Graphviz 绘制图像

385 阅读1分钟

一、使用 Graphviz 能干什么?

长期以来,苦于没有很好的画图工具对于构建数据结构的图例。

然后,最近写博客发现一款大家比较推荐的软件 Graphviz 。

二、开始使用

2.1 下载

去官网直接下载 msi 安装文件安装即可。

2.2 编写一个 dot 文件

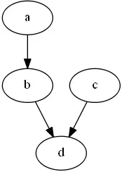
digraph first1{ a; b; c; d; a->b; b->d; c->d; }

2.3 生成图例

首先,配置到 dot 的环境变量 Path。

输入 dot 命令,利用 first.dot 文件,生成:

 dot -Tpng first.dot -o first.png