04-虚拟头节点与双向链表

1,262 阅读11分钟
  • 虚拟头节点

再前面的add(int index, E element)或者remove(int index)函数中,我们针对index == 0的情况进行了特殊处理,因为一般来讲,在头尾两部分的时候,可能存在一些特殊情况。

有时候为了让代码更加精简,统一所有节点的处理逻辑,可以再最前面增加一个虚拟头节点(不存储数据)

在前面的链表当中,我们是直接将first指针指向0的节点

1566905748814.png

现在我们增加一个虚拟头节点,来指向0的节点,然后让first指针指向虚拟的头节点

1566905982701.png

需要做如下的调整

  1. 为LinkedList增加一个构造方法

        public LinkedList() {
            first = new Node<>(null,null);
        }
    
  2. 调整node方法,由于我们之前是直接重first开始取,现在改为虚拟头节点后,应该重first的下一个节点开始取

        private Node<E> node(int index) {
            rangeCheck(index);
            Node<E> node = first.next;
            for (int i = 0; i < index; i++) {
                node = node.next;
            }
            return node;
        }
    
  3. 由于现在增加虚拟头节点后,为0节点,前面又一个虚拟头节点,因此,在add(int index, E element)、remove(int index)等函数中,就不需要处理index == 0 的情况,源码查看LinkedList2类

这种方式,不是很常见,也不是很推荐,主要是对处理问题思路的拓展

  • 复杂度分析

我们来针对前面ArrayList和LinkedList两个类中,E get(int index)、void add(int index, E element)、E set(int index, E element)、E remove(int index)、E remove(int index)方法进行复杂度的分析

ArrayList中E get(int index)

    public E get(int index) {
        //对索引进行判断
        rangeCheck(index); //时间复杂度O(1)
        return elements[index];//时间复杂度O(1)
    }

E get(int index)的时间复杂度为O(1)

E set(int index, E element)

    public E set(int index,E element) {
        rangeCheck(index);//时间复杂度O(1)
        E old = elements[index];//时间复杂度O(1)
        elements[index] = element;//时间复杂度O(1)
        return old;
    }

E set(int index, E element)的时间复杂度为O(1)

void add(int index, E element)

void add(int index, E element) {
        //对索引进行判断
       rangeCheckForAdd(index);//时间复杂度O(1)
        //对数组进行扩容
        ensureCapacity(size + 1);//时间复杂度O(1)
    //在这个地方,数据规模为size
        for (int i = size - 1; i >= index; i--) {
            elements[i + 1] = elements[i];
        }
        elements[index] = element;
        size++;
    }

在add函数这个地方,数据规模为size,并且由于复杂度与size和index有关,因此就复杂度会有多种情况,即下方表示的

复杂度一般分为以下几种

  • 最好情况复杂度

最好情况就是在最后添加元素,这个时候不需要执行循环,那么复杂度为O(1)

  • 最坏情况复杂度

最坏的情况是在最前面添加元素,这个时候循环执行的次数为数据规模,那么复杂度为O(n)

  • 平均情况复杂度

在本例中,由于情况比较特殊,假设传入index的概率都一样时,那么index的平均值为(1 + 2 + 3 + . ... + n)/ n,那么复杂度为O(n / 2) -> O(n)

E remove(int index)

public E remove(int index) {
        rangeCheck(index);
        E old = elements[index];
        for (int i = index + 1; i <= size - 1; i++) {
            elements[i - 1] = elements[i];
        }
        elements[--size] = null;
    return old;
    }

同样的,在删除元素时,也存在最好和最坏的情况,最好的情况即为删除最后一个元素,则复杂度为O(1),最坏即为删除最前面的一个元素,则复杂度为O(n),平均复杂度也为O(n)

接下来我们来看LinkedList中的E get(int index)

    public E get(int index) {
        //该地方的复杂度取决于node(int index)的复杂度
        return node(index).element;
    }

链表的结构如下所示

1566310888924.png

因此在查找元素的时候,需要一个一个的往下进行遍历,那么复杂度也就和ArrayList中的E remove(int index)相同,因此,也存在最好和最坏的情况,最好的情况即为删除最后一个元素,则复杂度为O(1),最坏即为删除最前面的一个元素,则复杂度为O(n),平均复杂度也为O(n)

E set(int index, E element)

    public E set(int index, E element) {
        Node<E> node = node(index);
        E old = node.element;
        node.element = element;
        return old;
    }

