13-红黑树

640 阅读24分钟
  • 红黑树

红黑树也是一种自平衡的二叉搜索树

  • 以前也叫做平衡二叉B树(Symmetric Binary B-tree)

首先,来了解以下红黑树的性质

红黑树必须满足一下5条性质

  1. 节点是RED或者BLACK
  2. 根节点是BLACK
  3. 叶子节点(外部节点,空节点)都是BLACK(红黑树要把度为1或者0的节点,最终都要变为度为2的节点)
  4. RED节点的子节点都是BLACK
    • RED节点的parent都是BLACK
    • 从根节点到叶子节点的所有路径上不能有2个连续的RED节点
  5. 从任一节点到叶子节点的所有路径都包含相同数目的BLACK节点

看完以后,是不是感觉很复杂?这都是什么鬼东西。。。

那么:什么在这些规则的约束之下,就能保证平衡呢?

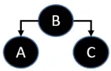
请问下面这棵是红黑树吗?

这不是一棵红黑树。结合上面的规则,红黑树要把度为1或者0的节点,最终都要变为度为2的节点,因此在节点38的地方,会虚拟出一个null的子节点,来使得节点38的度为2,由于有了该节点,就使得从任一节点到叶子节点的所有路径都包含相同数目的BLACK节点结论不成立,因此不是一棵红黑树。

  • 红黑树的等价变换

我们现在尝试将黑色节点的红色子节点上升一层,与上一层节点在同一层,变化之后的结果

上升以后,我们发现,现在的这棵红黑树有点类似于我们前面介绍的B树。其对应的B树为

我们看到,转换后的B树为一棵4阶B树。因此有以下的结论

  1. 红黑树和4阶B树(2-3-4树)具有等价性
  2. BLACK节点与他的RED子节点融合在一起,形成1个B树节点
  3. 红黑树的BLACK节点个数与4阶B树的节点总个数相等(上图红黑树中有5个黑色节点,B树种也有5个节点)

⚠网上有一些教程,用2-3树与红黑树进行类比,这是极其不严谨的,2-3树并不能完美匹配红黑树的所有情况

注意:由于图片空间大小有限,后面展示的红黑树都会省略NULL节点

  • 红黑树 VS 4阶B树

红黑树1.红黑红

对应的B树节点

红黑树2.黑红

对应的B树节点

红黑树3.红黑

对应的B树节点

红黑树4.黑

对应的B树节点

🤔如果上图最底层的BLACK节点是不存在的,在B树中是什么样的情形?

答:B树只有根节点

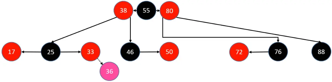
几个英文单词

根据上图,来理解一下以下几个单词

parent:父节点

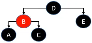
sibling:兄弟节点(17与33互为兄弟节点,25与46互为兄弟节点)

uncle:叔父节点(parent的兄弟节点,如50节点的uncle节点为25,因为parent节点为46,25与46节点互为兄弟节点)

grand:祖父节点(parent的父节点,38为50的祖父节点)

辅助函数

在编写红黑树代码时,需要使用到的一些辅助函数,因此在编写之前, 先封装好这些辅助函数

在Node类中新增一个获取兄弟节点的方法

/*
* 获取兄弟节点
* */
public Node<E> sibling(){
    if (isLeftChild()){
        return parent.right;
    }
    if (isRightChild()){
        return parent.left;
    }
    //没有父节点,因此没有兄弟节点
    return null;
}

在红黑树中封装以下几个方法

//给节点染色
private  Node<E> color(Node<E> node ,boolean color) {
    if (node == null)return node;
    //染色
    ((RBNodel<E>)node).color = color;
    return node;
}

//将节点染成红色
private Node<E> red(Node<E> node) {
   return color(node,RED);
}

//将节点染成黑色
private Node<E> black(Node<E> node) {
    return color(node,BLACK);
}

//获取当前节点的颜色
private boolean colorOf(Node<E> node) {
    return node == null ? BLACK : ((RBNodel<E>)node).color;
}

