【论文阅读】Cooperative-Competitive Task Allocation in Edge Computing for Delay-Sensit

855 阅读18分钟

Cooperative-Competitive Task Allocation in Edge Computing for Delay-Sensitive Social Sensing

延迟敏感的社交感知边缘计算的合作-竞争任务分配

摘要

文章提出了一个框架,包含以下内容

  • 一个动态反馈激励机制
  • 一个新的谈判方案进行去中心化的虚拟对局
  • 一个明智的隐私补偿方式

I. 介绍

延迟敏感的应用需要给用户的要求给及时的回应。

在边缘计算系统中分配延迟敏感的社交感知任务存在挑战:

  • 对抗目标:应用和用户的目标冲突。应用的目标是任务分配以满足服务质量要求。用户的目标是节约自身开销和获得更多回报。
  • 不完整的信息:服务不了解边缘设备。
  • 受限的合作:设备自私,没有回报不愿意合作。
  • 任务合信任限制:应用包含复杂的互相依赖的任务工作流。禁止随意的边缘设备进行合作和通信。
  • 动态可用性:设备动态的上下文状态

已经有的解决方案都有潜在的假设,假设服务器可以完全控制设备并且有设备全部的计算资源信息。

为了解决了受限合作的挑战。本篇文章的新框架CoGTA提出了一个新的谈判方案进行中心化的虚拟对局,将边缘设备间的合作为“生产者-消费者”模型,允许边缘设备在追求自身利益的同时自然地形成协作。

为了解决任务合信任受限挑战,提出了一个明智的补偿方式和谈判协议来保证合作-竞争任务分配。

最后解决动态可用性挑战,设计了一个动态激励调整机制。

II. 动机和相关工作

A. 延迟敏感社交感知的边缘计算

我们提出的CoGTA框架是对相关工作的补充,因为我们考虑了边缘计算系统领域中的部分协作和可用性问题。

B. 实时系统中的任务分配

延迟敏感社交应用的任务卸载相似于实时系统的任务卸载。 大部分解决方案引入了中心决策者来分配任务,而大部分去中心化的解决方案假设合作和资源完全受控,忽略可“理智”边缘的现象,我们提出的一个合作-竞争博弈论方式来解决这些挑战。

C. 资源分配中的博弈论

已经提出了一组工作来采用博弈论来确定云资源的最优定价。我们的CoGTA框架的特点是:1)充分考虑边缘设备的合作-竞争现象、任务依赖性和信任限制,2)充分考虑动态可用性

III. 问题提出

A. 系统模型和假设

CoGTA框架如图1。边缘设备不会不间断的与网络连接,因为电池、带宽、内存和计算能力都有限。后备服务器负责任务划分和数据分析。假设边缘设备有不断变化的设备状态,并且因为隐私和同步开销不会与服务器分享动态的上下文状态。

  • 边缘设备状态:硬件详情、电池状态、位置、CPU利用率和可用内存容量。

  • 信任图G_{dev}:(假设设备间的通信首先于信任和隐私担忧)一个无向图G_{dev}=(V_{dev},L_{dev}),如果E_xE_y之间有边,证明互相信任。假设不信任的设备间不能相互通信。

设备介可以设置自己的信任限制:public、visible。任务模型见上一篇文章。Δ表示工作的截止时间,表示了用户希望的QoS。

  • 任务三维模型:τ_i=\{{VI}_i ,{VO}_i ,{c}_{i,x}\}{VI}_i是数据规模, {VO}_i是输出规模, {c}_{i,x}是将任务分配给E_x时在最坏情况下的执行时间WCET。

任务的执行时间可以作为任务的CPU周期、CPU频率和设备的后台利用率的函数导出。 WCET=CC_i/(Freq_x*(1-BU_x))+C CC_i是任务的所有CPU周期,Freq_x是设备的CPU频率,BU_x是谁被的CPU利用率

  • 任务依赖定义图(G_{task}):一个有向图G_{task}=(V_{task},L_{task})V_i∈V_{task} 代表任务τi,边(τ_i→τ_j)∈L_{task} 代表τ_j的输入依赖于τ_i的输出。

设备执行任务i所花费的能耗定义为:

Power_x是边缘设备的平均能耗,计算方式:

comp是计算能耗,trans是传输能耗。

  • 假设设备不恶意或懒惰
  • 假设不在周期中退出或进入
  • 假设用户愿意提供空闲资源获得
  • 流方式:同一边缘设备不花费额外开销,设备之间传输有传输开销。

B. 目标

  • 工作的端到端延迟D_z:Jz中所有任务处理传感器测量数据所用的总时间,它包括Jz的总计算时间和总通信开销。

任务分配问题可以表述为多目标约束优化问题,目标是找到一个任务分配方式使得:

最大:u_x ∀1 ≤ x ≤ X(边缘设备目标)

