环形链表
| Category | Difficulty | Likes | Dislikes |
|---|---|---|---|
| algorithms | Easy (41.86%) | 339 | - |
Tags
Companies
为了表示给定链表中的环,我们使用整数 pos来表示链表尾连接到链表中的位置(索引从 0 开始)。 如果 pos 是 -1,则在该链表中没有环。
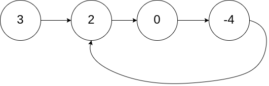
示例 1:
输入:head = [3,2,0,-4], pos = 1
输出:true
解释:链表中有一个环,其尾部连接到第二个节点。

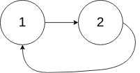
示例 2:
输入:head = [1,2], pos = 0
输出:true
解释:链表中有一个环,其尾部连接到第一个节点。

示例 3:
输入:head = [1], pos = -1
输出:false
解释:链表中没有环。

进阶:
你能用 O(1)(即,常量)内存解决此问题吗?
/*
* @lc app=leetcode.cn id=1 lang=javascript
*
* [1] 两数之和
*/
/**
* @param {number[]} nums
* @param {number} target
* @return {number[]}
*/
var twoSum = function(nums, target) {
};
1set
这道题,其实和相交链表停像的.
如果我们每走一步就把节点的地址存储在set里面,那么如果有环的话,就一定会重复添加.
/**
* @param {ListNode} head
* @return {boolean}
*/
var hasCycle = function (head) {
const set = new Set()
let cur = head
while (cur) {
if (set.has(cur)) return true
set.add(cur)
cur = cur.next
}
return false
};
set是非常好用的,但是会耗空间,所以我们思考下另一个办法
2快慢指针
环与直线的区别在与,我们可以在环里不断的循环。
比如我们在操场里跑步:
-
我们在跑步的时候,同一个人会在我们后面出现,我们是不会感的诧异的.因为跑道是环型的!
-
那如果是直线跑道,如果一个人已经领先在你前面了,他就不可能突然在后面出来.
那么我们就可以利用这个特性,让两个变量fast和slow同时开始遍历链表
let fast = slow = head
然后让fast比slow速度快,那么fast就会领先slow
如果出现fast遇slow相遇,那就证明,出现了环的情况。
/**
* @param {ListNode} head
* @return {boolean}
*/
var hasCycle = function (head) {
let fast = slow = head
while (slow && fast && fast.next) {
slow = slow.next
fast = fast.next.next
if (slow === fast) {
return true
}
}
return false
};