//判断当前节点是否为黑色
private boolean isBlack(Node<E> node) {
    return colorOf(node) == BLACK;
}
//判断当前节点是否为红色
private boolean isRed(Node<E> node) {
    return colorOf(node) == RED;
}
  • 添加

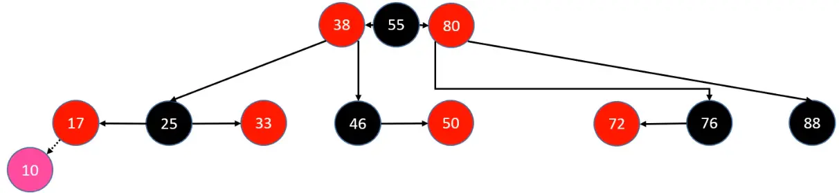
假设现有以下一棵红黑树,需要注意的是,学习红黑树的时候,要尽量和B树的知识点结合起来,并且看到红黑树的时候,就要能联想出B树的形状

由前面B树部分知道

  1. 在B树中,新元素必定是添加到叶子节点中
  2. 4阶B树所有节点的元素个数X都符合1≤ X ≤ 3

另外需要注意,结合前面红黑树的条件,因此我们

  1. 建议新添加的节点默认为RED,这样能够让红黑树的性质尽快满足(能满足红黑树条件1,2,3,5。性质4不一定满足)
  2. 如果新添加的是根节点,染成BLACK即可
添加的所有情况

由于红黑树是一棵4阶B树,因此上图包含了4阶B树的子节点的所有情况,由于B树在添加子节点的时候,只可能添加到最后一层,因此新添加的节点,只可能添加到最后一层节点的左或者右[下图]

但是,有些情况却是不合理的,比如25节点,此时,25的左右已经有子节点了,因此不可能存在,同样的46,76也如此,因此真正可能添加的地方如下图所示,所以在红黑树中添加一个子节点,一共有12种情况

其中,有4中情况满足红黑树的性质4:parent为BLACK[下图],在这种情况下

同样也满足4阶B树的性质

因此不需要做额外的处理

有8种情况不满足红黑树的性质4:parent为RED(Double Red)

情况1:新加的节点在17的左边

情况2:新加的节点在17的右边

情况3:新加的节点在33的左边

情况4:新加的节点在33的右边

情况5:新加的节点在50的左边

情况6:新加的节点在50的右边

情况7:新加的节点在72的左边

情况8:新加的节点在72的右边

整合到一起为下列情况

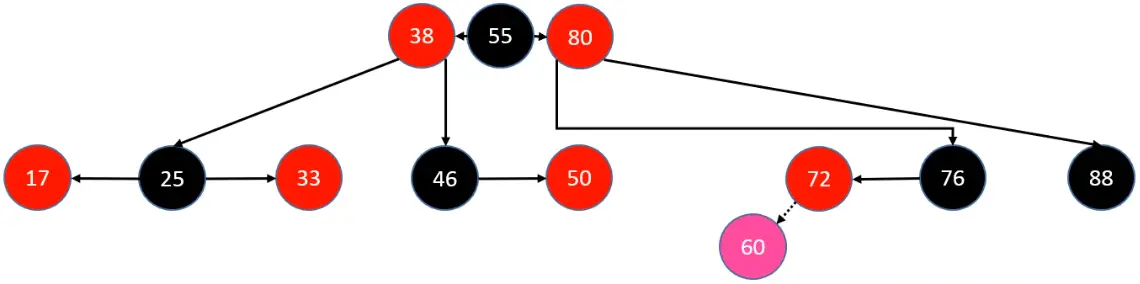
添加 - 修复性质4 - LL/RR

现有以下一棵红黑树,当前的情况是往Left>Left或者Right>Right两种出现了两个红色的情况,我们看到这种,首先就能想到可以使用旋转的方式来进行修复。不过,我们先站在B树的角度来进行分析,新的子节点52或者60添加进节点以后,必然会成为B树的一个节点,变成B树节点的前提是,节点52现在需要变为黑色节点46要变为红色节点,或者72要变为黑色节点76要变为红色节点,因此,我们首先需要做的就是对节点进行染色,然后需要调换46与50;72与76节点的父子关系,50与76分别成为对应子树的根节点

