Spring Boot 2.x(十六):玩转vue文件上传

1,370 阅读7分钟

为什么使用Vue-Simple-Uploader

最近用到了Vue + Spring Boot来完成文件上传的操作,踩了一些坑,对比了一些Vue的组件,发现了一个很好用的组件——Vue-Simple-Uploader

再说说为什么选用这个组件,对比vue-ant-design和element-ui的上传组件,它能做到更多的事情,比如:

  • 可暂停、继续上传
  • 上传队列管理,支持最大并发上传
  • 分块上传
  • 支持进度、预估剩余时间、出错自动重试、重传等操作
  • 支持“快传”,通过文件判断服务端是否已存在从而实现“快传”

由于需求中需要用到断点续传,所以选用了这个组件,下面我会从最基础的上传开始说起:

单文件上传、多文件上传、文件夹上传

Vue代码:

 <uploader
        :options="uploadOptions1"
        :autoStart="true"
        class="uploader-app"
      >
        <uploader-unsupport></uploader-unsupport>
        <uploader-drop>
          <uploader-btn style="margin-right:20px;" :attrs="attrs">选择文件</uploader-btn>
          <uploader-btn :attrs="attrs" directory>选择文件夹</uploader-btn>
        </uploader-drop>
        <uploader-list></uploader-list>
</uploader>

该组件默认支持多文件上传,这里我们从官方demo中粘贴过来这段代码,然后在uploadOption1中配置上传的路径即可,其中uploader-btn 中设置directory属性即可选择文件夹进行上传。

uploadOption1:

 uploadOptions1: {
        target: "//localhost:18080/api/upload/single",//上传的接口
        testChunks: false, //是否开启服务器分片校验
        fileParameterName: "file",//默认的文件参数名
        headers: {},
        query() {},
        categaryMap: { //用于限制上传的类型
          image: ["gif", "jpg", "jpeg", "png", "bmp"]
        }
}

在后台的接口的编写,我们为了方便,定义了一个chunk类用于接收组件默认传输的一些后面方便分块断点续传的参数:

Chunk类

@Data
public class Chunk implements Serializable {
    
    private static final long serialVersionUID = 7073871700302406420L;

    private Long id;
    /**
     * 当前文件块,从1开始
     */
    private Integer chunkNumber;
    /**
     * 分块大小
     */
    private Long chunkSize;
    /**
     * 当前分块大小
     */
    private Long currentChunkSize;
    /**
     * 总大小
     */
    private Long totalSize;
    /**
     * 文件标识
     */
    private String identifier;
    /**
     * 文件名
     */
    private String filename;
    /**
     * 相对路径
     */
    private String relativePath;
    /**
     * 总块数
     */
    private Integer totalChunks;
    /**
     * 文件类型
     */
    private String type;

    /**
     * 要上传的文件
     */
    private MultipartFile file;
}

在编写接口的时候,我们直接使用这个类作为参数去接收vue-simple-uploader传来的参数即可,注意这里要使用POST来接收哟~

接口方法:

    @PostMapping("single")
    public void singleUpload(Chunk chunk) {
   		     	// 获取传来的文件
        MultipartFile file = chunk.getFile();
        // 获取文件名
        String filename = chunk.getFilename();
        try {
            // 获取文件的内容
            byte[] bytes = file.getBytes();
            // SINGLE_UPLOADER是我定义的一个路径常量,这里的意思是,如果不存在该目录,则去创建
            if (!Files.isWritable(Paths.get(SINGLE_FOLDER))) {
                Files.createDirectories(Paths.get(SINGLE_FOLDER));
            }
            // 获取上传文件的路径
            Path path = Paths.get(SINGLE_FOLDER,filename);
            // 将字节写入该文件
            Files.write(path, bytes);
        } catch (IOException e) {
            e.printStackTrace();
        }
    }

这里需要注意一点,如果文件过大的话,Spring Boot后台会报错

org.apache.tomcat.util.http.fileupload.FileUploadBase$FileSizeLimitExceededException: The field file exceeds its maximum permitted size of 1048576 bytes.

