Android拦截并获取WebView内部POST请求参数

3,300 阅读2分钟

Android拦截并获取WebView内部POST请求参数

起因

有些时候自家APP中嵌入的H5页面并不是自家的。但是很多时候又想在H5不知情的情况下获取H5内部请求的参数,这应该怎么做到呢?

带着这个疑问,就有了这篇博客。

实现过程

方案一

最开始想到的方案是直接拦截H5中所有的请求:

webView.setWebViewClient(new WebViewClient() {
    @Override
    public WebResourceResponse shouldInterceptRequest(WebView view, WebResourceRequest request) {
        try {
            URL url = new URL(request.getUrl());
        } catch (MalformedURLException e) {
            e.printStackTrace();
        }
        Log.e("InternetActivity", request + "");
        return super.shouldInterceptRequest(view, request);
    }

});

但是通过此方法只能获取get请求的参数(因为参数直接拼在了url链接中),对于post请求的参数无可奈何。


方案二

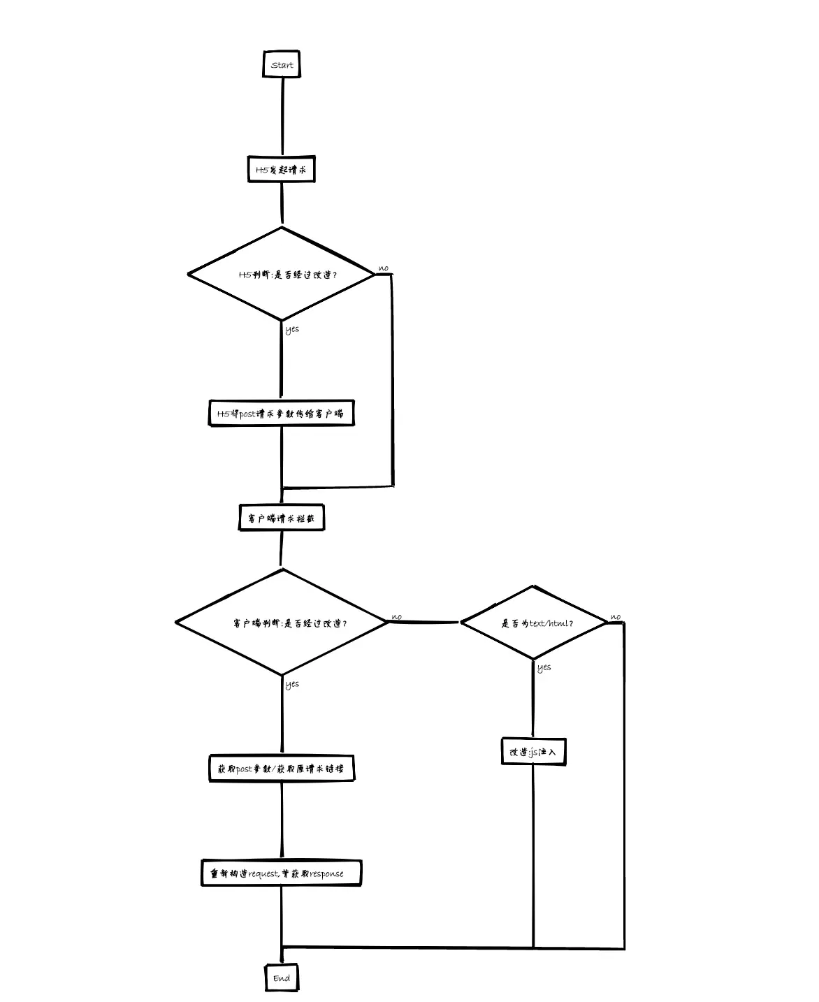
后来参考了request_data_webviewclient,有了新的实现方式,具体原理为:给H5注入一段js代码,目的是在每次Ajax请求都会调用Android原生的方法,将请求参数传给客户端。

具体流程如下:

其中,

js注入代码:

<script language="JavaScript">

    function generateRandom() {
      return Math.floor((1 + Math.random()) * 0x10000)
        .toString(16)
        .substring(1);
    }


    // This only works if `open` and `send` are called in a synchronous way
    // That is, after calling `open`, there must be no other call to `open` or
    // `send` from another place of the code until the matching `send` is called.
    requestID = null;
    XMLHttpRequest.prototype.reallyOpen = XMLHttpRequest.prototype.open;
    XMLHttpRequest.prototype.open = function(method, url, async, user, password) {
        requestID = generateRandom()
        var signed_url = url + "AJAXINTERCEPT" + requestID;
        this.reallyOpen(method, signed_url , async, user, password);
    };
    XMLHttpRequest.prototype.reallySend = XMLHttpRequest.prototype.send;
    XMLHttpRequest.prototype.send = function(body) {
        interception.customAjax(requestID, body);
        this.reallySend(body);
    };

</script>

客户端拦截请求:

@Override
public final WebResourceResponse shouldInterceptRequest(final WebView view, WebResourceRequest request) {
    String requestBody = null;
    Uri uri = request.getUrl();

    // 判断是否为Ajax请求(只要链接中包含AJAXINTERCEPT即是)
    if (isAjaxRequest(request)) {
        // 获取post请求参数
        requestBody = getRequestBody(request);
        // 获取原链接
        uri = getOriginalRequestUri(request, MARKER);
    }

    // 重新构造请求,并获取response
    WebResourceResponse webResourceResponse = shouldInterceptRequest(view, new WriteHandlingWebResourceRequest(request, requestBody, uri));
    if (webResourceResponse == null) {
        return webResourceResponse;
    } else {
        return injectIntercept(webResourceResponse, view.getContext());
    }
}

客户端注入js代码:

private WebResourceResponse injectIntercept(WebResourceResponse response, Context context) {
    String encoding = response.getEncoding();
    String mime = response.getMimeType();

    // WebResourceResponse的mime必须为"text/html",不能是"text/html; charset=utf-8"
    if (mime.contains("text/html")) {
        mime = "text/html";
    }

    InputStream responseData = response.getData();
    InputStream injectedResponseData = injectInterceptToStream(
            context,
            responseData,
            mime,
            encoding
    );
    return new WebResourceResponse(mime, encoding, injectedResponseData);
}

注:根据谷歌官方文档,mime必须为"text/html"。

反思

  • 开发过程中遇到了页面一直显示不了的问题,实际上就是因为获取到的mimetext/html; charset=utf-8,得改成text/html
  • 通过此方法也可篡改responserequest,但不要滥用;
  • 所以说,Android确实不安全!

GitHub地址:webview_post_data