给定一个链表,返回链表开始入环的第一个节点。 如果链表无环,则返回 null。
为了表示给定链表中的环,我们使用整数 pos 来表示链表尾连接到链表中的位置(索引从 0 开始)。 如果 pos 是 -1,则在该链表中没有环。
**说明:**不允许修改给定的链表。
Given a linked list, return the node where the cycle begins. If there is no cycle, return null.
To represent a cycle in the given linked list, we use an integer pos which represents the position (0-indexed) in the linked list where tail connects to. If pos is -1, then there is no cycle in the linked list.
Note: Do not modify the linked list.
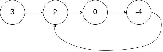
示例 1:
输入:head = [3,2,0,-4], pos = 1
输出:tail connects to node index 1
解释:链表中有一个环,其尾部连接到第二个节点。

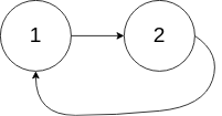
示例 2:
输入:head = [1,2], pos = 0
输出:tail connects to node index 0
解释:链表中有一个环,其尾部连接到第一个节点。

示例 3:
输入:head = [1], pos = -1
输出:no cycle
解释:链表中没有环。

进阶: 你是否可以不用额外空间解决此题?
Follow-up: Can you solve it without using extra space?
解题思路:
和上一道题比只多了一步判断入环节点在哪。两种方法:
哈希表:
哈希表添加节点时只要发现节点已经存在了,证明就有环形链表。并且已存在的节点即为入环节点
双指针:
画了个图帮助理解:

一快一慢双指针开始从头结点遍历链表,快节点速度为2,慢节点速度为1:
相遇时:
慢节点走了:a+b
由于快指针速度是慢指针的2倍,快节点走了:2(a+b)
快慢节点相遇时快节点比慢节点刚好多走了一圈环形节点。快节点走了:(a+b)+(b+c)
列方程:2(a+b)=(a+b)+(b+c)
解得 a=c
也就是说:相遇节点到入环节点的长度和头节点到入环节点的长度相等
可以得出结论,如果此时让慢节点或快节点中的一个指向头节点,另一个留在相遇节点,然后速度都为1,继续遍历链表,双指针再次相遇时的节点刚好是入环节点。
注:为了理解方便,把长度 b 定为上半部分长度,实际上 b 应该为快慢节点相遇时慢节点绕过环形链表的总长度
哈希表解题:
Java:
public class Solution {
public ListNode detectCycle(ListNode head) {
if (head == null) return null;//如果是空链表直接返回
Set<ListNode> nodeSet = new HashSet<>();//构造哈希表
while (head.next != null) {//链表下一个不为空
if (nodeSet.contains(head)) return head;//哈希表包含该节点则存在环形链表
nodeSet.add(head);//加入节点
head = head.next;//下移一位
}
return null;
}
}
Python:
class Solution(object):
def detectCycle(self, head):
"""
:type head: ListNode
:rtype: ListNode
"""
if head is None:
return None
hashSet=set()#构造集合
while(head.next is not None):
if head in hashSet:#是否已存在
return head
hashSet.add(head)
head=head.next
return None
双指针解题:
Java:
public class Solution {
public ListNode detectCycle(ListNode head) {
if (head == null || head.next == null) {
return null;
}
ListNode slow = head;
ListNode fast = head;
while (fast != null && fast.next != null) {//快指针及其下一位是否为null
slow = slow.next;
fast = fast.next.next;
if (slow == fast) {//如果相同,存在环形链表
slow = head;//指向头节点
while (slow != fast) {//继续遍历,再次相遇时的节点即为入环节点
slow = slow.next;
fast = fast.next;
}
return slow;
}
}
return null;
}
}
Python:
class Solution(object):
def detectCycle(self, head):
"""
:type head: ListNode
:rtype: ListNode
"""
if head is None or head.next is None:
return None
slow, fast = head, head
while fast is not None and fast.next is not None:
slow, fast = slow.next, fast.next.next
if slow == fast:
slow = head
while slow != fast:
slow = slow.next
fast = fast.next
return slow
return None
欢迎关注公众号:爱写Bug(ID:iCodeBugs)