最小:\sum_{z=1}^Z δ_z, ∀1 ≤ z ≤ Z (应用的服务质量目标)(3)

使Gtask和Gdev得到满足(任务和通信限制)。其中u_x是一个边缘设备E_x执行任务时所获得的收益。 δ_z是一个二进制变量,=1表示错过截止时间,=0表示没错过。

任务分配是NP难问题。

IV. 合作-竞争博弈论任务分配

CoGTA框架有三个组成部分:

  • 一个合作-竞争博弈论(CCG)模拟了边缘设备和应用之间的竞争目标
  • 一个去中心化虚拟对局和谈判方案(DFPN)在遵守任务依赖性和信任约束的同时,做出本地决策并自主地形成协作以最大化个人收益
  • 一个动态激励调整方案(DIA)动态调整激励来解决终端的动态可用性

A. 合作-竞争任务分配博弈

CCG指定服务器和边缘设备的角色和协议。博弈的高级设置采用自下而上的任务分配框架。博弈的协议规则如下:

  1. 感知周期初期服务器定义Z个工作,还定义每个任务的依赖性和回报
  2. 每一个边缘基于DFPN选择一个方案使得自身的回报最大
  3. 如果多个设备选择同一任务,公平起见,随机的将这个任务分配给其中一个设备,称为一个迭代
  4. 每个迭代中,假设每个边缘设备就近选择且仅选择一个任务
  5. 一直进行迭代,直到所有任务都被选择完
  6. 设备将输出传送给服务器来获得回报,的服务器观察QoS性能损失,更新下一个感知周期的回报

新的CCG框架通过在任务依赖和信任约束下明确地将设备之间的协作合并,显着扩展了之前的博弈模型。 这是通过完全重新设计回报功能和谈判过程来实现的。 接下来,首先介绍CCG博弈的几个关键术语和符号,然后讨论我们新的回报功能和谈判过程。

一个CCG描述为(H,EN, J, T, S,Ψ, π,R),H是博弈发起人即服务器,EN是X个玩家的集合, J是Z个工作的集合, T是N个任务的集合, Ψ表示所有永和的任务分配策略空间(Ψ = Ψ1 × Ψ2 × ... × ΨX,ΨX表示用户x的策略空间),策略简介S表示独立的任务分配策略集合(S = {s1, s2, ..., sX} ∈ Ψ,sx表示x执行的策略), R = {R1,R2...,RN}是回报和集合(Ri是执行任务i的回报), π= {π1, π2, .., πX}是开销函数(πx表示设备x基于策略sx执行任务所花费的开销)。

为解决动态可用性,开销πx定义为:

ηb,x是设备x剩余电量。在1)设备电量太低或2)能量开销过高时不愿意执行任务。

U(S) = {u1, u2, ..., uX}是采用策略S的回报函数的集合,ux表示设备x的回报函数。

s-x是其他设备的任务分配模型。支付函数模拟了,如果给定其他设备策略时x设备采用策略sx,则边缘设备Ex可以获得多少益处。 每个设备的目标都是最大化其回报

B. 基于供应链模型的回报方法

设计三个不同的回报方法:

  1. 获取执行任务并将执行结果发送给服务器的收益
  2. 获取发送一个任务给另一个边缘设备的收益
  3. 获取从另一个边缘设备接收一个任务的收益
  • 任务授权和协作

任务授权指将任务的结果发送给另一个设备进行进一步处理的过。设备间的协作指的是一个设备授权任务给另一个设备。

将有任务依赖和信任限制的合作-竞争任务分配问题变成“供应链”模型。服务器根据执行任务的“难度”和任务结果的“价值”来定义回报。

为了最小化错过截止期限的工作数量,定义了一个惩罚方法:

其中,td(x,H)表示设备x给服务器H的传输时延,根据执行可调度性分析得到;c_{i,x}是任务i的最差任务执行时间WCET,基于需要传输的延迟、带宽和数据量得到;Δ是截止期限。总延迟越接近任务的截止期限,惩罚就越高。 在设备完成任务时,服务器根据惩罚结果扣除回报。这样设计是为了阻止设备为了高回报而接受很多任务但是没有进行有效地执行。

回报函数与每个边缘设备的策略有关,并包含几种不同的形式来捕获各种执行场景。

假设设备x在一轮中选择执行任务i,同时又d(i)个设备也选择了任务i。执行任务并将结果发回给服务器H的回报函数:

EXP是期望回报,是原始收益除以由于打破平局过程而选择任务的设备数量。越高的能量消耗或者越低的期望回报,一个边缘设备就越不可能选择执行这个任务

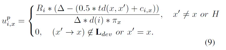
在任务协作方面,设备x(生产者)将任务i的结果发送给设备x'(消费者),则生产者的合作收益函数为:

0.5*td(x,x')是因为允许生产者和消费者共享由于在它们之间传输导致的惩罚。0表示x和x'不互相信任。

消费者的合作收益函数为:

假设设备x接收一组任务{τi'|(i' → i) ∈Ltask}的输出。 x(i')表示选择了任务i'的设备。

C. 去中心化虚拟对局谈判

目标是找CCG的纳什平衡。博弈中存在纳什平衡:假设每一个玩家知道所有其他玩家的平衡策略并且没有玩家可以获得任何好处除非改变策略。

(纳什均衡,指的是参与人的这样一种策略组合,在该策略组合上,任何参与人单独改变策略都不会得到好处。换句话说,如果在一个策略组合上,当所有其他人都不改变策略时,没有人会改变自己的策略,则该策略组合就是一个纳什均衡。)

但是一个设备无法知道别的的设备的状态因此无法推测出别的设备最佳策略来让自身策略最佳。

因此提出了一种有效的学习方案,以找到基于虚拟对局(FP)和启发式谈判的最佳的任务分配方式,以减少搜索空间和收敛时间。 FP的核心思想是每一个玩家根据别人以往采用的策略来推测可能将采取的策略,不知道实际回报函数值,来做出自身决策。

  1. 初始: 每个边缘设备初始化一个经验直方图histo,作为猜测的基础。histo_{i,x}表示设备x选择人物i的频率,初始化为histo_{i,x}=\frac{R_i}{\sum_{i=1}^{N}R_{i}}
  2. 最佳回报: 每个设备基于所有别的玩家的策略,根据公式8得出最高回报的策略。
  3. 谈判: 选择一个任务之后,每个边缘设备决定是将任务执行结果发送给服务器,还是将任务卖给别的设备。如果想执行任务委托则标记任务为“在售”。每个设备也要决定是否“买入”在售的任务。生产者收入和消费者收入分别根据公式9和10计算。
  4. 协调: 将所有设备做了决策后,服务器搜集所有决策并公布给所有设备。
  5. 更新: 每个设备得知别的设备的策略后,更新经验直方图,将相应的策略计数增加1。然后将最常用的策略的预测为未来可能的策略。

上述步骤循环执行直到收敛。在每个回合中,边缘设备进行谈判,如果多个设备选择一个任务则服务器打破这个关系。 CoGTA选择一个与BGTA相似的加权单独拥塞博弈协议,使得方案快速受凉并找到纳什均衡。

D. 动态激励调整

考虑以下两点:

  1. 如果一个任务必须发送大量数据到服务器,则在边缘进行处理的价值比传到服务器处理的价值高。
  2. 在工作中,越晚阶段的任务价值越高,因为不能浪费之前阶段的处理。

假设VO_i是输出规模,VI_i是输入规模。数据减少比例为drr_i=\frac{VO_i}{VI_i},表示了完成一个任务所减少的数据通信量。聚合计算复杂性(ACC)acc_i=\sum_{(i'->i)∈L_{task}}acc_{i'}+c_{i,H},表示完成一个任务的所有计算消耗。

定义任务i的回报R_idrr_iacc_i的线性结合:

α_1α_2是权重因子,动态调整回报的方法就是采用指数权重算法作为控制方法。服务器假设存在两个“专家”给两个因素(drr_iacc_i)的重要性进行投票。投票与相应的权重因子(α_1α_2)有关。

在执行作业之后,服务器可以观察哪些作业错过了最后期限,并将性能反馈作为损失函数重新归属于每个专家,并相应地调整它们的权重。

V. 系统设计和应用

A. 系统结构

系统结构如图3所示。应用首先定义数据源数量和每个任务及回报。然后边缘设备运行DFPN来选择最优的任务并执行。边缘服务器管理DFPN的同步易变每个边缘设备都得知别的设备的决策。没被接受的任务传回了服务器进行处理。

B. 服务器设计

远程云服务器:

本地边缘服务器:1)提供服务器和异构边缘之前接口,2)缓冲边缘设备的请求。应用队列在本地边缘服务器之间和云服务器之间设置一个主-仆架构。边缘服务器还在每个DFPN算法迭代结束之后同步边缘设备的策略。本地边缘服务器不承担计算任务原因如下:1)边缘设备计算能力逐渐变强,2)最小化昂贵的本地边缘服务器的部署在经济上更可行。

C. 边缘设计

硬件平台如图4所示。有异构的能耗和计算能力,用于便携式计算机、无人机和自动驾驶汽车。

D. 网络设置

设备通过无线路由连接,通信使用TCP套接字。

E. 能耗测量

监控实时信号并捕捉电流值,乘以默认电压,来获得能量消耗。

VI. 实验

用两个app:异常事件监测和实时交通管理。

A. 对比实验

  • 拥塞博弈(COG):拥塞博弈指任务被当做资源,越多设备想执行回报越高。
  • 自底向上博弈论任务分配(BGTA):不允许设备间的合作。
  • 贪婪最大回报(GMXR):设备贪婪地选择回报最大的任务。
  • 中心化基于服务器的分配(CSA):设备价格所有任务都发给云服务器执行。
  • 混合整数线性规划(MILP):自顶向下的分配方式,服务器分配任务。合作分布式计算资源,最小化截止miss率。

