「笔记」一词的含义非常广泛。它可以指在各种情境下,为了记录信息、整理思路而制作的图文。而我们这篇文章所说的笔记类型,是特指「学术笔记」。它往往与课堂、讲义的内容有关,是对学习内容的记录和整理。
那么,一谈到笔记,我们很容易想到 Bear、Notability、Evernote 或者系统备忘录这样的 app,再或者是最传统的纸和笔。纵观 App Store,以「数字笔记本」为定位的主流 app 大致可以分为以下几种:
- Markdown 编辑器:适合录入纯文本,调整方便。比如 Bear(熊掌记)、Ulysses。
- 富文本编辑器:通常兼有收集功能、编辑功能,还多能做为 To-do 来使用。比如 Evernote(印象笔记)、有道云笔记、Notion、Pendo、Agenda。
- 专注于手写输入的 app:适合边写边画或者录音。比如 Notability、GoodNotes、MyScript Nebo。
像是课堂笔记,记录的时效性很强,同时我们日后还需要复习。这就要求记的时候能记得快,日后复习的时候也能清晰易读。不难发现,在上面提到的三种工具中,关于后者,也就是与易读性相关的版面样式,我们可以做的很少。
而与这些工具不同,Pages 是一款「文字处理软件」,它的一大主要功能就在于排版。下面是 Pages 分为三栏的「格式」菜单:

可以看到,Pages 中有大量关于版面的选项供我们调整。而复杂的版面调整,难免会把使用者的注意力从内容中分散出来。就容易让我们感觉 Pages 比较复杂臃肿,并不适合来「记笔记」。随着这种偏见的加深,当大家需要记笔记的时候,可能最后想到的才是 Pages。
可是,如果仔细考虑我们的需求就会发现,Pages 的功能可能复杂,但并不臃肿。比如,拿我所熟悉的理工科专业来说,笔记中经常需要在合适的位置嵌入插图和数学表达式。这时,上述所有的「笔记工具」立刻就显得捉襟见肘,然而这些却是 Pages 的拿手好戏。
这是我在实践1 中总结出的对一个笔记工具的要求:
- 专业:能够插入高质量的数学式和图表;
- 易用:各项调整符合直觉,同时能够快速录入文字、插入各种媒体;
- 灵活:能够自由地调整版面以满足不同标准或需要;
- 支持模版:可以建立预设模版以快速应用;
- 价格合理、有常规更新维护。
结合这些需求,反观众多的笔记工具,我发现曾经最不起眼的 Pages 就开始「大放光芒」。

创建空白文档
接下来,我将从一份空白文档开始,完整地展示制作一份理工科笔记的流程,为大家展示 Pages 是如何胜任这些工作的。
首先我们来创建一个文稿。在键盘上按下 ⌘Command-N 就可以进入模版选择界面。为了尽可能更多地演示「调教」一份模版的过程,我在这里选择空白:

我们首先输入一些文字。对于一份空白文稿,默认输入的文字全都是文章的「正文」2 ,我们暂时用换行来区别不同的段落和层级,就得到了这样的效果:

在上图中:
- 第一行是文档的标题(title);
- 第二行是第一层级,即章的标题(chapter);
- 第三行是第二层级,即节的标题(section);
- 第四行之后是正文(body)。
处理段落样式
到此为止,我们写下的还只是纯文字。为了突显文章的层次并让版面更美观,我们需要为各个层级(或者说各类元素)设置一定的样式。虽然 Pages 中关于样式的调整选项有很多,但当我们将一切配置好之后可以保存,进而做到「一键应用」,像在 Markdown 中用 # 指定层级一样简单。这就是 Pages 中的「段落样式」。
这里所谓的段落,指的是用回车 ↩︎return 分隔的一段文字,敲一次回车就相当于创建了一个新的段落。而排版的第一步,就是要为每一个段落应用段落样式。
接下来,我们来把段落样式应用到文本。
划定文章层次:章—节—正文
点击右上角的「格式」按钮来配置样式(在 iPad 上,这个按钮是一个小刷子的图标)。点开最上面那个写着「正文」的菜单,就可以看见文档模版中的预设样式。Pages 默认提供了很多的预设样式,但其中一些是我们使用不到的,比如「标签」,所以我们先来精简一下。
把鼠标指向一个样式,就可以看到右边出现代表二级菜单的小箭头,点击「删除」即可。这里还可以根据使用习惯,把各个样式重命名。如果出现「您想要删除的样式当前正在文稿中使用」这个对话框,随便选,事后再调即可。

