG总数为51。 对于IIoT节点而言,一小时内的能源交易频率等概率地从{1、2、3、4、5}集中获取值。 每个IIoT节点的钱包中都有二十个能源硬币,用于P2P能源交易。

图5(a)表明,对于传统的区块链(例如比特币),当能源交易频率增加时,能源节点的平均总交易确认时间比我们的能源区块链更长。 这是因为我们的能源区块链仅对预选的EAG进行了共识过程,而不是传统区块链中的所有连接节点。 图5(b)显示了不同方案中能源交易的平均交易速度。在能源交易期间,没有足够能源币的IIoT节点无法进行下一次能源交易,直到最后一次交易完成共识过程为止。因此,如图5(b)所示,传统的区块链和我们的能源区块链在1小时内具有平均交易速度的上限。由于EAG中的信贷银行的帮助,我们的基于信用的付款方案平均具有更高的交易速度。这些信用银行向IIoT节点提供足够的能源硬币,以在能源区块链上连续执行能源交易,而没有交易确认延迟的限制。结果表明,我们提出的方案支持快速的P2P能源交易,因此,可以在IIoT节点之间进行频繁的能源交易。
C. 信用支付的性能分析

我们基于[26]中借贷俱乐部已发行贷款的真实数据集,研究了提出的的基于信用的付款方案性能。该数据集包括当前的贷款状态(例如,已全额付款),最新的付款信息,信用额度,地址等。
根据贷款俱乐部的贷款数据,有89万个观察值,其中35个信用等级逐渐提高(“ A1”,“ A2” ,”,“ ...”,“ B1”,“ B2”,“ ...”,“ G4”,“ G5”),如图6。
在IIoT中,我们考虑了100个信用等级从A1到G5不等的借款人。第n个信用等级具有对应的信用等级因子,这里N =35。借款人属于指定信用等级的概率根据图6中的概率分布直方图进行分布。分为五个小组分别向五个信用银行申请能源硬币贷款。每个能源硬币数量有限的信用银行仅向20个借款人提供贷款。
我们执行了两种启发式能量硬币分配方案,以将性能与我们提出的方案进行比较。一种启发式方案是允许借款人从五个信贷银行申请随机数量的能源硬币(称为随机数量方案,RAS)。另一个是借款人可以申请平均金额的能源硬币(称为平均金额计划,AAS)。我们的计划根据借款人的信息(例如收入,贷款记录,信用值)为借款人做出最佳定价决策。表II中列出了有关我们提出的方案的更多参数。


图7(a)显示了能量硬币分配方案的性能比较。 例如,我们在RAS和AAS中将贷款利率设置为0.1。 我们注意到,在我们提出的方案中,信贷银行可以获得最佳的经济利益。 我们提议的方案中的五家信贷银行的平均经济收益比AAS高64.8%,比RAS高226.9%。 在图7(b)中可以找到类似的结果。 我们提议的方案中随机选择的五名借款人的平均经济收益比AAS高24.1%,比RAS高5.7%。