因此,最终通过对应的染色旋转以后的结果为(46坐旋转,76右旋转)

实现的步骤

  1. parent染成BLACK,grand染成RED
  2. grand进行单旋操作
添加 - 修复性质4 - LR/RL

通过以下的一棵二叉树,然后添加对应的子节点后出现了两个红色的情况,即grand的Left>Right或者Right>Left为红色

通过前面的结论,依然是通过染色和旋转来修复性质4,修复完成后的结果为

实现步骤

  1. 自己染成BLACK,grand染成RED
  2. 进行双旋操作

LR:parent 左旋转,grand右旋转

RL:parent 右旋转,grand坐旋转

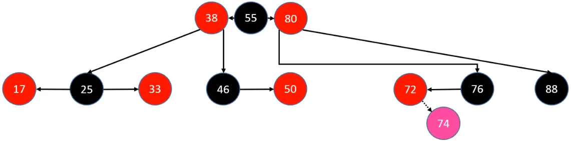
以上的介绍的4中情况,都属于uncle节点不是红色的,即节点48,52,60,74的uncle节点都为null,即为黑色。我们接下来在来看另外的4种需要修复的情况

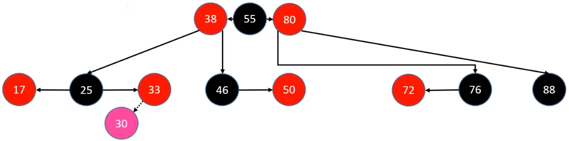
添加 - 修复性质4 - 上溢 - LL

通过下图,我们首先从B树角度出发,在当前节点中添加子节点10时,由于是4阶B树,因此会出现上溢,根据B树的性质,上溢,会先最中间的节点向上与父节点进行合并,然后剩下的元素分裂成为两个节点,所以如果我们先来考虑分裂后的两个节点

  1. 分裂后的两个节点,17,33成为了子树的根节点,因此需要将两个节点染成黑色
  2. 节点25上溢,与父节点进行合并
  3. 对于25的父节点来讲,25的上溢对当前节点是在做添加操作,因此把节点25染成红色
  4. 然后再对和并后的节点进行修复

因此上溢后的结果为

实现步骤

  1. parent,uncle染成BLACK
  2. grand向上合并,并且将grand节点染成RED,当做是新添加的节点进行处理

grand向上合并时,可能会发生上溢,若上溢持续到根节点,只需要将根节点染成BLACK

添加 - 修复性质4 - 上溢 - RR

同样的,下图的情况和LL是一样的,因此也是同样的处理方式来进行修复

上溢合并后的结果为

实现步骤

  1. parent,uncle染成BLACK
  2. grand向上合并,并且将grand节点染成RED,当做是新添加的节点进行处理
添加 - 修复性质4 - 上溢 - LR

下面是添加出现上溢的LR情况

上溢合并后的结果为

修复步骤与上溢的LL/RR一样

添加 - 修复性质4 - 上溢 - RL

下面是添加出现上溢的RL情况

上溢合并后的结果为

修复步骤与上溢的LL/RR一样

到这里,红黑树添加的所有情况就分析完了,那我们来总结一下

  1. 红黑树的添加一共有12种情况
  2. 其中4种情况,添加后的父节点为黑色,此时不需要做任何处理
  3. 另外8种情况,添加的时候,父节点为红色,不满足性质4
  4. 8种需要修复的情况中,有4种情况新添加的节点的uncle节点不是红色,因此不会发生上溢,需要通过旋转来进行修复
  5. 8种需要修复的情况中的另外4种,uncle节点是红色,只需要将新添加节点的parent节点与uncle节点染成黑色,grand节点染成红色,当做是新添加的节点,向上合并
  • 删除

前面,我们在B树部分说到,B树最后真正被删除的元素都在叶子节点中。因此,在红黑树中,如果想删除任意一个节点,最后真正被移除掉的,一定是最后一层的叶子节点当中

删除 - RED节点

比如现在有这样一棵红黑树

如果这个时候,我们删除掉红黑树的红色节点,如72.删除掉了以后,我们发现并没有违背红黑树的性质,依然是一棵红黑树,因此直接删掉就可以了,其他红色叶子节点也如此,因此删除红色节点的结论是直接删除,不需要做任何调整