大家可以按照习惯保留几个自己想要的样式。我精简之后就剩下上图中的几种样式了。
把光标放到段落内,点击预设菜单中的样式,就可以将该样式应用到文本中:

未经调整的默认样式,大概只是让用户看到保存多种预设样式的可能性。正如上图,各个层级共用一个不够学术的苹方字体;间距过小显得版面十分拥挤;一致的左对齐无缩进让人难以区分段落……总之并不适合让我们的学术笔记。所以我们就要对这些预设进行一定的细节调整。
调整视觉效果:以「引文」为例
选中一段文字,在右侧的格式栏中调整它的各项参数。这里我们来试着制作一个「引文(quotation)」样式,以此来快速了解一些常用选项的用法。
在屏幕右边的「格式」中选择「样式」栏。在第一个选项卡「字体」中,可以选择字库,调整字重3 和文字大小等等。比较特殊的是下面的「字符样式」菜单,它类似于之前提到的「段落样式」,但它不是面向整段,而只是应用于被选中的几个字。
一般来说,整段引用的句子需要和正文样式有较大的区别,所以这里采用居中的楷体:

如我们所见,这句话和前后的文本之间还是十分拥挤,这时,利用「间距」中的选项,调整它的段前、段后间距,当然也可以根据需要,调整本段内的行间距4 :

仔细观察可以发现,段前和段后的空白部分是算在本段文字中的,是本段文字的一种属性。当前后两种样式衔接,但上一段的段后距,与下一段的段前距数值不同时,间距的宽度将取决于较大的那个数值。
为了进一步让版面更为清晰,我们可以给这段特殊的文字添加一些边框,具体步骤如下:
- 在「格式」栏,从「样式」点击切换到「布局」;
- 在「布局」栏最下方找到「边框与嵌线」,选择想要的边框样式,这里我们采用上下两条线;并在右边调整线宽;
- 用标尺手动调整左右的缩进(如果看不到标尺,按下
⌘ command + R就可以调出),并让左右对称。
这里手动调节标尺的原因是,可以实时地看到效果。其实,手动调节也很容易让左右对称。同时,我们需要根据文本的长短来判断需要在段落两边留出多少空白。仅仅用参数调整的话,不能保证它适合任何于长度的段落。
这样我们就完成了「引文」样式的配置。这时,再打开样式选择菜单,点击一下右上方的加号,就可以把当前(光标停留处)的这个样式保存到菜单中:

如果你经常使用某一个样式,那么可以为它设置一个快捷键:

设置快捷键之后,只要按下功能键 F1–F85 ,就可以迅速地将对应的段落样式应用在当前光标停留的位置。
这时,我们可以回过头来,根据自己的需要,添加更多的层级和样式。想要对一个现有的样式进行修改,只要把某段文字调整为你想要的样式,之后点击样式菜单右边的「更新」按钮。这时,经过调整的样式会被记住并应用到全文的相同层级中。现在,我们可以把最初那四行文字的样式所有的预设样式都调整为我们需要的。对比图如下:

