很多人在决定是否看一部电很多人在决定是否看一部电影之前都会去豆瓣看下评分作为参考,看完电影也会给一个自己的分数。每个人对每个商品或者电影或是音乐都有一个心理的分数,这个分数标明用户是否对这个内容满意。作为内容的提供方,如果可以预测出每个用户对于内容的心理分数,就能更好的理解用户,并给用户提供好的内容推荐。今天就介绍下如何通过ALS矩阵分解算法实现用户对于音乐或者电影的评分预测。
ALS算法介绍
ALS算法是基于模型的推荐算法,基本思想是对稀疏矩阵进行模型分解,评估出缺失项的值,以此来得到一个基本的训练模型。然后依照此模型可以针对新的用户和物品数据进行评估。ALS是采用交替的最小二乘法来算出缺失项的,交替的最小二乘法是在最小二乘法的基础上发展而来的。
从协同过滤的分类来说,ALS算法属于User-Item CF,也叫做混合CF,它同时考虑了User和Item两个方面。
我们通过音乐打分这个案例介绍下交替最小二乘法的原理,首先拿到的原始数据是每个听众对每首歌的评分矩阵A,这个评分可能是非常稀疏的,因为不是每个用户都听过所有的歌,也不是每个用户都会对每首歌评分。

ALS矩阵分解会把矩阵A分解成两个矩阵的相乘,分别是X矩阵和Y矩阵,
矩阵A=矩阵X和矩阵Y的转秩的乘积x的列表示和Y的横表示可以称之为ALS中的因子,这个因子是有隐含定义的,这里假设有3个因子,分别是性格、教育程度、爱好。A矩阵经过ALS分解出的X、Y矩阵可以分别表示成:

(上图为x矩阵)

(上图为Y矩阵)
数据经过这样的拆解就很容易做用户对音乐的评分预测。比如有听众6,他从没听过“红豆“这首歌,但是我们可以拿到听众6在矩阵分解中X矩阵的向量M,这时候只有把向量M和”红豆“在Y矩阵中的对应向量N相乘,就能预测出听众6对于”红豆“这首歌的评分。
ALS在PAI实验
现在在PAI上面对ALS算法案例进行实验。整体流程只需要包含输入数据源和ALS矩阵分解组件即可。本案例已经集成于PAI-STUDIO首页模板:

创建后如图:

1.数据源
输入数据源包含4个字段

- User:用户ID
- Item:音乐ID
- score:user对item的评分
2.ALS矩阵分解
需要设置3个对应字段,

参数名称参数描述取值范围是否必选,默认值userColNameuser列名列的类型必须是bigint,可以不连续编号必选itemColNameitem列名列的类型必须是bigint,可以不连续编号必选rateColName打分列名列的类型必须是数值类型必选numFactors因子数正整数可选,默认值100numIter迭代数正整数可选,默认值10lambda正则化系数浮点数可选,默认值0.1implicitPref是否采用隐式偏好模型布尔型可选,默认值falsealpha隐式偏好系数浮点数,大于0可选,默认值40
3.结果分析
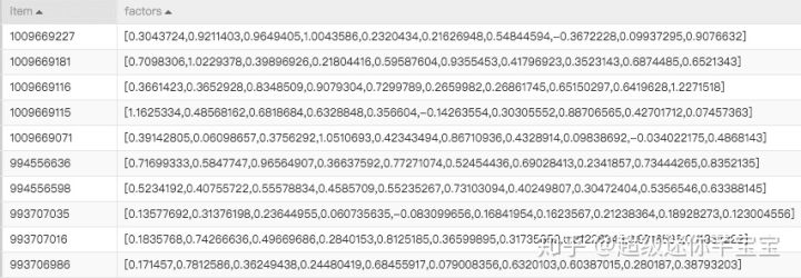
本案例中会输出2张表,对应ALS算法介绍中说的X矩阵和Y矩阵。
X矩阵表如图:

Y矩阵表如图:

比如要预测user1对音乐item994556636的评分,只要将下方两个向量相乘即可
- User1:[-0.14220297,0.8327106,0.5352268,0.6336995,1.2326205,0.7112976,0.9794858,0.8489773,0.330319,0.7426911]
- item994556636:[0.71699333,0.5847747,0.96564907,0.36637592,0.77271074,0.52454436,0.69028413,0.2341857,0.73444265,0.8352135]
本文为云栖社区原创内容,未经允许不得转载。影之前都会去豆瓣看下评分作为参考,看完电影也会给一个自己的分数。每个人对每个商品或者电影或是音乐都有一个心理的分数,这个分数标明用户是否对这个内容满意。作为内容的提供方,如果可以预测出每个用户对于内容的心理分数,就能更好的理解用户,并给用户提供好的内容推荐。今天就介绍下如何通过ALS矩阵分解算法实现用户对于音乐或者电影的评分预测。
ALS算法介绍
ALS算法是基于模型的推荐算法,基本思想是对稀疏矩阵进行模型分解,评估出缺失项的值,以此来得到一个基本的训练模型。然后依照此模型可以针对新的用户和物品数据进行评估。ALS是采用交替的最小二乘法来算出缺失项的,交替的最小二乘法是在最小二乘法的基础上发展而来的。
从协同过滤的分类来说,ALS算法属于User-Item CF,也叫做混合CF,它同时考虑了User和Item两个方面。
我们通过音乐打分这个案例介绍下交替最小二乘法的原理,首先拿到的原始数据是每个听众对每首歌的评分矩阵A,这个评分可能是非常稀疏的,因为不是每个用户都听过所有的歌,也不是每个用户都会对每首歌评分。

ALS矩阵分解会把矩阵A分解成两个矩阵的相乘,分别是X矩阵和Y矩阵,
矩阵A=矩阵X和矩阵Y的转秩的乘积x的列表示和Y的横表示可以称之为ALS中的因子,这个因子是有隐含定义的,这里假设有3个因子,分别是性格、教育程度、爱好。A矩阵经过ALS分解出的X、Y矩阵可以分别表示成:

(上图为x矩阵)

(上图为Y矩阵)
数据经过这样的拆解就很容易做用户对音乐的评分预测。比如有听众6,他从没听过“红豆“这首歌,但是我们可以拿到听众6在矩阵分解中X矩阵的向量M,这时候只有把向量M和”红豆“在Y矩阵中的对应向量N相乘,就能预测出听众6对于”红豆“这首歌的评分。
ALS在PAI实验
现在在PAI上面对ALS算法案例进行实验。整体流程只需要包含输入数据源和ALS矩阵分解组件即可。本案例已经集成于PAI-STUDIO首页模板:

创建后如图:

1.数据源
输入数据源包含4个字段

- User:用户ID
- Item:音乐ID
- score:user对item的评分
2.ALS矩阵分解
需要设置3个对应字段,

参数名称参数描述取值范围是否必选,默认值userColNameuser列名列的类型必须是bigint,可以不连续编号必选itemColNameitem列名列的类型必须是bigint,可以不连续编号必选rateColName打分列名列的类型必须是数值类型必选numFactors因子数正整数可选,默认值100numIter迭代数正整数可选,默认值10lambda正则化系数浮点数可选,默认值0.1implicitPref是否采用隐式偏好模型布尔型可选,默认值falsealpha隐式偏好系数浮点数,大于0可选,默认值40
3.结果分析
本案例中会输出2张表,对应ALS算法介绍中说的X矩阵和Y矩阵。
X矩阵表如图:

Y矩阵表如图:

比如要预测user1对音乐item994556636的评分,只要将下方两个向量相乘即可
- User1:[-0.14220297,0.8327106,0.5352268,0.6336995,1.2326205,0.7112976,0.9794858,0.8489773,0.330319,0.7426911]
- item994556636:[0.71699333,0.5847747,0.96564907,0.36637592,0.77271074,0.52454436,0.69028413,0.2341857,0.73444265,0.8352135]
本文为云栖社区原创内容,未经允许不得转载。