给定一个链表,判断链表中是否有环。
为了表示给定链表中的环,我们使用整数 pos 来表示链表尾连接到链表中的位置(索引从 0 开始)。 如果 pos 是 -1,则在该链表中没有环。
Given a linked list, determine if it has a cycle in it.
To represent a cycle in the given linked list, we use an integer pos which represents the position (0-indexed) in the linked list where tail connects to. If pos is -1, then there is no cycle in the linked list.
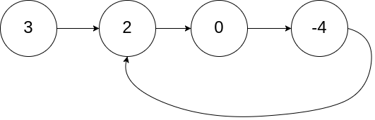
示例 1:
输入:head = [3,2,0,-4], pos = 1
输出:true
解释:链表中有一个环,其尾部连接到第二个节点。

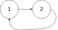
示例 2:
输入:head = [1,2], pos = 0
输出:true
解释:链表中有一个环,其尾部连接到第一个节点。

示例 3:
输入:head = [1], pos = -1
输出:false
解释:链表中没有环。

进阶:
你能用 O(1)(即,常量)内存解决此问题吗?
Follow up:
Can you solve it using O(1) (i.e. constant) memory?
解题思路:
从头节点向后遍历整个链表只要遍历到节点为 null ,就证明不是环形,而如果遍历到一个节点的地址之前存在过就证明有环。
1、哈希表:
解决重复问题最容易想到的数据结构就是哈希表,哈希表添加节点时只要发现节点已经存在了,证明就有环形链表。并且哈希表查找和插入复杂度都为O(1),但是空间复杂度会随着原链表长度而增大:O(n),总的来说:
- 时间复杂度:O(n),虽然哈希表的查找和添加操作的时间复杂度是 O(1) ,但是先需要遍历链表然后插入,遍历的复杂度是O(n)
- 空间复杂度:O(n),最多需要保存链表的 n个节点
2、双指针:
这道题就如同小学跑步问题,假设有两个人(双指针)一个快一个慢,不停地向前跑,如果跑得快的那个最后到终点了(遇到空节点 null),就证明是直线跑道(没有环形链表)。
如果是存在环形跑道(环形链表):两个人一起跑步(双指针)一个快一个慢,那么这两个人因为速度不同,在环形跑道里跑得快的那个人一定会追上慢的。即两个指针相遇了,证明存在环形链表。
空间复杂度为O(1),即进阶要求的常量内存。
哈希表解题:
Java:
public class Solution {
public boolean hasCycle(ListNode head) {
if (head == null) return false;//如果是空链表直接返回
Set<ListNode> nodeSet = new HashSet<>();//构造哈希表
while (head.next != null) {//链表下一个不为空
if (nodeSet.contains(head)) return true;//哈希表包含该节点则存在环形链表
nodeSet.add(head);//加入节点
head = head.next;//下移一位
}
return false;
}
}
Python:
class Solution(object):
def hasCycle(self, head):
"""
:type head: ListNode
:rtype: bool
"""
if head is None:
return False
hashSet=set()#构造集合
while(head.next is not None):
if head in hashSet:#是否已存在
return True
hashSet.add(head)
head=head.next
return False
双指针解题:
Java:
public class Solution {
public boolean hasCycle(ListNode head) {
if (head == null || head.next == null) {
return false;
}
ListNode slow = head;
ListNode fast = head;
while (fast != null && fast.next != null) {//快指针及其下一位是否为空
slow = slow.next;
fast = fast.next.next;
if (slow == fast) {//如果相遇,存在环形链表
return true;
}
}
return false;
}
}
Python:
class Solution(object):
def hasCycle(self, head):
"""
:type head: ListNode
:rtype: bool
"""
if head is None or head.next is None:
return False
slow, fast = head, head
while fast is not None and fast.next is not None:
slow, fast = slow.next, fast.next.next
if slow == fast:
return True
return False
扩展:
python 中is 与 == 区别 :
is 用于判断两个变量引用对象(即内存地址)是否为同一个, == 用于判断引用变量的值是否相等。
而Python出于对性能的考虑,不可变对象、同一代码块中的对象、值相同的对象,都不会重复创建,而是直接引用已经存在的对象。
欢迎关注公众号:爱写bug,一起学习。