注意:各个需要调节的选项可能分别位于「样式」、「布局」、「更多」三个菜单中,找不着的时候到处都看一下。
样式调整的小结
「段落样式」可以认为是一些标签,文章的每一个段落有且仅有一个这样的标签。各个段落之间段落样式的选择互不影响。初次的调整可能较为复杂,但如果已经配置好各个样式,「一键应用」就可以。
这里介绍一下我常用的各个层级和样式,部分没有出现在截图中:
- 章:黑体6 ,常规字重,30 点,居中,段后 60 点,无缩进。
- 节:宋体,常规字重,18 点,向左对齐,段前 24 点,无缩进。
- 小节:黑体,常规字重,11 点,向左对齐,段前 24 点,段后 16 点,无缩进。
- 小小节:楷体,粗体,11 点,向左对齐,段前 8 点,缩进 36 点。
- 正文:宋体,常规字重,11 点,两边对齐,行距 1.3 倍,段前 8 点,缩进 22 点。
- 图片说明(caption):宋体,常规字重,9 点,居中,段前 8 点,无缩进。
- 引用:楷体,常规字重,10 点,居中,行距 1.3 倍,段前 8 点,段后 0 点,上下 0.25 点边框。
这里的各项参数主要是基于美观易读的考虑,可能并不完全符合各个机构对学术文章的投稿要求,请读者注意。
保存模版
事实上,一份 Pages 模版包含的主要信息,就是一些设定好的段落样式。当我们已经设置好需要的所有样式之后,就可以把这份文档保存成模版:在 Mac 屏幕顶端的菜单栏 — 文件中选择「存储为模版」。
如果选择默认项「添加到模版选择器」,当前文稿会出现在新建文稿时,模版选择器的最后「我的模版」分类中,并通过 iCloud 同步到你的所有设备的模版选择器:

对一份模版点右键,可以删除或者重命名。
如果选择「存储」,则可以把这份模版导出为一份文件,分享给需要的人。
数学表达式
插入数学式可以说是 Pages 一大拿手好戏了,关于 Page 内置的数学式编辑器,详细可以阅读参考我此前写过的《Pages 方程编辑器深度使用详解》。
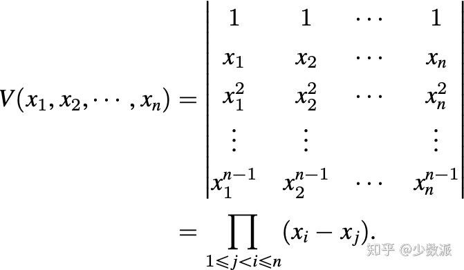
不过,内置的数学式编辑器也并不总是够用,比如下面这个数学式:

可以看到,行列式的元素完全(错乱地)堆在了一起。这个效果简直已经让人难以辨认这个表达式的原有形状。其实,理想的结果是:

毕竟 Pages 不是专业 LaTeX 编辑器,不能调用系统的 LaTeX 编译引擎(尤其是在 iPad 上更不可能),这就导致在我们试图编辑稍微复杂一些数学式时,灾难的发生。
上面的正确结果是在 LaTeXiT 中编辑的。可以看到,问题主要出在 Pages 搞混了 align 环境中的 &和矩阵环境中的 &。目前我还没有发现在 Pages 中如何(利用或许不那么常规的方法)解决这个问题。
所以,在必要的时候切换工具,比如求助于上面所说的 LaTeXiT,是有效的解决问题的方法。LaTeXiT 一般会在安装 MacTeX 的过程中被打包安装到电脑上,是一个专门用来编辑数学式的软件。LaTeXiT 使用的是系统中的 LaTeX 引擎,这也就保证了它几乎能够应付一切关于数学表达式的需求。同时,可以像一份标准的 TeX 文件那样,为 LaTeXiT 配置各类宏包、自定义命令,来实现更为复杂的功能。

除了 LaTeX 之外,(看起来是最近突然出名的)Mathpix 也是一种非常不错的选择。虽然用它仍然不能正确地排版上面那个「灾难」,但是它的 OCR 功能真的是可以用强无敌来形容了:

可以看到,Mathpix 识别出了:
- 罗列表达式的环境
\begin{matrix} \end{matrix}、 - 粗体的符号,比如
\boldsymbol H、 - 正体的符号,比如
\mathrm d,
并将它们统一转换成了 LaTeX 命令。在遇到一些不知道如何输入的符号或者结构时,只要识别一下,就能得到它们的输入方法,这一特性对 LaTeX 初学者也就尤其有用。
插图
我们希望在笔记中加入一些合适的插图,以帮助我们直观地理解文字内容。在 Pages 中插入和摆放插图是非常容易的。图片可供调整的自由度很高,适合处理各类情况。
图片的摆放
作为一款苹果制作的 app,Pages 支持你能想到的所有把图片插入文档的方式:拖拽、拷贝粘贴、从照片中库选择、从文件中选择、拍照……可能还有更多。
Pages 对于图文混排格式的支持也是相当不错的。选中一张图片后,可以通过点击右上角的「格式」(在 iPad 上也就是前面我们大量使用的「小刷子」)打开图片格式编辑菜单。「排列」一栏中虽然有四种排列方式,但我们只需要其中的两种:「自动」和 「上方和下方」,就够了。
首先来看「自动模式」。一张图片被插入后,其混排方式默认处于自动模式,它的的特点是绕排优先,基本总会让图片那几行内的文字环绕整张图片:

可见,选择「自动」后,就算图片的宽度已经大到只允许那行显示一个字,文字依然会绕排。当图片尺寸较小时可以考虑采用这种模式。
而对于上方和下方,则总是让图片所在的几行不再出现文字:

对于大尺寸的图片,建议直接选择这项。学术文章的排版中,也基本采用这种插图。
这里似乎有一个陈年 bug:在排版过程会发现图片经常莫名其妙窜到页面的顶部。这时候可以试着调整一下这张图片以及之前的图片,来手动修复这个 bug。注意不要轻易在上述菜单中关闭「随文本移动」开关。这时候,虽然图片不会再乱窜了,但代价是如果你想在这张图片之前加东西,那这张图不会相应地下移,从而造成版面的错乱。
图片的来源
仔细想想就会发现,我们会插入笔记中的图片,其实基本上都是教材讲义中沿用多年的经典图形,而只有很少一部分是来自老师在课堂上的原创。这也就是说,只要我们能得到一份书中插图的电子版,就能基本满足需求。在这种背景下,扫描纸质资料上的插图成了一种相当实用的选择。
对比多家后,我最常使用的两款扫描 app 是:Carbo 和 Scanbot。它们的功能定位不完全相同,这里都来介绍一下。
矢量图生成软件 Carbo
Carbo 可以把纸质资料转化为 SVG 矢量图,从而允许用户对其进行一定的修改。用 Carbo 扫描一篇纸质资料,它会将这张纸上与底色有明显对比的部分,转换为可以修改的矢量笔画。你可以修改、擦除、框选、移动上面的笔画,也可以自己往上多画几笔。利用 Carbo 可以把那些多余的笔迹擦除,这一特点是它很擅长处理那种画满了线的纸质资料:
用 Carbo 处理扫描的文稿
Carbo 本身支持纸张边缘识别和后期裁剪。在完成修改后,可以选择多种预设的外观来导出 JPG 图像或者具有透明背景的 PNG 图像:

扫描软件 Scanbot
Scanbot 是一款比较传统的扫描 app,只能扫描、裁切、调光。最后让我决定主要使用它的,是它优秀的边缘识别功能和顺滑的裁剪操作;支持直接拷贝 PDF 当然也是一个加分项。用 iPhone 扫描、拷贝之后直接利用通用剪贴板(universal clipboard)粘贴到 iPad 或 Mac 上就好。
用 Scanbot 来扫描插图
整个工作流程大概是:
- 拍摄:用 iPhone 上的扫描 app 拍摄纸张上的插图;
- 裁剪:手动调整边缘识别及裁剪(如果需要);
- 拷贝:完成扫描,拷贝为图片或 PDF;
- 粘贴:在用来处理文字的设备上利用通用剪贴板(universal clipboard)粘贴;
- 应用:在 Pages 中调整图文混排方式、缩放、摆在合适的位置。
层级与目录
随着笔记篇幅的增大,对章节的查找定位也就成了一件麻烦的事。在近来的一次更新中,Pages 在全平台加入了目录大纲生成功能。利用这个功能,我们可以让电脑理解我们创建样式之间的层级关系,并利用这个关系创建一份文章大纲。

