图解各路分布式ID生成算法

1,646 阅读8分钟

在分布式系统中,通常会用到分布式ID来标注数据的唯一性,而分布式ID的生成方式又多种多样,今天我们就来讨论一下主流的分布式ID生成策略。

分布式ID基本需求

  • 全局唯一
  • 趋势递增
  • 信息安全

全局唯一

这是基本要求,不必解释

趋势递增

为什么要趋势递增呢? 第一,由于我们的分布式ID,是用来标识数据唯一性的,所以多数时候会被定义为主键或者唯一索引。 第二,并且绝大多数互联网公司使用的数据库是:MySQL,存储引擎为innoDB。 对于B + Tree这个数据结构来讲,数据以自增顺序来写入的话,b+tree的结构不会时常被打乱重塑,存取效率是最高的。

信息安全

由于数据是递增的,所以,恶意用户的可以根据当前ID推测出下一个,非常危险,所以,我们的分布式ID尽量做到不易被破解。

数据库主键自增(Flicker)

基于数据库主键自增的方案,名为Flicker。 主要是利用MySQL的自增主键来实现分布式ID。

以下为Flicker实现分布式ID的主流做法:

1、需要单独建立一个数据库实例:flicker

create database `flicker`;

2、创建一张表:sequence_id

create table sequence_id(
    id bigint(20) unsigned NOT NULL auto_increment, 
    stub char(10) NOT NULL default '',
    PRIMARY KEY (id),
    UNIQUE KEY stub (stub)
) ENGINE=MyISAM;

为什么用MyISAM?不用InnoDB?个人推测原因是:flicker算法出来的时候,MySQL的默认引擎还依旧是MyISAM而不是InnoDB,作者只是想用默认引擎而已,并无其他原因。

  • stub: 票根,对应需要生成 Id 的业务方编码,可以是项目名、表名甚至是服务器 IP 地址。
  • stub 要设置为唯一索引

3、使用以下SQL来获取ID

REPLACE INTO ticket_center (stub) VALUES ('test');  
SELECT 1540876;  

Replace into 先尝试插入数据到表中,如果发现表中已经有此行数据(根据主键或者唯一索引判断)则先删除此行数据,然后插入新的数据, 否则直接插入新数据。 一般stub为特殊的相同的值。

这样,一个分布式ID系统算是可以搭建运行了。但是,有人要问:“这是一个单实例、单点的系统,万一挂了,岂不是影响所有关联的业务方?”

改进升华

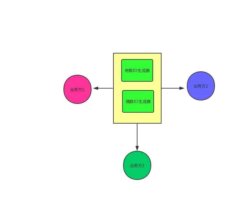
是的。确实如此,因此又有人说:“可以利用MySQL主从模式,主库挂了,使用从库。” 这只能算是一种比较low的策略,因为如果主库挂了,从库没来得及同步,就会生成重复的ID。 有没有更好的方法呢? 我们可以使用“双主模式“,也就是有两个MySQL实例,这两个都能生成ID。 如图所示,我们原来的模式:

在这里插入图片描述

双主模式是该怎么样呢?如何保持唯一性? 我们可以让一台实例生成奇数ID,另一台生成偶数ID。

奇数那一台:

set @@auto_increment_offset = 1;     -- 起始值
set @@auto_increment_increment = 2;  -- 步长

偶数那一台:

set @@auto_increment_offset = 2;     -- 起始值
set @@auto_increment_increment = 2;  -- 步长

当两台都OK的时候,随机取其中的一台生成ID;若其中一台挂了,则取另外一台生成ID。 如图所示:

在这里插入图片描述
细心会发现,N个节点,只要起始值为1,2,...N,然后步长为N,就会生成各不相同的ID。(PS:后文有推导公式)

总结

优点:

  • 简单。充分利用了数据库自增 ID 机制,生成的 ID 有序递增。
  • ID递增

缺点:

  • 并发量不大。
  • 水平扩展困难,系统定义好了起始值、步长和机器台数,跑起来之后,添加额外的机器困难。
  • 安全系数低

Redis

Redis为单线程的,所以操作为原子操作,利用incrby命令可以生成唯一的递增ID。

原理

在这里插入图片描述
单机单点,吞吐不够,加集群

在这里插入图片描述
假设N个节点,则步长为N,节点起始值为1,2,…… N。则三个节点生成的ID一定不同! 想想为什么? 以上信息条件可以转化为数学推理: 1 + x * N = 2 + y * N 且 x、y、N都为整成数且N不为1,试问等式存不存在?

