题目
给定一个链表,判断链表中是否有环。
为了表示给定链表中的环,我们使用整数 pos 来表示链表尾连接到链表中的位置(索引从 0 开始)。 如果 pos 是 -1,则在该链表中没有环。
示例 1:
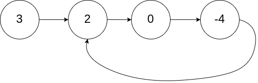
输入:head = [3,2,0,-4], pos = 1
输出:true
解释:链表中有一个环,其尾部连接到第二个节点。

示例 2:
输入:head = [1,2], pos = 0
输出:true
解释:链表中有一个环,其尾部连接到第一个节点。

示例 3:
输入:head = [1], pos = -1
输出:false
解释:链表中没有环。

你能用 O(1)(即,常量)内存解决此问题吗?
题解
链表的题目很多都是使用快慢指针来求解。本题很容易的直观反映是用hash来存储,但是这样的空间复杂度是O(n)。比如我们之前A过的一道题目,求链表的一半、1/3等都是可以用快慢指针解的。链表一般考察两类题目:
- 快慢指针;
- 链表的基本操作:断链、重新连接新链; 少量时候可能会用到递归,比如链表反转。而一般求解存不存在、判断是不是这类题目是用快慢指针解的。
假像在一个环形的足球场上,有两个运动员在跑步,一快一慢,只要时间足够长,他们两个肯定会相遇。快慢指针也是一样,假如链表有环,那么指针一快一慢,肯定会相遇。
遍历链表。循环结束条件是到达链表尾部(如果有环则用于达不到)。
public class Solution {
public boolean hasCycle(ListNode head) {
if (head == null || head.next == null) return false;
ListNode fast = head;
ListNode slow = head;
boolean res = false;
while (fast != null) {
slow = slow.next;
fast = fast.next;
if (fast != null) {
fast = fast.next;
}
if (slow == fast) {
res = true;
break;
}
}
return res;
}
}
还可以参照另一个比较简洁的版本。循环结束条件是快慢指针相遇。
public class Solution {
public boolean hasCycle(ListNode head) {
if (head == null || head.next == null) {
return false;
}
ListNode slow = head;
ListNode fast = head.next;
while (slow != fast) {
if (fast == null || fast.next == null) {
return false;
}
slow = slow.next;
fast = fast.next.next;
}
return true;
}
}