删除 - BLACK节点

同样的,我们通过上图,可以看到,如果删除黑色节点,有多种情况,其中可以分为3种

  1. 拥有2个RED子节点的BLACK节点,不可能被直接删除,因为会找他的子节点替代删除,因此不用考虑这种情况
  2. 拥有一个RED子节点的BLACK节点,是下图中的46和76节点
  3. 删除的是黑色叶子节点,如节点88

因此在删除过程中,真正需要处理的是另外两种情况中的三个几点

删除 - 拥有1个RED子节点的BLACK节点

如下一个二叉树

如果我们发现,用于取代被删除节点的子节点是RED,那么我们可以知道,该节点是46或者76的情况

如果用于取代的节点不存在,那么可以判断出该节点为88的情况

如果将该子树中的46,76删除,然后通过改变父子关系后的结果为

我们看到,这个时候出现了双红的情况,因此此时我们需要将替代的子节点染成BLACK即可保持红黑树的性质,如下图

这样,就删除完成了

删除 - BLACK叶子节点 - sibling为BLACK

删除BLACK的叶子节点,其实也分为2种情况,一种为父节点为黑色的叶子节点,一种为父节点为红色的叶子节点

如果该节点为二叉搜索树的话,当我们删除节点46或者88的时候,直接删除就好了,但是如果我们从B树的角度出发,当我们删除了46或者88两个叶子节点以后,由于删除的是叶子节点,因此会发生下溢的情况,当发生下溢的时候,由于B树的特性,会首先看是否可以从兄弟节点中借出元素来,如果可以借,就直接从兄弟节点中借出元素来,填充被删除节点的位置,其中兄弟节点可以借出节点的情况有以下三种

从图中可以看出,只有兄弟节点中,有红色节点的时候,才可以借出节点来,否则不能借

因此这种情况下

  1. BLACK叶子节点被删除后,会导致B树节点下溢(比如删除88)
  2. 如果sibling至少有一个RED子节点,就可以向兄弟节点借一个节点

但是,应该怎么借呢?

因此我们先来看可以借节点的第一种情况,假设有以下的一棵二叉树

按照我们以前的做法是,付节点应该到被删除节点的位置,兄弟节点中,挑一个节点到父节点的位置中

因此,首先我们先删除掉节点88

删掉以后会下溢,因此会从兄弟节点中挑选出一个节点,到父节点中,父节点移动到被删除节点的位置,因此其实要做的事情就是旋转,现在我们的需求是78移动到80的位置,80移动到88的位置,这就是我们前面AVL树种的LR情况,因此我们需要先对76进行左旋转,然后对80进行右旋转

最终旋转以后的效果为

不过需要注意的是,完成旋转操作以后,需要做以下两点

  1. 旋转之后的中心节点要继承parent的颜色
  2. 旋转之后的左右节点染成BLACK

可以借节点的第二种情况

这种情况也是一样的,删除掉88以后

会发生下溢的情况,结合前面的理解,我们很容易想到,现在是AVL树种的LL情况,因此我们只需要将80进行右旋转就可以了,其余操作与上一种情况一致,因此最后的结果是下图

然后来看看可以借节点的第三种情况

同样的,删除掉节点88以后的结果为

删除掉以后,我们发现,当前好像既是AVL树中的LL情况,又是AVL树中的LR的情况。对的,没错,两种都可以,都可以办到,最终的结果让80下到原来被删除节点的位置,在这里我们就选择简单的一种方式吧,我们使用LL的方式,因此最终旋转的结果如下图所示

不过需要注意的是,由于在这里旋转可以通过两种方式进行,因此如果使用LR的方式旋转的话,结果与上图不一致,但是最终的结果都是正确的。最终完成旋转以后,也要进行上面两种情况的染成操作

看完了兄弟可以借节点,那么我们接下来再来看看兄弟不能借的情况

通过前面的介绍,我们知道,如果兄弟节点能借子节点,sibling中有BLACK节点,并且至少有一个RED节点。那么反过来,当兄弟节点不能借的时候,sibling中依然有BLACK节点,但是没有RED子节点,如下面的情况,如果我们要删除88,我们应该怎么办呢?

