数据结构与算法(一) 简单例子理解时间复杂度和空间复杂度

881 阅读3分钟

用O 标识时间复杂度 以及空间复杂度 简单来说就是执行代码的次数

我们分析下下面的时间复杂度

public static void test(int n) {
  // i = 0 执行1次  i < n 执行n次 i++ 执行n次
  for (int i = 0; i < n; i++) {
      // j = 0 执行n次  j < n 执行n^2次 j++ 执行n^2次
    for (int j = 0; j < n; j++) {
      //执行n^2次
      System.out.println("123");
    }
  }
}

时间复杂度计算

所以总的时间为1 + n + n + n + n^2 + n^2 + n^2 = 1 +3n +3n^2 由于计算时间复杂度可以省略常数,系数以及低阶 所以这个算法的时间复杂度为O(n^2)


public static void test2(int n) {
 // i = 0 执行1次  i < n 执行n次 i++ 执行n次
  for (int i = 0; i < n; i++) {
    //j = 0 执行n次   j < i 执行 0 + 1 + 2 + 3 +...+ (i - 1)次  j++执行 0 + 1 + 2 + 3 +...+ (i - 1)次
    for (int j = 0; j < i; j++) {
      //执行 0 + 1 + 2 + 3 +...+ (i - 1)次
      System.out.println("123");
    }
  }
}

时间复杂度计算

​ 总时间为 1 + n + n + n + (0 + 1 + 2 + 3 +...+ (i - 1)) + (0 + 1 + 2 + 3 +...+ (i - 1)) + (0 + 1 + 2 + 3 +...+ (i - 1)) 由于i = n - 1 所以

1 + n + n + n + (0 + 1 + 2 + 3 +...+ (n - 2)) + (0 + 1 + 2 + 3 +...+ (n - 2)) + (0 + 1 + 2 + 3 +...+ (n - 2)) // 0 + 1 + 2 + 3 +...+ (n - 2) = (0 + n -2) * n/2 = n^2/2 -n 所以原式为1 + n + n + n + 3(n^2/2 - n) = n^2/2 + 1 所以时间复杂度为O(n^2)


public static void test3(int n) {
   // i = 0 执行1次  i < n 执行n次 i++ 执行n次
  for (int i = 0; i < n; i++) {
    //j = 0 执行n次
		// j + = j等价于 j = j * 2  所以执行次数就是 2^j < n 因为2^j = n  j = log2^n 
    // 因为log5^n = log2^5 *long5^n  所以一般我们忽略底部系数 次数为log n
    // 所以j < n 和 j += j 的执行次数为n * logn
    for (int j = 0; j < n; j += j) {
      // 执行次数为n * logn
      System.out.println("123");
    }
  }
}

时间复杂度计算

// 总的执行次数为 1 + n + n +n + n *logn + n * logn + n * logn = 1 + 3n + 3nlogn //所以时间复杂度为nlogn

常见的复杂度

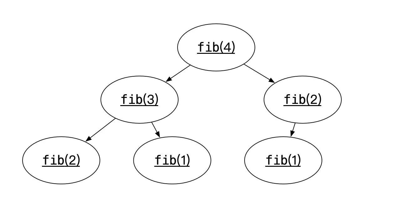
举个🌰 斐波那契数列

斐波那契数列(Fibonacci sequence),又称黄金分割数列、因数学家列昂纳多·斐波那契(Leonardoda Fibonacci)以兔子繁殖为例子而引入,故又称为“兔子数列”,指的是这样一个数列:1、1、2、3、5、8、13、21、34、……在数学上,斐波那契数列以如下被以递推的方法定义:F(1)=1,F(2)=1, F(n)=F(n-1)+F(n-2)(n>=3,n∈N*)

	public static int fib(int n) {
		if(n <= 1 ) return n;
		return fib(n - 1) + fib(n - 2);
	}

我们算一下时间复杂度 举个例子 如果我们输入的是4 我们看一下这个时间复杂度是多少

2^0 + 2^1 + 2^2 + ...2^n)= 2^(n-1) - 1 = 0.5*2^n

所以这个时间复杂度为2^n

public static int fib2(int n) {
  if (n <= 1) {
    return n;
  }
  // 1
  int first = 0;
  // 1
  int second = 1;
  // int i > 1次  i的判断 -> n-1次  i++ -> n-1次
  for (int i = 0; i < n - 1; i++) {
    int  sum = first + second;
    first = second;
    second = sum;
  }
  return second;
}

而下面这个算法就一个for循环 可见时间复杂度为n