在set(int index, E element)里面,也调用了node(int index),那么复杂度和LinkedList中的E get(int index)相同

void add(int index, E element)

 public void add(int index, E element) {
        rangeCheckForAdd(index);
        if (index == 0) {
          first =  new Node<E>(element,first);
        } else  {
            Node<E> prev = node(index - 1);
            prev.next = new Node<>(element,prev.next);
        }
        size++;
    }

可以看出,最好的情况为index == 0的情况,最坏的情况,则是找到最后一个元素,复杂度为O(n),平均复杂度也为O(n)

E remove(int index)

    public E remove(int index) {
        rangeCheck(index);
        Node<E> node = first;
        if (index == 0) {
            first = first.next;
        } else  {
            Node<E> prev = node(index - 1);
            node = prev.next;
            prev.next = node.next;
        }
        size--;
        return node.element;
    }

删除节点的情况,最终也和添加节点的情况一样,复杂度相同

所以最终的结果为下图

1566992841371.png

  • 动态数组add(E element)复杂度分析

    public void add(E element) {
        add(size,element);
    }

在这种情况下,我们看到,永远都是在size的位置进行添加元素,这种情况不需要挪动元素,那么复杂度为O(1),不过也存在最坏复杂度的情况,就是扩容的时候,即是O(n),但是绝大多数情况是O(1),则平均复杂度可以视为O(1),在这种情况下,纯在均摊复杂度,其均摊复杂度为O(1)

分析

假设此时有一个数组,最大容量为4,那么在前面4次添加操作时,复杂度均为O(1)

1566993703821.png

但是当我们继续往下添加的时候,就会扩容,在扩容时,复杂度为O(4)

1566993749648.png

所以在此时,扩容操作的复杂度就会均摊到前面4次添加操作中去,应为扩容与前面的添加操作存在关系

1566993895040.png

相当于是每次add操作的次数为2,那么复杂度还是为O(1)

  • 双向链表

此前所介绍的链表,也叫做单向链表

使用双向链表,可以提升链表的综合性能

再前面单向链表的时候,示意图是这样的

1567824839951.png

单向链表只有一条线,当前节点指向的永远是其下一个节点,所以其缺点是只能重头部往后面搜索

然而双向链表,当中有一个指向上一个节点的指针,可以通过下一个节点,找到上一个节点,其示意图是这样的

1567825075829.png

如果当前节点为头节点,则该节点的prev指针指向null

同样的,链表对象中,就对应的多了一个last指针,该指针指向链表的位节点,链表对象如下所示

1567825194902.png

整个链表的示意图这应该是这样的

1567825581248.png

有了双向链表,那么我们查找元素可能会从两个方向来进行擦找,一个是从头节点开始查找,一个是从尾节点开始擦找

🤔什么时候从左往右开始找,什么时候从右往左开始找,如何进行判断?

查找节点

可以通过定位节点的索引,通过size进行判断,判断方式如下

Node<E> node(int index) {
        rangeCheck(index);
        if (index < (size >> 1)) {
            //在左边
            Node<E> node = first;
            for (int i = 0; i < index; i++) {
                node = node.next;
            }
            return node;
        } else {
            //在右边
            Node<E> node = last;
            for (int i = size - 1; i > index; i--) {
                node = node.prev;
            }
            return node;
        }
    }

清空链表

在单向链表时,我们清空节点是直接将first指针置为null,那我们在双向链表中,如果同样的把last置为null的话,会有问题存在吗?我们先通过图片进行分析,清空链表的代码如下

public void clear() {
    size = 0;
    first = null;
    last = null;
}

首先一个完整的链表是这样的

1567825581248.png

当我们把first和last都置为null之后,是这样的

1567827407159.png

置空以后,就存在一个问题,那么链表中的节点会被释放掉吗?因为我们看到,现在每个节点,都有指针被上一个节点或者下一个节点引用着,其实在Java当中,这种情况是会被释放的,应为在Java虚拟机当中,存在一个gc root对象,凡是没有被gc root对象所引用的内存,都会被系统回收掉。

那问题来了,什么样的对象是gc root对象呢?