图8分别显示了随机选择的信贷银行的经济效益和随机选择的借款人的最佳贷款额的收敛变化。 注意到经过19次迭代后,经济收益和最佳贷款额分别迅速收敛至其最佳值。

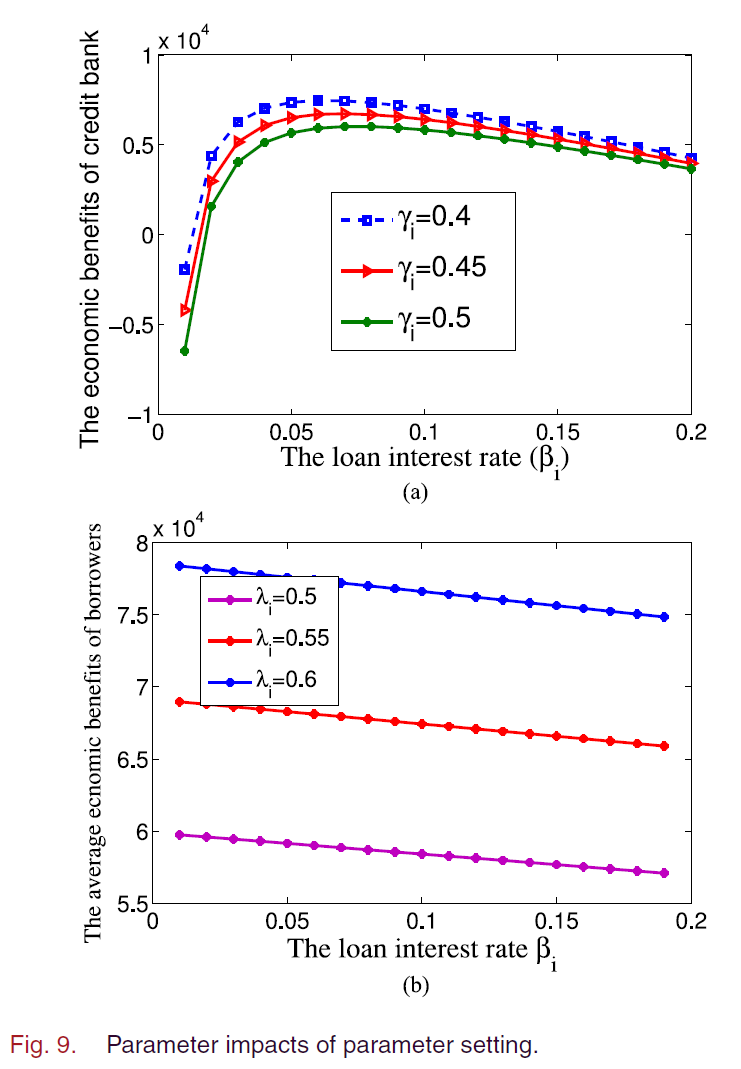
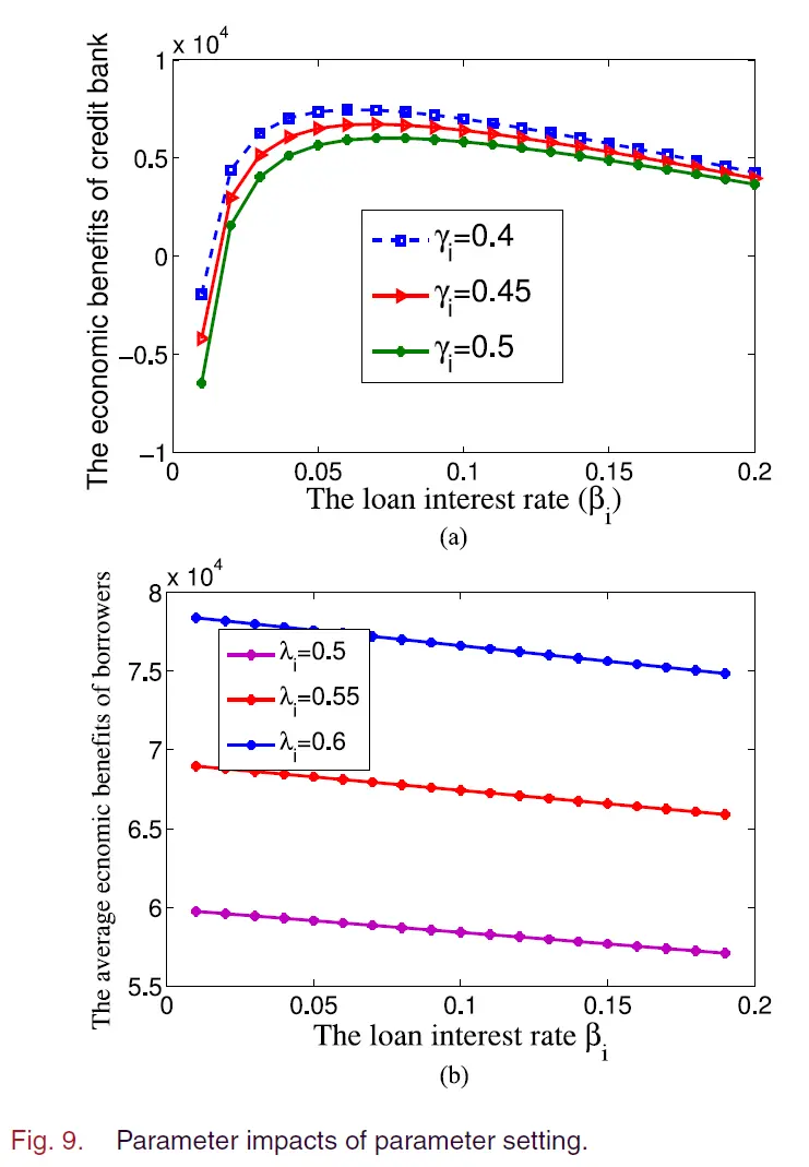
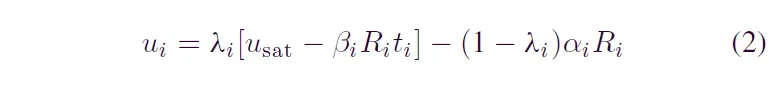
图9显示了信用等级因子对信用银行的性能影响,以及
对借款人的影响。 图9(a)表明,随着
的增加,信用银行的经济利益下降。 这是因为具有较高信用等级的借款人更有可能及时偿还贷款,从而减少了对信用银行的罚款。 如图9(b)所示,借款人的还款能力
对借款人的平均经济利益具有积极影响。 总而言之,根据图5至图9,我们提出的能源区块链和基于信用的支付方案对于IIoT中的能源交易是有效和高效的。
VI. 结论
在本文中,我们提出了一个基于联盟区块链的统一能源区块链,用于在IIoT的各种典型场景中进行安全的能源交易,例如微电网,能量收集网络和车辆到电网。我们还设计了一种基于信用的支付方案,以克服由于交易确认延迟而引起的交易限制,该方案通过在能源节点之间进行基于信用的支付来支持快速频繁的能源交易。我们提出使用Stackelberg博弈对能源币贷款的最优定价策略,以使信贷银行的经济利益最大化。我们进行安全性和性能分析,以分别评估能源区块链和基于信用的支付方案。安全分析表明,我们的能源区块链实现了安全的能源交易,数值结果表明,能源区块链和基于信用的支付方案对于能源交易是有效和高效的。有几个有趣的问题需要进一步研究,例如最佳EAG选择,为极端情况设计的特定方案,包括具有极佳或不良信用值的IIoT节点。