在 Mac 上,点击右上角的「显示」按钮,选择「目录」,就可以打开目录,并使之保持显示在窗口左侧。目录栏的左上角有一个「编辑」按钮,点一下,就可以打开目录设置菜单。在这里勾选需要出现在目录中的层级,并设置缩进。(对目录的设置在 iPad 上完全类同,这里用 Mac 做演示是因为这些选项在 Mac 上不太好找。)
生成目录之后,整个目录看起来就像一份具有层级区别的大纲,如果将更细的分节填充进去,那还颇有些思维导图大纲视图的感觉。
以上我们看到了 Pages 作为一个「文字处理软件」,为学术笔记排版提供的强大功能。但除了排版之外,Pages 能做的还有更多。
Pages 还能提供什么
文件管理
作为数字笔记工具,一个 app 的使用体验,和其文件管理系统的完善程度密不可分。而在这一点,Pages 也没有让我们失望。Pages 早就支持了 iCloud Drive,但直到 iOS 11 加入了文件 app,我们才能在 iOS 设备上拥有完整的文件管理体验。
除此之外,Pages 支持将文稿以多种格式导出:PDF、Word 文档、EPUB 电子书、RTF 富文本,还支持多人文档协作,这使得分享一份 Pages 文档非常容易。在需要复习时,一份 PDF 也更能让我们专注于内容本身。
记录速度
我的使用经历表明,利用 Pages 在课堂上边听边记是完全可行,也完全来得及的。单纯的文字录入不用多说,打字速度只要说得过去,就可以完全让你不用担心。
对于数学式,熟悉相关 LaTeX 语法和命令的话自然不怕。但我们总会遇到一些不那么理想的情况,比如突然需要插入一个大矩阵。这时候如果害怕来不及跟不上,那可以直接拿起 Apple Pencil 戳一下屏幕马上开写;随手画个电路图之类的当然也不在话下。

多媒体嵌入
还有一个使得 Pages 非常适合用来做课堂笔记的特性是,它支持嵌入各类多媒体文件。可以在 Pages 内直接录音,此时录音会以一个圆形按钮的形式出现在文中,并可以任意移动到你需要的地方。听到有趣的部分想记录下来,拿起 iPad 直接录像就行。

结语/后记
在所谓的「无纸化」刚刚开始流行起来时,上课带着电脑直接打字或许还是一种看起来有些「作」的行为;但硬件软件共同的进步和完善,让我们有机会再次考量:无纸化究竟是伪需求,还是真的有让传统媒介相形见绌的优势?
我认为,笔记是用来「看」的,一份用来看的文件,应当清晰易读,否则在需要回看的时候,一时找不到想找的东西,很难受。所以,花费精力来调整版面并不是花拳绣腿。
同时,我不认为打字意味着没有思考。有时,当我的同学看到我屏幕上的一页笔记,他们会问:「你这是在抄书吗?」最初听到这个问题的时候我会想:我真的是在抄书吗?正是基于这种疑虑,我会更加慎重地考虑自己写下的每一句话,确保它们来自我的理解,而不是仅仅作为一次重新排版的产物出现在我的屏幕上。思考的过程,我选择让它们出现在草稿纸上,而不要干扰笔记的思路和完整性。当然,可以用 Notability 这样的 app 作为一张草稿纸,但或许一张真正的纸才是最适合用来承载思路和计算历程的东西。
综合以上的讨论,我对「无纸化」的实用性是有信心的,但对它所覆盖功能的全面性仍然不能完全肯定。而 Pages,就是我所找到的,践行「无纸化」的入口。它能充分地发挥无纸化的优势,可靠地构成我们「学术工作流」中重要的一环。