相交链表
| Category | Difficulty | Likes | Dislikes |
|---|---|---|---|
| algorithms | Easy (46.44%) | 364 | - |
Tags
Companies
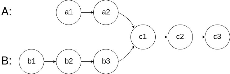
如下面的两个链表:

在节点 c1 开始相交。
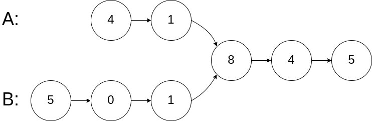
示例 1:

输入:intersectVal = 8, listA = [4,1,8,4,5], listB = [5,0,1,8,4,5], skipA = 2, skipB = 3 输出:Reference of the node with value = 8 输入解释:相交节点的值为 8 (注意,如果两个列表相交则不能为 0)。从各自的表头开始算起,链表 A 为 [4,1,8,4,5],链表 B 为 [5,0,1,8,4,5]。在 A 中,相交节点前有 2 个节点;在 B 中,相交节点前有 3 个节点。
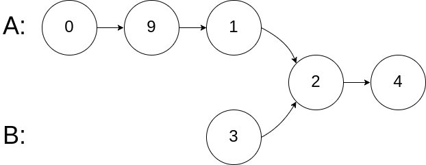
示例 2:

输入:intersectVal = 2, listA = [0,9,1,2,4], listB = [3,2,4], skipA = 3, skipB = 1 输出:Reference of the node with value = 2 输入解释:相交节点的值为 2 (注意,如果两个列表相交则不能为 0)。从各自的表头开始算起,链表 A 为 [0,9,1,2,4],链表 B 为 [3,2,4]。在 A 中,相交节点前有 3 个节点;在 B 中,相交节点前有 1 个节点。
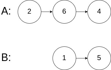
示例 3:

输入:intersectVal = 0, listA = [2,6,4], listB = [1,5], skipA = 3, skipB = 2 输出:null 输入解释:从各自的表头开始算起,链表 A 为 [2,6,4],链表 B 为 [1,5]。由于这两个链表不相交,所以 intersectVal 必须为 0,而 skipA 和 skipB 可以是任意值。 解释:这两个链表不相交,因此返回 null。
注意:
- 如果两个链表没有交点,返回 null.
- 在返回结果后,两个链表仍须保持原有的结构。
- 可假定整个链表结构中没有循环。
- 程序尽量满足 O(n) 时间复杂度,且仅用 O(1) 内存。
/**
* Definition for singly-linked list.
* function ListNode(val) {
* this.val = val;
* this.next = null;
* }
*/
/**
* @param {ListNode} headA
* @param {ListNode} headB
* @return {ListNode}
*/
var getIntersectionNode = function(headA, headB) {
};
1 set
相交的时候,表示在同一个地方相遇,这个地点是相同的
表明两链表中各存在一个节点指向同一段地址
那么如果我们先后把两条的链表存在在set里面
当我们在添加第二条链时
如果出现添加的节点已经存在
那就说明了两链表相交
var getIntersectionNode = function (headA, headB) {
const set = new Set()
while (headA) {
set.add(headA)
headA = headA.next
}
while (headB) {
if (set.has(headB)) return headB
headB = headB.next
}
return null
};
注意:我们存储进去的是对象,实际存储的是地址,这样才能判重
set有用会面对一个空间消耗的问题,于是我们思考另一种办法
所以不符合:程序尽量满足 O(n) 时间复杂度,且仅用 O(1) 内存
复杂度分析
- 时间复杂度 :
- 空间复杂度 :
或
2 消差

如果两链表的遍历从红色线开始,那每走一步我们就比较两指针的地址
当走到相交指针时,两指针就会相等,那直接返回该指针即可
while (headA && headB) {
if (headA === headB) return headA
headA = headA.next
headB = headB.next
}
return null
那我们现在要做的,就是让两指针从红色线开始,即消除多出来的部分
那就要计算出两链表的长度差,所以我们需要遍历链表获取长度
function getListLength(head) {
let len = 0
while (head) {
len++
head = head.next
}
return len
}
然后使得较长的一条,先走到起跑线,这样长短链表遍历的位置满足上面的条件
let aLen = getListLength(headA)
let bLen = getListLength(headB)
if (aLen > bLen) {
headA = forwardLongList(aLen, bLen, headA)
} else {
headB = forwardLongList(bLen, aLen, headB)
}
function forwardLongList(longLen, shortLen, head) {
let diff = longLen - shortLen
while (head && diff) {
head = head.next
diff--
}
return head
}
后续只要调用遍历即可,最终的代码如下
/**
* @param {ListNode} headA
* @param {ListNode} headB
* @return {ListNode}
*/
var getIntersectionNode = function (headA, headB) {
let aLen = getListLength(headA)
let bLen = getListLength(headB)
if (aLen > bLen) {
headA = forwardLongList(aLen, bLen, headA)
} else {
headB = forwardLongList(bLen, aLen, headB)
}
while (headA && headB) {
if (headA === headB) return headA
headA = headA.next
headB = headB.next
}
return null
};
function getListLength(head) {
let len = 0
while (head) {
len++
head = head.next
}
return len
}
function forwardLongList(longLen, shortLen, head) {
let diff = longLen - shortLen
while (head && diff) {
head = head.next
diff--
}
return head
}
复杂度分析
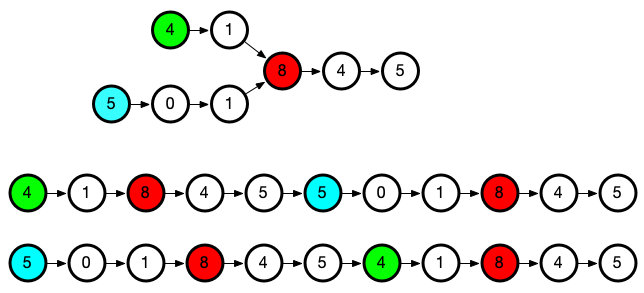
3 补差
在上面小消差中,我们需要提前遍历以获取长度,然后再重新遍历,代码显得特别冗长
消差既然是为了使得到相交点等距,那等距也可以通过补差获得,比如

我们在headA后面添加一条headB链表
在headB后面添加一个条headA链表
即
那如图所示,我们就开始同时遍历,每次遍历进行比较,当两指针相同时,即在交点相遇
let curA = headA
while (1) {
curA = curA === null ? headB : curA.next
}
上面这段代码就表示
- 先遍历
headA,curA = headA - 遍历
curA = curA.next - 遍历到
headA终点了,即curA === null - 就开始遍历
headB,即curA = headB - 遍历
curA = curA.next
那我们让curA和curB同时遍历,则他们会在第二次经历相交点时相遇
等相交时就退出便利直接返回相交点
var getIntersectionNode = function (headA, headB) {
let [curA, curB] = [headA, headB]
while (curA !== curB) {
curA = curA === null ? headB : curA.next
curB = curB === null ? headA : curB.next
}
return curA
}
复杂度分析
时间复杂度 :
空间复杂度 :