在Java中,只要被栈空间对象指向的对象,属于gc root对象,由于我们在创建链表对象是是通过这种方式进行创建的

List<Integer> list = new LinkedList<>();

其中通过new LinkedList<>()创建的对象,其内存在堆空间当中,而方法内创建的局部变量List<Integer> list在栈空间中,此时在栈空间的list引用着new LinkedList<>()内存地址,那么通过new LinkedList<>()创建出来的对象,就叫做gc root对象。

知道什么叫做gc root对象以后,当我们清空链表时,将first和last引用都置为null之后,链表节点就不再有gc root对象引用着,因此节点的内存就会被系统回收掉,这就是Java虚拟机的做法。

链表的添加 add(int index, E element)

现在如下的一个双向链表,假设我们需要在节点为2的地方,添加节点

1567845965610.png

添加过程中的引用发生了如下变化

1567846273387.png

上面这种过程,通过代码表示为

Node<E> next = node(index);
Node<E> prev = next.prev;
Node<E> node = new Node<>(prev,element,next);
prev.next = node;
next.prev = node;

不过这种添加是比较通用的一种情况,那么假设我们现在添加的位置为序号为0的位置,那么应该做特殊的处理,应为节点为0的prev为null,因此需要特殊的处理

通过代码表示为

Node<E> next = node(index);
Node<E> prev = next.prev;
Node<E> node = new Node<>(prev,element,next);
next.prev = node;
if (prev == null) {
    first = node;
} else  {
    prev.next = node;
}

1567847021486.png

同样的,如果往最有一个位置添加元素,则需要特殊处理,因此特殊处理代码如下

Node<E> oldLast = last;
last = new Node<>(oldLast,element,null);
oldLast.next = last;

1567847631345.png

但是,这样写,还是存在问题,即为链表当中不纯在任何节点的时候,Node<E> oldLast = last;为null,这种情况需要特俗处理,代码为

Node<E> oldLast = last;
last = new Node<>(oldLast,element,null);
if (oldLast == null) {
    first = last;
} else  {
    oldLast.next = last;
}

1567847970263.png

完整的代码逻辑是这样的

public void add(int index, E element) {
        rangeCheckForAdd(index);
        if (index == size) {
            Node<E> oldLast = last;
            last = new Node<>(oldLast,element,null);
            if (oldLast == null) {
                first = last;
            } else  {
                oldLast.next = last;
            }
        } else  {
            Node<E> next = node(index);
            Node<E> prev = next.prev;
            Node<E> node = new Node<>(prev,element,next);
            next.prev = node;
            if (prev == null) {
                first = node;
            } else  {
                prev.next = node;
            }
        }
        size++;
    }

链表的删除 E remove(int index)

同样的,假设现在有如下的链表,我们想要删除下标为2的节点

1567848382053.png

首先我们找到即将被删除的节点,我们将即将被删除节点的上一个节点中的next指向被删除节点的next,被删除节点的下一个节点的prev指向被删除节点的prev,通过图示表示为

1567848579979.png

通过这样修改以后,node为2的节点,就从链表中成功的删除,并且该节点不再有引用指向它,其内存最终被系统回收

1567848684927.png

代码表示为:

public E remove(int index) {
        rangeCheck(index);
        Node<E> node = node(index);
        Node<E> prev = node.prev;
        Node<E> next = node.next;
        if (prev == null) {//等价于index == 0
            first = next;
        } else  {
            prev.next = next;
        }
        if (next == null) {//等价于index == size - 1
            last = prev;
        } else  {
            next.prev = prev;
        }
        size--;
        return node.element;
    }

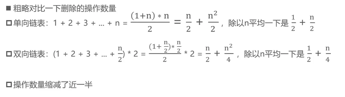
双向链表 VS 单向链表

1567850759251.png

双向链表 VS 动态数组

动态数组

  • 开辟、销毁内存空间的次数相对较少,但是可能造成内存空间的浪费(可以通过缩容解决)

双向链表

  • 开辟、销毁内存空间的次数相对较多,但不会造成内存空间的浪费
  • 如果频繁在尾部进行添加删除操作,动态数组双向链表均可选择
  • 如果频繁在头部进行添加删除操作, 建议选择使用双向链表
  • 如果有频繁的(在任意位置)进行添加删除操作, 建议选择使用双向链表
  • 如果有频繁的查询操作(随机访问操作),建议选择使用动态数组

不过,看到这里,我们不禁有疑问,有了双向链表,单向链表是否就没有任何用处了呢?

并非如此,在哈希表中的设计就用到了单向链表,至于原因,我会在哈希表章节中详细说明。

demo源码下载地址

本节完!