根据前面B树的知识,我们知道,如果发生下溢的情况,并且兄弟节点又借不出子节点时,父节点会下溢与兄弟节点进行合并。因此整个流程如下所示

首先删除节点88

然后88的父节点下溢,与兄弟节点进行合并

最后需要将sibling染成RED,parent染成BLACK就可以修复红黑树的性质

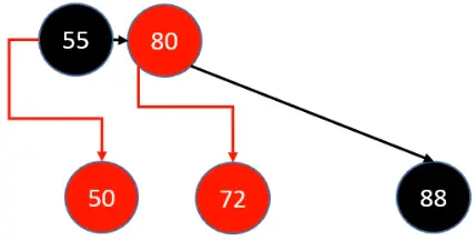
但是如果被删除节点的parent是BLACK,并且sibling节点也不能借出子节点的时候[下图],又应该怎么处理呢?

如果按照以前的逻辑进行修复的话,80会下溢[下图]

此时我们看到,parent也会发生下溢的情况,因此我们这个时候只需要把parent当做被删除的节点去进行处理就可以了

删除 - BLACK叶子节点 - sibling为RED

另外一种情况,即删除的是黑色叶子节点,但是兄弟节点为黑色的情况,如下图

在这种情况下,如果我们删除黑色节点88,那肯定会发生下溢的情况,但是此时由于兄弟节点为红色,因此不能从兄弟节点借出节点出来,填充被删除的位置,那么我们就应该去找兄弟节点的子节点,看兄弟节点的子节点是否可以借出节点出来,修复红黑树的性质。

其实我们想做的事情很简单,我们就是想从兄弟节点中借节点出来,但是目前的情况,我们只能去找兄弟节点的子节点去接,所以我们想到的是,把兄弟节点的子节点变为我们的兄弟节点,这样我们就可以直接去找兄弟节点借了,示意图如下

这个时候,我们可以对80进行右旋转,旋转以后,节点55就会成为80的父节点,然后76就成为了80的左子树节点,最后的结果为

好了,现在我们又回到了sibling是BLACK的情况,因此我们可以套用我们之前的处理逻辑,最终的结果为

通过上面的分析,最终转化为代码为

protected void afterRemove(Node<E> node,Node<E> replacement) {
    //如果被删除的节点是红色,不需要做任何处理,直接删除
    if (isRed(node)) return;
    //用于取代node的子节点是红色
    if (isRed(replacement)){
        black(replacement);
        return;
    }
    Node<E> parent = node.parent;
    //删除的是根节点
    if (parent == null) return;
    //删除的是黑色叶子节点【下溢】
    //判断被删除的node是左还是右
    boolean left = parent.left == null || node.isLeftChild();
    Node<E> sibling = left ? parent.right : parent.left;
    if (left) {//被删除的节点在左边,兄弟节点在右边
        if (isRed(sibling)){//兄弟节点是红色
            black(sibling);
            red(parent);
            rotateLeft(parent);
            //更换兄弟
            sibling = parent.right;
        }
        //兄弟节点必然是黑色
        if (isBlack(sibling.left) && isBlack(sibling.right)) {
            //兄弟节点没有一个红色子节点,不能借,父节点只能向下与兄弟合并
            boolean parentBlack = isBlack(parent);
            black(parent);
            red(sibling);
            if (parentBlack) {
                //父节点是黑色,父节点有向下合并,因此父节点的位置又产生了下溢,此时当做父节点被删除掉了
                afterRemove(parent,null);
            }
        } else {//兄弟节点至少有一个红色子节点,向兄弟节点借元素
            if (isBlack(sibling.right)) {//兄弟节点的右边是黑色,兄弟要先旋转
                rotateRight(sibling);
                sibling = parent.right;
            }
            color(sibling,colorOf(parent));
            black(sibling.right);
            black(parent);
            rotateRight(parent);
        }
    } else {//被删除的节点在右边,兄弟节点在左边
        if (isRed(sibling)){//兄弟节点是红色
            black(sibling);
            red(parent);
            rotateRight(parent);
            //更换兄弟
            sibling = parent.left;
        }
        //兄弟节点必然是黑色
        if (isBlack(sibling.left) && isBlack(sibling.right)) {
            //兄弟节点没有一个红色子节点,不能借,父节点只能向下与兄弟合并
            boolean parentBlack = isBlack(parent);
            black(parent);
            red(sibling);
            if (parentBlack) {
                //父节点是黑色,父节点有向下合并,因此父节点的位置又产生了下溢,此时当做父节点被删除掉了
                afterRemove(parent,null);
            }
        } else {//兄弟节点至少有一个红色子节点,向兄弟节点借元素
            if (isBlack(sibling.left)) {//兄弟节点的左边是黑色,兄弟要先旋转
                rotateLeft(sibling);
                sibling = parent.left;
            }
            color(sibling,colorOf(parent));
            black(sibling.left);
            black(parent);
            rotateRight(parent);
        }
    }
}

