机器学习算法:logistic逻辑回归分类算法及应用(含视频课程和案例源码)

414 阅读2分钟

找菜鸟窝微信ID:BT474849领取视频哦

视频、源代码领取找运营微信:BT474849

一、逻辑回归简介

1、逻辑回归(Logistic regression)是一种用于解决二分类(0 or 1)问题的机器学习方法,即该方是一个分类算法。
• 典型应用:
• 图像分类
• 垃圾邮件检测
• 购买商品预测
• …

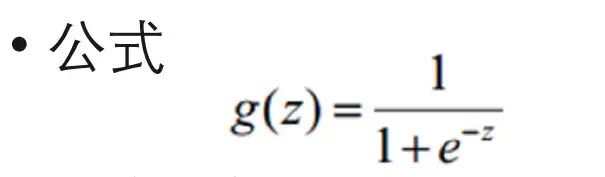
2、Sigmoid 函数
Sigmoid函数,也称为逻辑函数(Logistic function)

公式

直观理解
• 将任意的输入映射到了[0,1]区间我们在线性回归中可以得到一个预测值,再将该值映射到Sigmoid 函数中这样就完成了由值到概率的转换,也就是分类任务。

3、逻辑回归 v.s. 线性回归

都是回归问题
•线性回归的回归目标是(−∞, +∞) •逻辑回归的回归目标是(0, 1),所以常常用作分类
• We will fit a regression function on P(Y=1|X)

linear regression----> logistic regression

4、逻辑回归
对于二分类问题,我们可以:


我们将 f(x,w)看做是可能性(概率),那么我们可以得到:

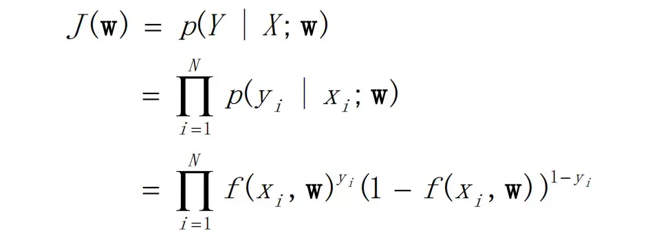
5、最大似然概率
对于全部N个样本,全部分类正确的概率是


那么我们的目标就是最大化J(w)。

6、对数似然概率
将上式子直接不好优化,那么我们取对数


那么我们的目标就是最大化L(w)

7、最大log似然求解
We could learn w by maximizing the log likelihood using gradient ascent

二、二分类分类器处理多分类问题

  1. 一对多(One v.s. other)
  2. 一对一(One v.s. One)

二分类扩展到多分类

一对多(One v.s. other) • 区分[cat, dog, bird]
• 二值分类器:clf_bin
• 猫的分类器:
• if_cat = clf_bin((X_cat,Y_cat), (X_ncat,Y_ncat))
• 狗的分类器:
• if_dog = clf_bin((X_dog,Y_dog), (X_ndog,Y_ndog))
• 鸟的分类器:
• if_bird = clf_bin((X_bird, Y_bird), (X_nbird, Y_nbird))

1、一对多(One v.s. other)

一对多(One v.s. other)

  1. 分类,输入样本x
  2. 使用if_cat, if_dog, if_bird三个分类器进行分类
  3. 哪个分类器的值大就是哪一类

二分类扩展到多分类

一对一(One v.s. One) • 区分[cat, dog, bird]
• 二值分类器:clf_bin
• 猫/狗的分类器:catdog_clf = clf_bin(..,..)
• 猫/鸟的分类器:catbird_clf = clf_bin(..,...)
• 狗/鸟的分类器:dogbird_clf = clf_bin(..,..)

1、一对一(One v.s. One)

  1. 分类,输入样本x
  2. 使用catdog_clf, catbird_clf, dogbird_clf三个分类器进行分类
  3. 然后进行投票,票数多赢,比如两个分类器都投cat,那么就是cat


视频、源码码找运营微信:BT474849 免费领哦