这时需要在application.yml中配置servlet的最大接收文件大小(默认大小是1MB和10MB)

spring:
  servlet:
    multipart:
      max-file-size: 10MB 
      max-request-size: 100MB

下面我们启动项目,选择需要上传的文件就可以看到效果了~ 是不是很方便~ 但是同样的事情其余的组件基本上也可以做到,之所以选择这个,更多的是因为它可以支持断点分块上传,实现上传过程中断网,再次联网的话可以从断点位置开始继续秒传~下面我们来看看断点续传是怎么玩的。

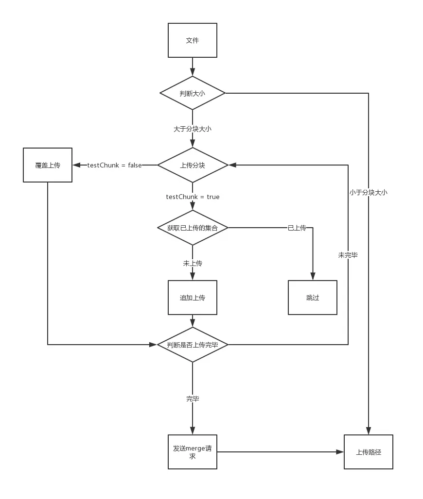
断点分块续传

先说一下分块断点续传的大概原理,我们在组件可以配置分块的大小,大于该值的文件会被分割成若干块儿去上传,同时将该分块的chunkNumber保存到数据库(Mysql or Redis,这里我选择的是Redis

组件上传的时候会携带一个identifier的参数(这里我采用的是默认的值,你也可以通过生成md5的方式来重新赋值参数),将identifier作为Redis的key,设置hashKey为”chunkNumber“,value是由每次上传的chunkNumber组成的一个Set集合。

在将uploadOption中的testChunk的值设置为true之后,该组件会先发一个get请求,获取到已经上传的chunkNumber集合,然后在checkChunkUploadedByResponse方法中判断是否存在该片段来进行跳过,发送post请求上传分块的文件。

每次上传片段的时候,service层返回当前的集合大小,并与参数中的totalChunks进行对比,如果发现相等,就返回一个状态值,来控制前端发出merge请求,将刚刚上传的分块合为一个文件,至此文件的断点分块上传就完成了。

下面是对应的代码~

Vue代码:

<uploader
        :options="uploadOptions2"
        :autoStart="true"
        :files="files"
        @file-added="onFileAdded2"
        @file-success="onFileSuccess2"
        @file-progress="onFileProgress2"
        @file-error="onFileError2"
      >
        <uploader-unsupport></uploader-unsupport>
        <uploader-drop>
          <uploader-btn :attrs="attrs">分块上传</uploader-btn>
        </uploader-drop>
        <uploader-list></uploader-list>
</uploader>

校验是否上传过的代码

 uploadOptions2: {
        target: "//localhost:18080/api/upload/chunk",
        chunkSize: 1 * 1024 * 1024,
        testChunks: true,
        checkChunkUploadedByResponse: function(chunk, message) {
          let objMessage = JSON.parse(message);
          	// 获取当前的上传块的集合
          let chunkNumbers = objMessage.chunkNumbers;
          // 判断当前的块是否被该集合包含,从而判定是否需要跳过
          return (chunkNumbers || []).indexOf(chunk.offset + 1) >= 0;
        },
        headers: {},
        query() {},
        categaryMap: {
          image: ["gif", "jpg", "jpeg", "png", "bmp"],
          zip: ["zip"],
          document: ["csv"]
        }
}

上传后成功的处理,判断状态来进行merge操作

onFileSuccess2(rootFile, file, response, chunk) {
      let res = JSON.parse(response);
	      // 后台报错
      if (res.code == 1) {
        return;
      }
      // 需要合并
      if (res.code == 205) {
        // 发送merge请求,参数为identifier和filename,这个要注意需要和后台的Chunk类中的参数名对应,否则会接收不到~
        const formData = new FormData();
        formData.append("identifier", file.uniqueIdentifier);
        formData.append("filename", file.name);
        merge(formData).then(response => {});
      } 
    },

判定是否存在的代码,注意这里的是GET请求!!!

 				   @GetMapping("chunk")
    public Map<String, Object> checkChunks(Chunk chunk) {
        return uploadService.checkChunkExits(chunk);
    }

    @Override
    public Map<String, Object> checkChunkExits(Chunk chunk) {
        Map<String, Object> res = new HashMap<>();
        String identifier = chunk.getIdentifier();
        if (redisDao.existsKey(identifier)) {
            Set<Integer> chunkNumbers = (Set<Integer>) redisDao.hmGet(identifier, "chunkNumberList");
            res.put("chunkNumbers",chunkNumbers);
        }
        return res;
    }

保存分块,并保存数据到Redis的代码。这里的是POST请求!!!