因为MILP是需要服务器完全了解及控制边缘设备,因此将它的表现作为上界,探讨其他对比实验和上界的差距

B. 案例研究1:异常事件监测

使用UCSD异常检测数据集,提供了两种异常事件的地面真是标签:非行人目标监测、异常行人运动模式。

异常行为监测工作: 1)收集数据视频信号作为图像帧;2)图像预处理;3)行为特征提取;4)目标检测;5)特征分类。所有工作都有相同的任务集到那会处理不同的视频片段。最后发送给服务器进行聚合和最后决策。

设置两个组,设备随机分配到两个组中,组内设备互相信任可以通信,组间设备不可以。

  1. 服务质量

评估截止日期完成率(DHR)和端到端延迟(E2E)。结果如图5、6所示。

CoGTA的DHR比其他都高(除了MILP,作为性能上界),并且是第一个达到100%的。这归因于截止期限驱使的动态激励调整机制,它引导边缘设备的决策向着最小截止日期miss率。

图6展示了平均延迟和90%信任区间。CoGTA的置信区间最窄(信任程度越高,精度越大),端与端延迟降低。

  1. 回报和能量消耗

定义DRR和ACC级别为0-100,开销π_x为等级1-5.CoGTA有最高的回报,因为计算在边缘而不是在服务器,使得惩罚最少;达到纳什平衡以是回报最大。

CoGTA实现了更高的DHR和更低的E2E延迟,因为CoGTA应用了一个能量相关支付函数。

  1. 通信代价

CoGTA实现了完成最多的任务量,并且造成了最少的通信开销。

C. 案例研究1:实时环境监控

两个案例得出的结论相似。

D. 收敛和规模

由13(a)可知CoGTA相对快速就可以找到纳什均衡。13(b)的执行时间包含DFPN的运行时间和设备与边缘服务器之间的通信时间。发现CoGTA的执行时间随着边缘设备的增加线性增长,但仍适用于延迟敏感的设备。

当边缘设备数量增加时,系统规模也会变大,这是CoGTA的执行时间变得尤其重要。其中一个解决方案是增加本地边缘服务器的数量,并在由同一本地边缘服务器协调的边缘设备群集中运行CoGTA。区别以往昂贵的专用服务器,我们的边缘服务器只执行云-边缘同步和任务分配决策。

D. 合作-竞争谈判评估

x轴表示设备之间的时延,y轴表示对应的性能指标。随着设备之间的延迟增加,设备间的交易代价变大,谈判的效率也降低。但延迟较低时,CoGTA的性能还是很优的。

VII. 结论和未来工作

  1. 用户隐私:建立隐私保护架构
  2. 安全因素:可检验的,提供简介执行结果的证明过程;跟踪用户行为,阻塞懒惰用户
  3. 用户动态流失率:将重要的任务分配给多个设备重复并行执行;仅容许在感知循环的开始和结束时进入或退出
  4. 任务截止完成率最大,而不是硬实时保证:1)WCET预测不精准,2)纳什均衡的收敛时间是动态的和难预测的
  5. 移动性和电量状态:将物理距离和电量收敛因素加到回报函数中去;拓展实验设备到可移动设备上去。

相关论文

BGTA [8] D. Zhang, Y. Ma, Y. Zhang, S. Lin, X. S. Hu, and D. Wang, “A real-time and non-cooperative task allocation framework for social sensing applications in edge computing systems,” in 2018 IEEE Real-Time and Embedded Technology and Applications Symposium (RTAS). IEEE, 2018, pp. 316–326.

HTCondor [17] M. J. Litzkow, “Remote unix: Turning idle workstations into cycle servers,” in Proceedings of the Summer USENIX Conference, 1987, pp. 381–384.

Femtocloud [18] K. Habak, M. Ammar, K. A. Harras, and E. Zegura, “Femto clouds: Leveraging mobile devices to provide cloud service at the edge,” in 2015 IEEE 8th International Conference on Cloud Computing (CLOUD). IEEE, 2015, pp. 9–16.

论文大纲

论文出处

Cooperative-Competitive Task Allocation in Edge Computing for Delay-Sensitive Social Sensing Conference Paper · October 2018 with 94 Reads DOI: 10.1109/SEC.2018.00025 Conference: 2018 IEEE/ACM Symposium on Edge Computing (SEC)

www.researchgate.net/publication…