答:
假设存在在起始值是1的节点上叠加x次之后等于起始值为2、叠加y次的值,
既 “1 + x * N = 2 + y * N” 等式成立
则:
x * N = 1 + y * N
x * N - y * N = 1
(x - y) * N = 1
(x - y) = 1 / N

又因为 x、y都为整成数;
所以x - y 必为整成数;
又因为只有N等于1的时候,1/N才为整成数;
与条件N为1不符合,所以不存在。

同理可证1 + x * N = 3 + y * N2 + x * N = 3 + y * N也是如此。

优点

  • 性能显然高于基于数据库的Flicker方案
  • ID递增

缺点

  • 水平扩展困难
  • Redis集群宕机可能会产生重复的id
  • 易破解

UUID

想必这个大家都熟悉。 UUID是通用唯一识别码(Universally Unique Identifier)的缩写,是一种软件建构的标准,亦为开放软件基金会组织在分布式计算环境领域的一部分。

原理

在这里插入图片描述
UUID是由一组32位数的16进制数字所构成,是故UUID理论上的总数为16^32 = 2^128,约等于3.4 x 10^38。也就是说若每纳秒产生1兆个UUID,要花100亿年才会将所有UUID用完。

UUID是利用同一时空中的所有机器都是唯一的这一规则来确保唯一性的。

在这里插入图片描述

具体外形为:

在这里插入图片描述
通常由以下几部分组成:

  • 系统时间
  • 时钟序列
  • 全局唯一的IEEE机器识别,如网卡MAC、机器SN等

生成方式多种多样,业界公认的是五种,分别是uuid1,uuid2,uuid3,uuid4,uuid5。 目前使用最广泛的UUID是微软的GUID

优点

  • 本地生成,性能极佳。无网络消耗
  • 全局唯一

缺点

  • 存储麻烦。16字节128位,通常以36长度的字符串表示,很多场景不适用
  • 通常是字符串,非自增,无序,不利于做主键。每次插入都会对B+tree结构进行修改
  • 破解相对困难,但是也不安全。参考"梅丽莎病毒事件,病毒作者制作的UUID包含Mac地址,被警方破解后,直接定位,抓捕归案😝"

snowflake

snowflake即雪花算法,Twitter发明的。

原理

外形长这样:

在这里插入图片描述

  • 1位不用。二进制中最高位为1的都是负数,但是我们生成的id一般都使用整数,所以这个最高位固定是0。
  • 41位,用来记录毫秒的时间戳。41位可以表示的数值范围是:0 至 2^{41}-1,减1是因为可表示的数值范围是从0开始算的,而不是1,转化为年则是2^{41}-1) / (1000 * 60 * 60 * 24 * 365) = 69年。
  • 10位,用来记录工作机器id。最多可以部署在2^{10} = 1024个节点,我们可以根据具体的业务来定制具体分配的机器数量和每台机器1毫秒产生的id序号number数。例如可以把10bit分5bit给IDC,分5bit给工作机器。这样就可以表示32个IDC,每个IDC下可以有32台机器,可以将内容配置在配置文件中,服务去获取。
  • 12位。用来表示单台机器每毫秒生成的id序号,12位bit可以表示的最大正整数为2^12 - 1 = 4096,若超过4096,则重新从0开始。即,每台机器1毫秒内最多产生4096个ID,足够用了。

最后将上述4段bit通过位运算拼接起来组成64位bit. 由于是64位bit,所以完全可以用数字来表示ID。

基本是根据:

在这里插入图片描述

优点

  • ID为数字且时间位在高位,整个ID都是趋势递增的。
  • 不依赖任何第三方库,完全可以自己写,且性能非常高。
  • 可根据业务定制分配bit位,非常灵活。得益于10位机器IDbit位。
  • 不太容易破解

缺点

  • 依赖机器的时间,如果机器时间不准或者回拨,可能导致重复

总结

在国内也得到了比较普遍的应用,各大厂根据其基本原理,生成了自己的规则:

请关注我的微信公众号 互联网技术窝,问题直接在公众号内留言即可

参考文献: [flicker算法原文] code.flickr.com/blog/2010/0…

[分布式唯一ID极简教程] mp.weixin.qq.com/s/cqIK5Bv1U…

[分布式 ID 生成策略] mp.weixin.qq.com/s/UAvSUDFJ8…

[分布式ID系列(2)——UUID适合做分布式ID吗] mp.weixin.qq.com/s/kZAnYz_Jj…

segmentfault.com/a/119000001…

juejin.cn/post/684490…

segmentfault.com/a/119000001…

[Leaf——美团点评分布式ID生成系统] tech.meituan.com/2017/04/21/…

[UUID的含义及实现原理]blog.csdn.net/reggergdsg/…

[通用唯一标识码UUID的介绍及使用] mp.weixin.qq.com/s/BjCL076US… [UUID简史] www.infoq.cn/article/tal…