    
    @PostMapping("chunk")    
			    public Map<String, Object> saveChunk(Chunk chunk) {
        // 这里的操作和保存单段落的基本是一致的~
        MultipartFile file = chunk.getFile();
        Integer chunkNumber = chunk.getChunkNumber();
        String identifier = chunk.getIdentifier();
        byte[] bytes;
        try {
            bytes = file.getBytes();
            // 这里的不同之处在于这里进行了一个保存分块时将文件名的按照-chunkNumber的进行保存
            Path path = Paths.get(generatePath(CHUNK_FOLDER, chunk));
            Files.write(path, bytes);
        } catch (IOException e) {
            e.printStackTrace();
        }
   			     // 这里进行的是保存到redis,并返回集合的大小的操作
        Integer chunks = uploadService.saveChunk(chunkNumber, identifier);
        Map<String, Object> result = new HashMap<>();
        // 如果集合的大小和totalChunks相等,判定分块已经上传完毕,进行merge操作
        if (chunks.equals(chunk.getTotalChunks())) {
            result.put("message","上传成功!");
            result.put("code", 205);
        }
        return result;
    }


	    /**
	     * 生成分块的文件路径
	     */
	    private static String generatePath(String uploadFolder, Chunk chunk) {
        StringBuilder sb = new StringBuilder();
        // 拼接上传的路径
        sb.append(uploadFolder).append(File.separator).append(chunk.getIdentifier());
        //判断uploadFolder/identifier 路径是否存在,不存在则创建
        if (!Files.isWritable(Paths.get(sb.toString()))) {
            try {
                Files.createDirectories(Paths.get(sb.toString()));
            } catch (IOException e) {
                log.error(e.getMessage(), e);
            }
        }
        // 返回以 - 隔离的分块文件,后面跟的chunkNumber方便后面进行排序进行merge
        return sb.append(File.separator)
                .append(chunk.getFilename())
                .append("-")
                .append(chunk.getChunkNumber()).toString();

    }

    /**
     * 保存信息到Redis
     */
	    public Integer saveChunk(Integer chunkNumber, String identifier) {
        // 获取目前的chunkList
        Set<Integer> oldChunkNumber = (Set<Integer>) redisDao.hmGet(identifier, "chunkNumberList");
        // 如果获取为空,则新建Set集合,并将当前分块的chunkNumber加入后存到Redis
        if (Objects.isNull(oldChunkNumber)) {
            Set<Integer> newChunkNumber = new HashSet<>();
            newChunkNumber.add(chunkNumber);
            redisDao.hmSet(identifier, "chunkNumberList", newChunkNumber);
            // 返回集合的大小
            return newChunkNumber.size();
        } else {
       	     // 如果不为空,将当前分块的chunkNumber加到当前的chunkList中,并存入Redis
            oldChunkNumber.add(chunkNumber);
            redisDao.hmSet(identifier, "chunkNumberList", oldChunkNumber);
            // 返回集合的大小
            return oldChunkNumber.size();
        }

    }

合并的后台代码:

    @PostMapping("merge")
    public void mergeChunks(Chunk chunk) {
        String fileName = chunk.getFilename();
        uploadService.mergeFile(fileName,CHUNK_FOLDER + File.separator + chunk.getIdentifier());
    }

	    @Override
    public void mergeFile(String fileName, String chunkFolder) {
        try {
            // 如果合并后的路径不存在,则新建
            if (!Files.isWritable(Paths.get(mergeFolder))) {
                Files.createDirectories(Paths.get(mergeFolder));
            }
            // 合并的文件名
            String target = mergeFolder + File.separator + fileName;
            // 创建文件
            Files.createFile(Paths.get(target));
            // 遍历分块的文件夹,并进行过滤和排序后以追加的方式写入到合并后的文件
            Files.list(Paths.get(chunkFolder))
                     //过滤带有"-"的文件
                    .filter(path -> path.getFileName().toString().contains("-"))
                     //按照从小到大进行排序
                    .sorted((o1, o2) -> {
                        String p1 = o1.getFileName().toString();
                        String p2 = o2.getFileName().toString();
                        int i1 = p1.lastIndexOf("-");
                        int i2 = p2.lastIndexOf("-");
                        return Integer.valueOf(p2.substring(i2)).compareTo(Integer.valueOf(p1.substring(i1)));
                    })
                    .forEach(path -> {
                        try {
                            //以追加的形式写入文件
                            Files.write(Paths.get(target), Files.readAllBytes(path), StandardOpenOption.APPEND);
                            //合并后删除该块
                            Files.delete(path);
                        } catch (IOException e) {
                            e.printStackTrace();
                        }
                    });
        } catch (IOException e) {
            e.printStackTrace();
        }
    }

至此,我们的断点续传就完美结束了,完整的代码我已经上传到gayhub~,欢迎star fork pr~(后面还会把博文也上传到gayhub哟~)

前端:github.com/viyog/viboo…

后台:github.com/viyog/viboo…

公众号