然后我们将代码优化,去除其中一个参数以后的代码为

protected void afterRemove(Node<E> node) {
    //如果被删除的节点是红色
    // 或者用于取代node的子节点是红色
    if (isRed(node)){
        black(node);
        return;
    }
    Node<E> parent = node.parent;
    //删除的是根节点
    if (parent == null) return;
    //删除的是黑色叶子节点【下溢】
    //判断被删除的node是左还是右
    boolean left = parent.left == null || node.isLeftChild();
    Node<E> sibling = left ? parent.right : parent.left;
    if (left) {//被删除的节点在左边,兄弟节点在右边
        if (isRed(sibling)){//兄弟节点是红色
            black(sibling);
            red(parent);
            rotateLeft(parent);
            //更换兄弟
            sibling = parent.right;
        }
        //兄弟节点必然是黑色
        if (isBlack(sibling.left) && isBlack(sibling.right)) {
            //兄弟节点没有一个红色子节点,不能借,父节点只能向下与兄弟合并
            boolean parentBlack = isBlack(parent);
            black(parent);
            red(sibling);
            if (parentBlack) {
                //父节点是黑色,父节点有向下合并,因此父节点的位置又产生了下溢,此时当做父节点被删除掉了
                afterRemove(parent);
            }
        } else {//兄弟节点至少有一个红色子节点,向兄弟节点借元素
            if (isBlack(sibling.right)) {//兄弟节点的右边是黑色,兄弟要先旋转
                rotateRight(sibling);
                sibling = parent.right;
            }
            color(sibling,colorOf(parent));
            black(sibling.right);
            black(parent);
            rotateRight(parent);
        }
    } else {//被删除的节点在右边,兄弟节点在左边
        if (isRed(sibling)){//兄弟节点是红色
            black(sibling);
            red(parent);
            rotateRight(parent);
            //更换兄弟
            sibling = parent.left;
        }
        //兄弟节点必然是黑色
        if (isBlack(sibling.left) && isBlack(sibling.right)) {
            //兄弟节点没有一个红色子节点,不能借,父节点只能向下与兄弟合并
            boolean parentBlack = isBlack(parent);
            black(parent);
            red(sibling);
            if (parentBlack) {
                //父节点是黑色,父节点有向下合并,因此父节点的位置又产生了下溢,此时当做父节点被删除掉了
                afterRemove(parent);
            }
        } else {//兄弟节点至少有一个红色子节点,向兄弟节点借元素
            if (isBlack(sibling.left)) {//兄弟节点的左边是黑色,兄弟要先旋转
                rotateLeft(sibling);
                sibling = parent.left;
            }
            color(sibling,colorOf(parent));
            black(sibling.left);
            black(parent);
            rotateRight(parent);
        }
    }
}

到这里,红黑树的添加删除就介绍完了。接下来,我们在看一下关于红黑树的平衡问题。

  • 红黑树的平衡

红黑树与AVL树一样,都是平衡二叉搜索树,AVL树之所以叫平衡二叉搜索树,是因为AVL树里面维护了一个平衡因子,AVL树的平衡是靠平衡因子来保证的,因此AVL树通过平衡因子就能保证每一棵子树的左右节点高度差不会超过1,这样就能保证每一棵子树的高度差都是相近的,这样看起来,就非常的平衡。

那么红黑树也叫做平衡二叉搜索树,那么红黑树是怎么平衡的呢?为什么维护好红黑树的5条性质,就能保证红黑树的是平衡的呢?

