原题
在一个由 0 和 1 组成的二维矩阵内,找到只包含 1 的最大正方形,并返回其面积。
示例:
输入:
1 0 1 0 0
1 0 1 1 1
1 1 1 1 1
1 0 0 1 0
输出: 4
思路
如何确定某一点为正方形的右下角的点,我们需要确定当前点的上,左,左上方向是否为1,如果同时为1, 我们则可以确定,该点可以作为一个2 x 2正方形的右下角的点。

对于3 x 3的正方形,对于我们通过下图可知,正方形右下角的点的上,左,左上的三个方向,必须包含了3个2 X 2的正方形。
也就是说,对于3 X 3的正方形的右下角的点,该点上,左,左上方向上的点,必须为2。

依次类推,对于4 X 4的正方形的右下角的点,该点上,左,左上方向上的点,必须为3。如果有3个方向,有一点不满足条件,则无法成为4 x 4的正方形。
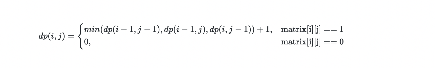
经过推导,我们可以总结出如下,状态转移方程:

代码
/**
* @param {character[][]} matrix
* @return {number}
*/
var maximalSquare = function(matrix) {
if (matrix.length === 0) {
return 0
}
const w = matrix[0].length
const h = matrix.length
const dp = []
let max = 0
for (let i = 0; i < h; i++) {
dp[i] = []
}
for (let i = 0; i < h; i++) {
for (let j = 0; j < w; j++) {
if (matrix[i][j] === '0') {
dp[i][j] = 0
} else {
const rightTop = dp[i - 1] === undefined ? 0 : dp[i - 1][j - 1] === undefined ? 0 : dp[i - 1][j - 1]
const top = dp[i - 1] === undefined ? 0 : dp[i - 1][j]
const right = dp[i][j - 1] === undefined ? 0 : dp[i][j - 1]
dp[i][j] = Math.min(rightTop, top, right) + 1
}
if (dp[i][j] > max) {
max = dp[i][j]
}
}
}
return max * max
};