No.1注册&登录_0807~0812

344 阅读5分钟

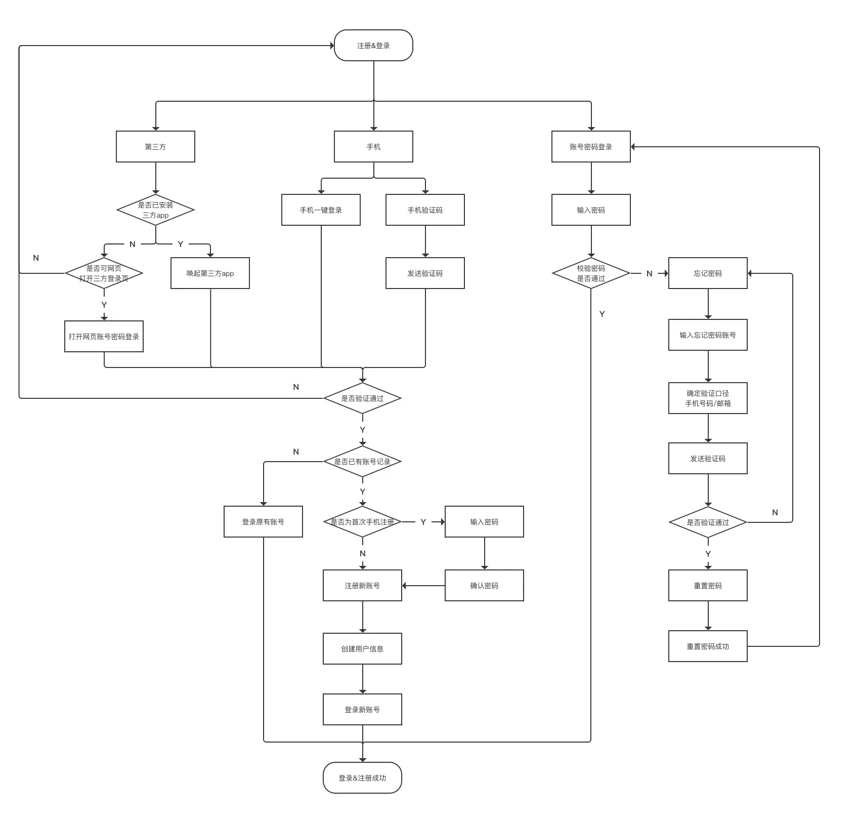
一、主流注册&登录逻辑总结


二、10款app注册&登录逻辑体验

1.今日头条

  1. 默认:手机号一键登录
  2. 其他:手机验证码、微信、QQ、微博、天翼
  3. 总结:
  • 头条系接入运营商一键登录SDK,产品上更轻,操作少,只需点击一步,用户负担更小,应该是持续增长压力下的成果。
  • 找回密码放在pc上操作,猜测是早期头条的历史遗留问题。如今大部分用户逐渐迁移为验证码/第三方登录,因此弱化直至干掉密码登录,没毛病。


2.抖音*(*号为第三部分会还原的app)


  1. 默认:手机号一键登录
  2. 其他:手机验证码、手机密码、头条、QQ、微信、微博
  3. 总结:
  • 与头条一致,同样接入了手机号一键登录,登录和注册做的相对较轻且完善,用户负担较小。小而美。


3.美团



注:异常截图中,图4和图5位置需要对调

  1. 默认:手机号验证码
  2. 其他:手机号密码、微信
  3. 总结:
  • 美团与点评在登录注册设计上逻辑相似。
  • 特别吐槽下找回密码流程:用户为找回密码时需确认与自己相关的地址且通过订单验证身份时,需确认某具体商户单号后4位。虽然相对来说可严谨验证是否是用户本人,但认知成本与操作成本太高,用户需要去支付宝、按时间查找。并且,该流程实则每个用户每天只能走一次,第一次重复操作提示“1小时过后再试”,1小时后再试,提示“24小时后再试”。所以频次控制到底是多少呢?存疑。


4.淘宝


  1. 默认:账号密码
  2. 其他:支付宝、手机验证码
  3. 总结:
  • 淘宝早期用户多为web端账号密码注册登录,移动端兴起后逐渐迁移至移动端,但卖家的主要操作面板仍再web端,因此账号密码一直是主要登录方式。
  • 淘宝-支付宝阿里系账号授权打通可以定程度上节省登录成本,且淘宝已支持手机号验证码登录,通过支付宝-手机号打通淘宝账号。
  • 相比于前几年的淘宝,注册登录逻辑一直在完善优化(记得前几年召回密码简直是灾难,甚至还需要致电客服),电商&银行类app应多参考。


5.拼多多


  1. 默认:微信
  2. 其他:手机验证码、QQ
  3. 总结:
  • 拼多多的登录体系是10个app中最单薄的:仅支持手机号、微信、qq登录。且猜测受增长、资本影响,默认微信登录。
  • 简单未必是坏事。


6.大众点评



  1. 默认:手机验证码
  2. 其他:手机密码、微信、微博
  3. 总结:
  • 点评美团的产品风格一致,找回密码-通过订单验证身份时,存在与美团同样的问题。
  • 客服中心&在线客服功能做的比较细。


7.网易云音乐


  1. 默认:手机号密码登录
  2. 其他:游客体验、微信、微博、网易邮箱
  3. 总结:
  • 意外于除三方外,网易云只能用手机号密码登录。猜测是由于早期有大量用户在电脑端注册听歌,而后期登录流程比较克制。
  • 产品功能与克制是个永久的话题。


8.QQ


默认:QQ号/手机号/邮箱号+密码

其他:无

总结:

  • 早年QQ登录只有QQ号+密码,如今已支持手机号与邮箱。(因现在可以直接用手机号注册QQ号)
  • 有个问题:手机号登录找回密码时,提示只有手机号验证码注册,才可用手机号验证码登录,但是这个账号是刚才用手机号注册完成的,所以这里不清楚逻辑到底如何,普通用户认知成本更高。
  • 那个注册完要截图、记下、背熟QQ号的日子再也不在了。


9.Instagram


  1. 默认:手机号/账号/邮箱+密码
  2. 其他:Facebook
  3. 总结:
  • 手机号注册也是ins近年新增功能,国外对邮箱的使用非常高频。
  • 找回密码的流程清晰易操作


10.快手



  1. 默认:手机号验证码
  2. 其他:微信、QQ、微博、邮箱
  3. 总结:
  • 在没接入手机号一键登录的条件下,手机号验证码登录是个人认为最便捷轻盈的方式。
  • 快手在三方登录中默认露出微信、QQ,折叠了微博、邮箱,猜测是有意弱化后两个登录方式。
  • 异常逻辑问题:(1)点击【登录遇到问题】,进账号申诉页->人机验证->改绑手机号页。不明白为何要走到改绑手机号流程?命名是否妥当、是否能让用户理解,需要产品三思。(2)填完手机号验证码后,需填写注册信息(注册时间、地点、设备、方式),4项全为必填项,我真的想不起第一次注册的设备是什么……(3)填完注册信息后,还需填常用设备和登陆地点,召回账号的老生常谈逻辑。(4)值得一说的是,我在胡乱填写注册信息的情况下,账号申诉竟然通过了……
  • 在手机号验证码注册后,退出登录前必须要设置密码,否则不能退出。个人觉得可优化空间很大
  • 总体而言,快手的异常逻辑验证较宽松,有些逻辑不合常理,但作为产品可以理解。


三、选择最喜欢的2个app还原原型及PRD


看了10个app,觉得头条系产品的流程做的最干练舒适,因此选择抖音还原原型。