通过5条性质,可以保证红黑树等价于4阶B树。

下图是红黑树与B树的等价变换

我们知道,由于B树的高度非常的矮,因此从B树的角度出发,B树的平衡的。由于红黑树与4阶B树是等价的,因此,既然B树是平衡的,那么红黑树也应该是平衡的。

但是可能你又会有疑问,B树的矮是因为B树的一个节点存储的多个元素(如B树节点 38,55),但是将B树展开成为红黑树的时候,我们发现红黑树还是很高,如B树节点的38,55本来是一层的,展开成红黑树以后,我们发现变为了2层,B树节点17,25也如此。最终我们发现,高度为2的B树,展开成红黑树以后,高度变为了4。那么红黑树高度变得这么高,还叫平衡吗?说到这里,我们就要来回顾一下平衡的概念:给相同数目的节点,如果这些节点组成的二叉树,高度越低,我们就说这棵树越平衡,因此只要左右子树的高度差不要太夸张,就叫可以这棵树是平衡的。恰好,红黑树的平衡就是这种高度差不太夸张的平衡。红黑树的平衡可以保证高度差不会像二叉搜索树一样,可以夸张到最终二叉搜索树退化成为链表。

说了这么多,其实红黑树还有一条性质:没有一条路径会大于其他路径的2倍

也就是说,最长的路径最多是最短路径的两倍。即 最长路径长度 ≤ 2 * 最短路径长度

因此我们可以认为:红黑树的平衡是一种弱平衡,属于黑高度平衡,红黑树的任何一条路径,它的黑高度都是相等的

最终,红黑树的最大高度是2 * log(n - 1),依然是O(logn)级别

  • 红黑树的平均复杂度

由于红黑树是一棵二叉搜索树,二叉搜索树的添加,删除,搜索的复杂度是与高度有关的,由于红黑树的树高依然是O(logn),因此红黑树的添加,删除,搜索有以下结论

  • 搜索:O(logn)

  • 添加:O(logn),O(1)次的旋转操作

  • 删除:O(logn),O(1)次的旋转操作

  • AVL树 VS 红黑树

AVL树 红黑树
平衡标准比较严格:每个左右子树的高度差不超过1 平衡标准比较宽松:没有一条路径会大于其他路径的2倍
最大高度是1.44 * log(n +2) - 1.328(100W个节点,AVL树的最大树高28) 最大高度是2 * log(n +1)(100W个节点,AVL树的最大树高40)
添加,删除,搜索都是O(logn)的复杂度,其中个添加仅需O(1)次旋转调整,删除最多需要O(logn)次旋转调整 添加,删除,搜索都是O(logn)的复杂度,其中个添加,删除仅需O(1)次旋转调整

AVL树与红黑树的选择

  1. 如果搜索次数远远大于插入和删除,选择AVL树
  2. 入股哦搜索,插入,删除的次数几乎差不多,选择红黑树

AVL树与红黑树对比总结

  1. 相对于AVL树来说,红黑树牺牲了部分平衡性来换取插入/删除操作时少量的旋转操作,整体来说性能要由于AVL树
  2. 红黑树的平均统计性能由于AVL树,实际应用中更多选择使用红黑树
  • 二叉搜索树/AVL树/红黑树的对比

如果现在有下列的一些数据依次添加到对应的二叉树中

10,35,47,11,5,57,39,14,27,26,84,75,63,41,37,24,96

最终,二叉搜索树的形状如下图所示

我们可以看到,该二叉树是极其不平衡的。如果使用AVL树来存储这些元素,最终的形状如下图

可以看到,结果非常的平衡,左右子树的高度差不会超过1。最终通过红黑树的存储,形状如下图

最终我们看到,高度对比二叉搜索树来讲,已经少了很多,但是对比AVL树来讲,看起来又不那么平衡。

GitHub地址

本节完!