本文将简单介绍,如何去完成一个缩短网址的功能。
Node.js + MySQL + Redis版本的源码地址:github
Demo地址:www.ecool.fun/shortLink
文章阅读大概需要8分钟。
什么是短链接
短链接,通俗来说,就是将长的URL网址,通过程序计算等方式,转换为简短的网址字符串。
大家经常可以从微博或者各类营销短信中,看到短链接,形式一般类似于 t.cn/xxxxxx,点击后,就能跳转到对应的页面。
早期短链接广泛应用于图片上传网站,通过缩短网址URL链接字数,达到减少代码字符串的目的。更便于使用者引用网址,写入代码中,节省字符数空间。常见于网店图片分类的使用,因有字符限制,运用短链接,达到外链图片的目的,自微博盛行以来,在微博字数有限的特色下,短链接也盛行于微博网站,以节省字数,给博主发布更多文字的空间。
将长链接转成短链接,一般是为了方便记忆或者传播。
需要完成的功能
从上面的介绍中,我们得出,缩短网址需要完成以下两个功能点:
- 将长网址缩短成短链接
- 点击生成短链接,能正常跳转到原来的长网址页面
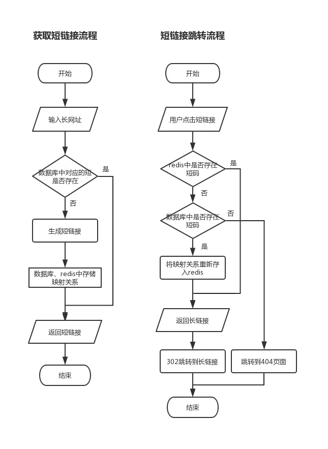
全流程设计
其实上述功能点的原理很简单,简单描述一下:
- 用户输入长网址,服务端接收后进行处理,并根据长网址的内容,生成一个短码,并将映射关系进行存储。然后根据短码拼接出短链接,返回给用户;
- 用户点击短链接,服务器端根据短链接中的短码,查找到对应的长网址,并302跳转到对应的页面。
知识点:为什么要使用302跳转,而不是301跳转呢?
301是永久重定向,302是临时重定向。短地址一经生成就不会变化,所以用301是符合http语义的。但是如果用了301, Google,百度等搜索引擎,搜索的时候会直接展示真实地址,那我们就无法统计到短地址被点击的次数了,也无法收集用户的Cookie, User Agent 等信息,这些信息可以用来做很多有意思的大数据分析,也是短网址服务商的主要盈利来源。
引自知乎-武林的回答,原文链接
整个流程的设计如下图所示:

可以看到,我用到了MySQL和Redis来存储长网址和短码之间的映射关系。
用MySQL想必大家都能理解,但是为什么要用 Redis 呢,直接用数据库不就好了吗?
这个主要是考虑到生成短链接,在投放之后的访问量会比较大,使用 Redis 缓存后,能有效降低数据库的压力。
生成短码的方法
通过上面的全流程设计,会发现主要的问题就是如何通过长网址,去生成对应的短码。
短码一般是由 [a - z, A - Z, 0 - 9] 这62 个字母或数字组成,短码的长度也可以自定义,但一般不超过8位。比较常用的都是6位,6位的短码已经能有568亿种的组合:(26+26+10)^6 = 56800235584,已满足绝大多数的使用场景。
目前比较流行的生成短码方法有:自增id、摘要算法、普通随机数。
- 自增id
该方法是一种无碰撞的方法,原理是,每新增一个短码,就在上次添加的短码id基础上加1,然后将这个10进制的id值,转化成一个62进制的字符串。
一般利用数据表中的自增id来完成:每次先查询数据表中的自增id最大值max,那么需要插入的长网址对应自增id值就是 max+1,将max+1转成62进制即可得到短码。
但是短码 id 是从一位长度开始递增,短码的长度不固定,不过可以用 id 从指定的数字开始递增的方式来处理,确保所有的短码长度都一致。同时,生成的短码是有序的,可能会有安全的问题,可以将生成的短码id,结合长网址等其他关键字,进行md5运算生成最后的短码。
10进制转成62进制的具体实现:
function string10to62(number) {
const chars = '0123456789abcdefghigklmnopqrstuvwxyzABCDEFGHIGKLMNOPQRSTUVWXYZ';
const charsArr = chars.split('');
const radix = chars.length;
let qutient = +number;
let arr = [];
do{
let mod = qutient % radix;
qutient = (qutient - mod) / radix;
arr.unshift(charsArr[mod]);
}while(qutient);
return arr.join('');
}
- 摘要算法
摘要算法又称哈希算法,它表示输入任意长度的数据,输出固定长度的数据。相同的输入数据始终得到相同的输出,不同的输入数据尽量得到不同的输出。
算法思路:
1、将长网址通过 md5 运算,生成 32 字符的 hex string,分为 4 段,每段 8 个字符;
2、对这四段循环处理,取 8 个字节,将其看成 16 进制串,并与 0x3fffffff(30位1) 与操作,即超过 30 位的忽略处理;
3、这 30 位分成 6 段,每 5 位的数字作为字母表的索引取得特定字符,依次进行获得 6 位字符串。
4、总的 md5 串可以获得 4 个 6 位串,取里面的任意一个就可作为这个长网址的短链接 url 地址。
虽然几率很小,但是该方法依然存在碰撞的可能性,解决冲突会比较麻烦。不过该方法生成的短码位数,是固定的,也不存在连续生成的短码有序的情况。
- 普通随机数
该方法是从62个字符串中随机取出一个6位短码的组合,然后去数据库中查询该短码是否已存在。如果已存在,就继续循环该方法重新获取短码,否则就直接返回。
该方法是最简单的一种实现,不过由于Math.round()方法生成的随机数属于伪随机数,碰撞的可能性也不小。在数据比较多的情况下,可能会循环很多次,才能生成一个不冲突的短码。
具体实现:
// 获取唯一的Link
async getShortLink() {
const shortLink = this.generateShortLink();
// 查询数据库中是否存在该链接,如果存在,就直接返回
const searchResult = await this.searchByLinkInMySQL(shortLink);
if (searchResult && searchResult.length > 0) {
// 如果shortLink已经存在,就遍历重新生成
return this.getShortLink();
}
return shortLink;
}
// 生成随机的Link
generateShortLink() {
let str = '';
const arr = [
'0', '1', '2', '3', '4', '5', '6', '7', '8', '9',
'a', 'b', 'c', 'd', 'e', 'f', 'g', 'h', 'i', 'j', 'k', 'l', 'm', 'n', 'o', 'p', 'q', 'r', 's', 't', 'u', 'v', 'w', 'x', 'y', 'z',
'A', 'B', 'C', 'D', 'E', 'F', 'G', 'H', 'I', 'J', 'K', 'L', 'M', 'N', 'O', 'P', 'Q', 'R', 'S', 'T', 'U', 'V', 'W', 'X', 'Y', 'Z',
];
for (let i = 0; i < 6; i++) {
const pos = Math.round(Math.random() * (arr.length - 1));
str += arr[pos];
}
return str;
}
综上,比较推荐使用第一种方法来实现短码的生成。
广告时间
最后,欢迎大家star我们的人人贷大前端团队博客,所有的文章还会同步更新到知乎专栏 和 掘金账号,我们每周都会分享几篇高质量的大前端技术文章。